假设我们的数据集开始只有一个数{62},然后现在需要将88插入数据集,于是数据集成了{62,88},还保持着从小到大有序。再查找有没有58,没有则插入,可此时要想在线性表的顺序存储中有序,就得移动62和88的位置,如图8-6-2左图,可不可以不移动呢?嗯,当然是可以,那就是二叉树结构。当我们用二叉树的方式时,首先我们将第一个数62定为根结点,88因为比62大,因此让它做62的右子树,58因比62小,所以成为它的左子树。此时58的插入并没有影响到62与88的关系,如下图右图所示。

也就是说,若我们现在需要对集合{62,88,58,47,35,73,51,99,37,93}做查找,在我们打算创建此集合时就考虑用二叉树结构,而且是排好序的二叉树来创建。如下图所示,62、88、58创建好后,下一个数47因比58小,是它的左子树(见③),35是47的左子树(见④),73比62大,但却比88小,是88的左子树(见⑤),51比62小、比58小、比47大,是47的右子树(见⑥),99比62、88都大,是88的右子树(见⑦),37比62、58、47都小,但却比35大,是35的右子树(见⑧),93则因比62、88大是99的左子树(见⑨)。

这样我们就得到了一棵二叉树,并且当我们对它进行中序遍历时,就可以得到一个有序的序列{35,37,47,51,58,62,73,88,93,99},所以我们通常称它为二叉排序树。
二叉排序树(Binary Sort Tree),又称为二叉查找树。它或者是一棵空树,或者是具有下列性质的二叉树。
- 若它的左子树不空,则左子树上所有结点的值均小于它的根结构的值;
- 若它的右子树不空,则右子树上所有结点的值均大于它的根结点的值;
- 它的左、右子树也分别为二叉排序树。
从二叉排序树的定义也可以知道,它前提是二叉树,然后它采用了递归的定义方法,再者,它的结点间满足一定的次序关系,左子树结点一定比其双亲结点小,右子树结点一定比其双亲结点大。
构造一棵二叉排序树的目的,其实并不是为了排序,而是为了提高查找和插入删除关键字的速度。不管怎么说,在一个有序数据集上的查找,速度总是要快于无序的数据集的,而二叉排序树这种非线性的结构,也有利于插入和删除的实现。
二叉排序树查找操作
首先我们提供一个二叉树的结构。
/* 二叉树的二叉链表结点结构定义 */
/* 结点结构 */
typedef struct BiTNode
{
/* 结点数据 */
int data;
/* 左右孩子指针 */
struct BiTNode *lchild, *rchild;
} BiTNode, *BiTree;”
然后我们来看看二叉排序树的查找是如何实现的。
/* 递归查找二叉排序树T中是否存在key, */
/* 指针f指向T的双亲,其初始调用值为NULL */
/* 若查找成功,则指针p指向该数据元素结点,并
返回TRUE */
/* 否则指针p指向查找路径上访问的最后一个结点
并返回FALSE */
Status SearchBST(BiTree T, int key, BiTree f, BiTree *p)
{
/* 查找不成功 */
if (!T)
{
*p = f;
return FALSE;
}
/* 查找成功 */
else if (key == T->data)
{
*p = T;
return TRUE;
}
else if (key < T->data)
/* 在左子树继续查找 */
return SearchBST(T->lchild, key, T, p);
else
/* 在右子树继续查找 */
return SearchBST(T->rchild, key, T, p);
}
1.SearchBST函数是一个可递归运行的函数,函数调用时的语句为SearchBST(T,93,NULL,p),参数T是一个二叉链表,其中数据如上图所示,key代表要查找的关键字,目前我们打算查找93,二叉树f指向T的双亲,当T指向根结点时,f的初值就为NULL,它在递归时有用,最后的参数p是为了查找成功后可以得到查找到的结点位置。
2.第3~7行,是用来判断当前二叉树是否到叶子结点,显然图8-6-3告诉我们当前T指向根结点62的位置,T不为空,第5~6行不执行。
3.第8~12行是查找到相匹配的关键字时执行语句,显然93≠62,第10~11行不执行。
4.第13~14行是当要查找关键字小于当前结点值时执行语句,由于93>62,第14行不执行。
5.第15~16行是当要查找关键字大于当前结点值时执行语句,由于93>62,所以递归调用SearchBST(T->rchild,key,T,p)。此时T指向了62的右孩子88,如下图所示。

6.此时第二层SearchBST,因93比88大,所以执行第16行,再次递归调用SearchBST(T->rchild,key,T,p)。此时T指向了88的右孩子99,如下图所示。

7.第三层的SearchBST,因93比99小,所以执行第14行,递归调用SearchBST(T->lchild,key,T,p)。此时T指向了99的左孩子93,如下图所示。

8.第四层SearchBST,因key等于T->data,所以执行第10~11行,此时指针p指向93所在的结点,并返回True到第三层、第二层、第一层,最终函数返回True。
二叉排序树插入操作
有了二叉排序树的查找函数,那么所谓的二叉排序树的插入,其实也就是将关键字放到树中的合适位置而已,来看代码。
/* 当二叉排序树T中不存在关键字等于key的数据元素时, */
/* 插入key并返回TRUE,否则返回FALSE */
Status InsertBST(BiTree *T, int key)
{
BiTree p, s;
/* 查找不成功 */
if (!SearchBST(*T, key, NULL, &p))
{
s = (BiTree)malloc(sizeof(BiTNode));
s->data = key;
s->lchild = s->rchild = NULL;
if (!p)
/* 插入s为新的根结点 */
*T = s;
else if (key < p->data)
/* 插入s为左孩子 */
p->lchild = s;
else
/* 插入s为右孩子 */
p->rchild = s;
return TRUE;
}
else
/* 树中已有关键字相同的结点,不再插入 */
return FALSE;
}
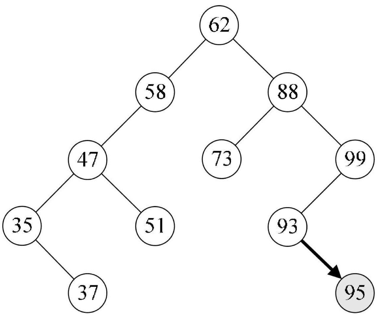
这段代码非常简单。如果你调用函数是“In-sertBST(&T,93);”,那么结果就是FALSE,如果是“InsertBST(&T,95);”,那么一定就是在93的结点增加一个右孩子95,并且返回True。如下图所示。

有了二叉排序树的插入代码,我们要实现二叉排序树的构建就非常容易了。下面的代码就可以创建一棵二叉树。
int i;
int a[10] = { 62, 88, 58, 47, 35, 73, 51, 99, 37, 93 };
BiTree T = NULL;
for (i = 0; i < 10; i++)
{
InsertBST(&T, a[i]);
}
二叉排序树删除操作
俗话说“请神容易送神难”,我们已经介绍了二叉排序树的查找与插入算法,但是对于二叉排序树的删除,就不是那么容易,我们不能因为删除了结点,而让这棵树变得不满足二叉排序树的特性,所以删除需要考虑多种情况。
如果需要查找并删除如37、51、73、93这些在二叉排序树中是叶子的结点,那是很容易的,毕竟删除它们对整棵树来说,其他结点的结构并未受到影响,如下图所示。

对于要删除的结点只有左子树或只有右子树的情况,相对也比较好解决。那就是结点删除后,将它的左子树或右子树整个移动到删除结点的位置即可,可以理解为独子继承父业。比如下图,就是先删除35和99结点,再删除58结点的变化图,最终,整个结构还是一个二叉排序树。

但是对于要删除的结点既有左子树又有右子树的情况怎么办呢?比如下图中的47结点若要删除了,它的两儿子以及子孙们怎么办呢?

我们仔细观察一下,47的两个子树中能否找出一个结点可以代替47呢?果然有,37或者48都可以代替47,此时在删除47后,整个二叉排序树并没有发生什么本质的改变。
为什么是37和48?对的,它们正好是二叉排序树中比它小或比它大的最接近47的两个数。也就是说,如果我们对这棵二叉排序树进行中序遍历,得到的序列{29,35,36,37,47,48,49,50,51,56,58,62,73,88,93,99},它们正好是47的前驱和后继。
因此,比较好的办法就是,找到需要删除的结点p的直接前驱(或直接后继)s,用s来替换结点p,然后再删除此结点s,如下图所示。

根据我们对删除结点三种情况的分析:
- 叶子结点;
- 仅有左或右子树的结点;
- 左右子树都有的结点,我们来看代码,下面这个算法是递归方式对二叉排序树T查找key,查找到时删除。
/* 若二叉排序树T中存在关键字等于key的数据元素时,则删除该数据元素结点, */
/* 并返回TRUE;否则返回FALSE */
Status DeleteBST(BiTree *T, int key)
{
/* 不存在关键字等于key的数据元素 */
if (!*T)
return FALSE;
else
{
/* 找到关键字等于key的数据元素 */
if (key == (*T)->data)
return Delete(T);
else if (key < (*T)->data)
return DeleteBST(&(*T)->lchild, key);
else
return DeleteBST(&(*T)->rchild, key);
}
}
这段代码和前面的二叉排序树查找几乎完全相同,唯一的区别就在于第8行,此时执行的是Delete方法,对当前结点进行删除操作。我们来看Delete的代码。
/* 从二叉排序树中删除结点p,并重接它的左或右子树。 */
Status Delete(BiTree *p)
{
BiTree q, s;
/* 右子树空则只需重接它的左子树 */
if ((*p)->rchild == NULL)
{
q = *p;
*p = (*p)->lchild;
free(q);
}
/* 只需重接它的右子树 */
else if ((*p)->lchild == NULL)
{
q = *p;
*p = (*p)->rchild;
free(q);
}
/* 左右子树均不空 */
else
{
q = *p; s = (*p)->lchild;
/* 转左,然后向右到尽头(找待删结点的前驱) */
while (s->rchild)
{
q = s; s = s->rchild;
}
/* s指向被删结点的直接前驱 */
(*p)->data = s->data;
if (q != *p)
/* 重接q的右子树 */
q->rchild = s->lchild;
else
/* 重接q的左子树 */
q->lchild = s->lchild;
free(s);
}
return TRUE;
}
1.程序开始执行,代码第4~7行目的是为了删除没有右子树只有左子树的结点。此时只需将此结点的左孩子替换它自己,然后释放此结点内存,就等于删除了。
2.代码第8~11行是同样的道理处理只有右子树没有左子树的结点删除问题。
3.第12~25行处理复杂的左右子树均存在的问题。
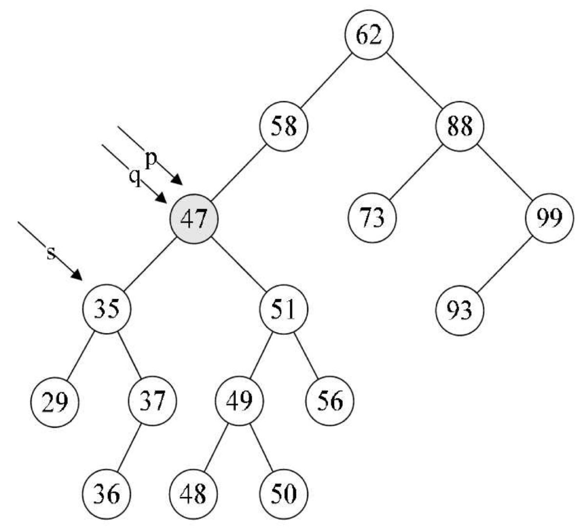
4.第14行,将要删除的结点p赋值给临时的变量q,再将p的左孩子p->lchild赋值给临时的变量s。此时q指向47结点,s指向35结点,如下图所示。

5.第15~18行,循环找到左子树的右结点,直到右侧尽头。就当前例子来说就是让q指向35,而s指向了37这个再没有右子树的结点,如下图所示。

7.第20~23行,如果p和q指向不同,则将s->lchild赋值给q->rchild,否则就是将s->lchild赋值给q->lchild。显然这个例子p不等于q,将s->lchild指向的36赋值给q->rchild,也就是让q->rchild指向36结点,如下图所示。

8.第24行,free(s),就非常好理解了,将37结点删除,如下图所示。

从这段代码也可以看出,我们其实是在找删除结点的前驱结点替换的方法,对于用后继结点来替换,方法上是一样的。
总结
总之,二叉排序树是以链接的方式存储,保持了链接存储结构在执行插入或删除操作时不用移动元素的优点,只要找到合适的插入和删除位置后,仅需修改链接指针即可。插入删除的时间性能比较好。而对于二叉排序树的查找,走的就是从根结点到要查找的结点的路径,其比较次数等于给定值的结点在二叉排序树的层数。极端情况,最少为1次,即根结点就是要找的结点,最多也不会超过树的深度。也就是说,二叉排序树的查找性能取决于二叉排序树的形状。可问题就在于,二叉排序树的形状是不确定的。
例如{62,88,58,47,35,73,51,99,37,93}这样的数组,我们可以构建如下图左图的二叉排序树。但如果数组元素的次序是从小到大有序,如{35,37,47,51,58,62,73,88,93,99},则二叉排序树就成了极端的右斜树,注意它依然是一棵二叉排序树,如图8-6-18的右图。此时,同样是查找结点99,左图只需要两次比较,而右图就需要10次比较才可以得到结果,二者差异很大。

也就是说,我们希望二叉排序树是比较平衡的,即其深度与完全二叉树相同,均为,那么查找的时间复杂也就为O(logn),近似于折半查找,事实上,上图的左图也不够平衡,明显的左重右轻。
不平衡的最坏情况就是像上图右图的斜树,查找时间复杂度为O(n),这等同于顺序查找。
因此,如果我们希望对一个集合按二叉排序树查找,最好是把它构建成一棵平衡的二叉排序树。这样我们就引申出另一个问题,如何让二叉排序树平衡的问题。