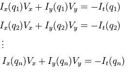
光流计算原理 StephanPan 2020-05-14 297 阅读1分钟 光流计算原理 基础理论 根据亮度不变和小运动假设,可以的到约束条件 其中Ix,Iy,It为像素点灰度在x,y,t方向的偏导。 一个约束条件无法求解两个未知量。因而需要增加约束条件 常用光流计算方法 KL光流计算: 增加空间一致性假设,即目标像素与周围像素具有一致的光流矢量 使用最小二乘法即可求得光流矢量u,v。