拓扑排序主要是为解决一个工程能否顺序进行的问题,但有时我们还需要解决工程完成需要的最短时间问题。比如说,造一辆汽车,我们需要先造各种各样的零件、部件,最终再组装成车,如下图所示。这些零部件基本都是在流水线上同时生产的,假如造一个轮子需要0.5天时间,造一个发动机需要3天时间,造一个车底盘需要2天时间,造一个外壳需要2天时间,其他零部件时间需要2天,全部零部件集中到一处需要0.5天,组装成车需要2天时间,请问,在汽车厂造一辆车,最短需要多少时间呢?

有人说时间就是全部加起来,这当然是不对的。我已经说了前提,这些零部件都是分别在流水线上同时生产的,也就是说,在生产发动机的3天里,可能已经生产了6个轮子,1.5个外壳和1.5个底盘,而组装车是在这些零部件都生产好后才可以进行。因此最短的时间其实是零部件中生产时间最长的发动机3天+集中零部件0.5天+组装车的2天,一共5.5天完成一辆汽车的生产。
因此,我们如果要对一个流程图获得最短时间,就必须要分析它们的拓扑关系,并且找到当中最关键的流程,这个流程的时间就是最短时间。
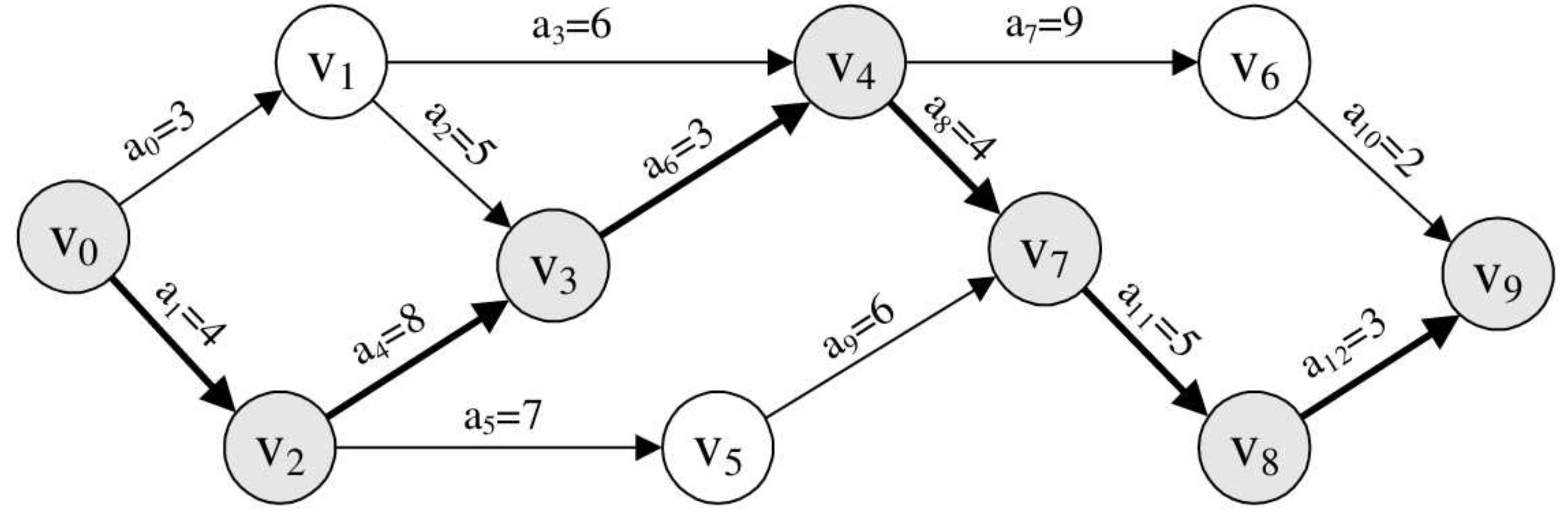
因此在前面讲了AOV网的基础上,我们来介绍一个新的概念。在一个表示工程的带权有向图中,用顶点表示事件,用有向边表示活动,用边上的权值表示活动的持续时间,这种有向图的边表示活动的网,我们称之为AOE网(Activity On Edge Net-work)。我们把AOE网中没有入边的顶点称为始点或源点,没有出边的顶点称为终点或汇点。由于一个工程,总有一个开始,一个结束,所以正常情况下,AOE网只有一个源点一个汇点。例如图7-9-2就是一个AOE网。其中v0即是源点,表示一个工程的开始,v9是汇点,表示整个工程的结束,顶点v0,v1,……,v9分别表示事件,弧<v0,v1>,<v0,v2>,……,<v8,v9>都表示一个活动,用a0,a1,……,a12表示,它们的值代表着活动持续的时间,比如弧<v0,v1>就是从源点开始的第一个活动a0,它的时间是3个单位。

既然AOE网是表示工程流程的,所以它就具有明显的工程的特性。如有在某顶点所代表的事件发生后,从该顶点出发的各活动才能开始。只有在进入某顶点的各活动都已经结束,该顶点所代表的事件才能发生。
尽管AOE网与AOV网都是用来对工程建模的,但它们还是有很大的不同,主要体现在AOV网是顶点表示活动的网,它只描述活动之间的制约关系,而AOE网是用边表示活动的网,边上的权值表示活动持续的时间,如下图所示两图的对比。因此,AOE网是要建立在活动之间制约关系没有矛盾的基础之上,再来分析完成整个工程至少需要多少时间,或者为缩短完成工程所需时间,应当加快哪些活动等问题。


我们把路径上各个活动所持续的时间之和称为路径长度,从源点到汇点具有最大长度的路径叫关键路径,在关键路径上的活动叫关键活动。显然就上图的AOE网而言,开始→发动机完成→部件集中到位→组装完成就是关键路径,路径长度为5.5。
如果我们需要缩短整个工期,去改进轮子的生产效率,哪怕改动成0.1也是无益于整个工期的变化,只有缩短关键路径上的关键活动时间才可以减少整个工期长度。例如如果发动机制造缩短为2.5,整车组装缩短为1.5,那么关键路径长度就为4.5,整整缩短了一天的时间。
关键路径算法原理
假设一个学生放学回家,除掉吃饭、洗漱外,到睡觉前有四小时空闲,而家庭作业需要两小时完成。不同的学生会有不同的做法,抓紧的学生,会在头两小时就完成作业,然后看看电视、读读课外书什么的;但也有超过一半的学生会在最后两小时才去做作业,要不是因为没时间,可能还要再拖延下去。下面的同学不要笑,像是在说你的是吧,你们是不是有过暑假两个月,要到最后几天才去赶作业的坏毛病呀?这也没什么好奇怪的,拖延就是人性几大弱点之一。
这里做家庭作业这一活动的最早开始时间是四小时的开始,可以理解为0,而最晚开始时间是两小时之后马上开始,不可以再晚,否则就是延迟了,此时可以理解为2。显然,当最早和最晚开始时间不相等时就意味着有空闲。
接着,你老妈发现了你拖延的小秘密,于是买了很多的课外习题,要求你四个小时,不许有一丝空闲,省得你拖延或偷懒。此时整个四小时全部被占满,最早开始时间和最晚开始时间都是0,因此它就是关键活动了。
也就是说,我们只需要找到所有活动的最早开始时间和最晚开始时间,并且比较它们,如果相等就意味着此活动是关键活动,活动间的路径为关键路径。如果不等,则就不是。
为此,我们需要定义如下几个参数。 1.事件的最早发生时间etv(earliest time ofvertex):即顶点vk的最早发生时间。 2.事件的最晚发生时间ltv(latest time ofvertex):即顶点vk的最晚发生时间,也就是每个顶点对应的事件最晚需要开始的时间,超出此时间将会延误整个工期。 3.活动的最早开工时间ete(earliest time ofedge):即弧ak的最早发生时间。 4.活动的最晚开工时间lte(latest time ofedge):即弧ak的最晚发生时间,也就是不推迟工期的最晚开工时间。
我们是由1和2可以求得3和4,然后再根据ete[k]是否与lte[k]相等来判断ak是否是关键活动。
关键路径算法
我们将下面的AOE网转化为邻接表结构如下图所示,注意与拓扑排序时邻接表结构不同的地方在于,这里弧链表增加了weight域,用来存储弧的权值。


求事件的最早发生时间etv的过程,就是我们从头至尾找拓扑序列的过程,因此,在求关键路径之前,需要先调用一次拓扑序列算法的代码来计算etv和拓扑序列列表。为此,我们首先在程序开始处声明几个全局变量。
int *etv, *ltv; /* 事件最早发生时间和最迟发生时间数组 */
int *stack2; /* 用于存储拓扑序列的栈 */
int top2; /* 用于stack2的指针 */
其中stack2用来存储拓扑序列,以便后面求关键路径时使用。
下面是改进过的求拓扑序列算法。
/* 拓扑排序,用于关键路径计算 */
Status TopologicalSort(GraphAdjList GL)
{
EdgeNode *e;
int i, k, gettop;
/* 用于栈指针下标 */
int top = 0;
/* 用于统计输出顶点的个数 */
int count = 0;
/* 建栈将入度为0的顶点入栈 */
int *stack;
stack = (int *)malloc(GL->numVertexes * sizeof(int));
for (i = 0; i < GL->numVertexes; i++)
if (0 == GL->adjList[i].in)
stack[++top] = i;
/* 初始化为0 */
top2 = 0;
/* 事件最早发生时间 */
etv = (int *)malloc(GL->numVertexes * sizeof(int));
for (i = 0; i < GL->numVertexes; i++)
/* 初始化为0 */
etv[i] = 0; \
/* 初始化 */
stack2 = (int *)malloc(GL->numVertexes * sizeof(int));
while (top != 0)
{
gettop = stack[top--];
count++;
/* 将弹出的顶点序号压入拓扑序列的栈 */
stack2[++top2] = gettop;
for (e = GL->adjList[gettop].firstedge; e; e = e->next)
{
k = e->adjvex;
if (!(--GL->adjList[k].in))
stack[++top] = k;
/* 求各顶点事件最早发生时间值 */
if ((etv[gettop] + e->weight) > etv[k])
etv[k] = etv[gettop] + e->weight;
}
}
if (count < GL->numVertexes)
return ERROR;
else
return OK;
}
第11~15行为初始化全局变量etv数组、top2和stack2的过程。第21行就是将本是要输出的拓扑序列压入全局栈stack2中。第27~28行很关键,它是求etv数组的每一个元素的值。比如说,假如我们已经求得顶点v0对应的etv[0]=0,顶点v1对应的etv[1]=3,顶点v2对应的etv[2]=4,现在我们需要求顶点v3对应的etv[3],其实就是求etv[1]+len<v1,v3>与etv[2]+len<v2,v3>的较大值。显然3+5<4+8,得到etv[3]=12,如下图所示。在代码中e->weight就是当前弧的长度。

由此我们也可以得出计算顶点vk即求etv[k]的最早发生时间的公式是:
其中P[K]表示所有到达顶点vk的弧的集合。比如图7-9-5的P[3]就是<v1,v3>和<v2,v3>两条弧。len<vi,vk>是弧<vi,vk>上的权值。
下面我们来看求关键路径的算法代码。
/* 求关键路径,GL为有向网,输出GL的各项关键活动 */
void CriticalPath(GraphAdjList GL)
{
EdgeNode *e;
int i, gettop, k, j;
/* 声明活动最早发生时间和最迟发生时间变量 */
int ete, lte;
/* 求拓扑序列,计算数组etv和stack2的值 */
TopologicalSort(GL);
/* 事件最晚发生时间 */
ltv = (int *)malloc(GL->numVertexes * sizeof(int));
for (i = 0; i < GL->numVertexes; i++)
/* 初始化ltv */
ltv[i] = etv[GL->numVertexes - 1];
/* 计算ltv */
while (top2 != 0)
{
/* 将拓扑序列出栈,后进先出 */
gettop = stack2[top2--];
for (e = GL->adjList[gettop].firstedge; e; e = e->next)
{
/* 求各顶点事件的最迟发生时间ltv值 */
k = e->adjvex;
/* 求各顶点事件最晚发生时间ltv */
if (ltv[k] - e->weight < ltv[gettop])
ltv[gettop] = ltv[k] - e->weight;
}
}
/* 求ete,lte和关键活动 */
for (j = 0; j < GL->numVertexes; j++)
{
for (e = GL->adjList[j].firstedge; e; e = e->next)
{
k = e->adjvex;
/* 活动最早发生时间 */
ete = etv[j];
/* 活动最迟发生时间 */
lte = ltv[k] - e->weight;
* 两者相等即在关键路径上 */
if (ete == lte) /
printf("<v%d,v%d> length: %d , ",
GL->adjList[j].data, GL->adjList[k].data, e->weight);
}
}
}
1.程序开始执行。第5行,声明了ete和lte两个活动最早最晚发生时间变量。
2.第6行,调用求拓扑序列的函数。执行完毕后,全局变量数组etv和栈stack的值如下图所示,top2=10。也就是说,对于每个事件的最早发生时间,我们已经计算出来了。

3.第7~9行为初始化全局变量ltv数组,因为etv[9]=27,所以数组ltv当前的值为:{27,27,27,27,27,27,27,27,27,27}
4.第10~19行为计算ltv的循环。第12行,先将stack2的栈头出栈,由后进先出得到gettop=9。根据邻接表中,v9没有弧表,所以第13~18行循环体未执行。
5.再次来到第12行,gettop=8,在第13~18行的循环中,v8的弧表只有一条<v8,v9>,第15行得到k=9,因为ltv[9]-3<ltv[8],所以ltv[8]=ltv[9]-3=24,如下图所示。

6.再次循环,当gettop=7、5、6时,同理可算出ltv相对应的值为19、13、25,此时ltv值为:{27,27,27,27,27,13,25,19,24,27}
7.当gettop=4时,由邻接表可得到v4有两条弧<v4,v6>、<v4,v7>,通过第13~18行的循环,可以得到ltv[4]=min(ltv[7]-4,ltv[6]-9)=min(19-4,25-9)=15,如下图所示。

此时你应该发现,我们在计算ltv时,其实是把拓扑序列倒过来进行的。因此我们可以得出计算顶点vk即求ltv[k]的最晚发生时间的公式是:

其中S[K]表示所有从顶点vk出发的弧的集合。比如图7-9-8的S[4]就是<v4,v6>和<v4,v7>两条弧,en<vk,vj>是弧<vk,vj>上的权值。
就这样,当程序执行到第20行时,相关变量的值如下图所示,“比如etv[1]=3而ltv[1]=7,表示的意思就是如果时间单位是天的话,哪怕v1这个事件在第7天才开始,也可以保证整个工程的按期完成,你可以提前v1事件开始时间,但你最早也只能在第3天开始。跟我们前面举的例子,是先完成作业再玩还是先玩最后完成作业一个道理。

8.第20~31行是来求另两个变量活动最早开始时间ete和活动最晚开始时间lte,并对相同下标的它们做比较。两重循环嵌套是对邻接表的顶点和每个顶点的弧表遍历。
9.当j=0时,从v0点开始,有<v0,v2>和<v0,v1>两条弧。当k=2时,ete=etv[j]=etv[0]=0。lte=ltv[k]-e->weight=ltv[2]-len<v0,v2>=4-4=0,此时ete=lte,表示弧<v0,v2>是关键活动,因此打印。当k=1时,ete=etv[j]=etv[0]=0。lte=ltv[k]-e->weight=ltv[1]-len<v0,v1>=7-3=4,此时ete≠lte,因此<v0,v1>并不是关键活动,如下图所示。

这里需要解释一下,ete本来是表示活动<vk,vj>的最早开工时间,是针对弧来说的。但只有此弧的弧尾顶点vk的事件发生了,它才可以开始,因此ete=etv[k]。
而lte表示的是活动<vk,vj>的最晚开工时间,但此活动再晚也不能等vj事件发生才开始,而必须要在vj事件之前发生,所以lte=ltv[j]-len<vk,vj>。就像你晚上23点睡觉,你不能说到23点才开始做作业,而必须要提前2小时,在21点开始,才有可能按时完成作业。
所以最终,其实就是判断ete与lte是否相等,相等意味着活动没有任何空闲,是关键活动,否则就不是。10.j=1一直到j=9为止,做法是完全相同的,关键路径打印结果为“<v0,v2>4,<v2,v3>8,<v3,v4>3,<v4,v7>4,<v7,v8>5,<v8,v9>3,”,最终关键路径如下图所示。

分析整个求关键路径的算法,第6行是拓扑排序,时间复杂度为O(n+e),第8~9行时间复杂度为O(n),第10~19行时间复杂度为O(n+e),第20~31行时间复杂也为O(n+e),根据我们对时间复杂度的定义,所有的常数系数可以忽略,所以最终求关键路径算法的时间复杂度依然是O(n+e)。
实践证明,通过这样的算法对于工程的前期工期估算和中期的计划调整都有很大的帮助。不过注意,本例是唯一一条关键路径,这并不等于不存在多条关键路径的有向无环图。如果是多条关键路径,则单是提高一条关键路径上的关键活动的速度并不能导致整个工程缩短工期,而必须提高同时在几条关键路径上的活动的速度。这就像仅仅是有事业的成功,而没有健康的身体以及快乐的生活,是根本谈不上幸福的人生一样,三者缺一不可。