论文抛弃以往根据IoU硬性指定anchor和GT匹配关系的方法,提出FreeAnchor方法来进行更自由的匹配,该方法将目标检测的训练定义为最大似然估计(MLE)过程,端到端地同时学习目标分类、目标检测以及匹配关系,从实验来看,效果十分显著
来源:晓飞的算法工程笔记 公众号
论文: FreeAnchor: Learning to Match Anchors for Visual Object Detection

Introduction
常规的目标检测网络基于IoU来进行anchor与GT间的匹配,但会面临以下问题:
- 对于非中心特征的物体,比如细长的物体,空间上的对齐并不能保证anchor覆盖足够多的物体特征,从而造成分类和检测性能的下降。
- 当检测目标密集时,以IoU作为匹配的准则是不可行的。
以上的问题都来源于预先设定的anchor与GT的匹配,没有考虑到网络的输出情况。为此,论文提出基于学习的匹配方法,将匹配过程定义为最大化似然估计的过程,端到端地同时学习目标分类、目标检测以及匹配关系,取得了很不错的效果,论文的主要贡献如下:
- 将检测算法的训练过程定义为最大似然估计的过程,并将手工设定anchor与GT匹配改为自由的anchor匹配,打破IoU的约束,允许GT根据最大似然的准则选择anchors。
- 定义检测定制似然,并且实现端到端的检测和分类训练机制,最大化似然能够促进网络学习如何匹配最优的anchor,并保证与NMS算法的兼容。
The Proposed Approach

为了学习anchor和GT的匹配关系,先将目标检测算法的训练转换为最大似然估计过程,从最大似然地角度优化分类和检测,然后定义检测定制似然,通过保证召回率和准确率进行匹配关系的优化,在训练阶段,将检测定制似然转换为检测定制损失,有效地端到端同时学习目标分类、目标检测以及匹配关系。
Detector Training as Maximum Likelihood Estimation

常规one-stage检测算法的损失函数如公式1,,
,
,
为网络学习到的参数,
是指代anchor
是否匹配GT
,只有两者的IoU大于阈值才为1,当anchor符合多个GT时,选择IoU最大的Gt,
,
。

从最大似然估计(MLE)的角度来看,将损失函数转换为公式2的似然概率,
和
为分类置信度,
为定位置信度,最小化
即最大化似然概率
。
虽然公式2严格从最大似然估计的角度来优化anchor的分类和定位,但是忽略了如何学习匹配矩阵,目前的检测算法通过IoU指标进行匹配来解决这一问题,没有考虑优化GT和anchor的匹配关系。
Detection Customized Likelihood
为了优化GT和anchor间的匹配规则,论文在CNN目标检测框架上加入检测定制似然(detection customized likelihood),揉合准确率和召回率,并保持对NMS的适配。
首先构造每个GT 的IoU较高的anchor作为候选集
,然后学习如何达到最好的匹配的同时最大化检测定制似然。

为了优化召回率,先保证每个GT都有至少一个对应的anchor,如公式3,选择每个GT的候选集中分类和检测表现最好的anchor。

为了优化准确率,检测器需要将定位较差的anchor归为背景类,目标函数如公式4,这里意味着top anchor尽可能不为背景。为
与所有GT不匹配的概率,
为anchor
正确预测GT
的概率。为了兼容NMS,
需满足以下属性:
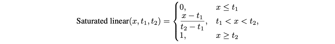
为IoU相关的单调递增函数
- 当anchor与GT小于阈值时,
接近0
- 对于每个GT,仅存在一个anchor满足


的属性可以归纳为Saturated linear函数,即
。

根据上面的定义,检测定制似然定义如公式5,揉合了召回率和准确率,并且与NMS兼容。通过优化似然,可以同时最大化召回率和准确率,达到自由地匹配GT和anchor。
Anchor Matching Mechanism

为了有效地学习匹配关系,将公式5的检测定制似然转换成检测定制损失函数,如公式5,函数用来选择每个GT最适合的anchor。在训练期间,从候选集
中选择一个anchor进行网络参数
的更新。

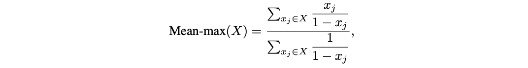
在训练初期,由于随机初始化,每个anchor的置信度都很小,不能代表anchor的好坏,为此使用Mean-max函数进行anchor的选择。

在训练不充分时,Mean-max函数能够接近均值函数,即几乎所有的anchor都能用于训练,随着训练越充分后,Mean-max函数则接近max函数,最终等同于max函数,即选择最好的anchor用于训练。

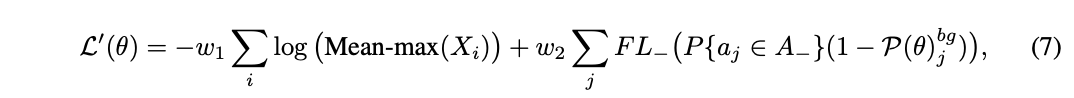
将公式6的max函数替换为Mean-max函数,对第二项加入focal loss,同时,两项分别进行和
加权,最终的检测定制损失函数如公式7,
为候选集
的似然集,
,
,
。

结合检测定制损失函数,检测器的训练过程如算法1。
Experiments
实验的FreeAnchor实现基于RetinaNet,简单地将损失函数修改为论文提出的检测定制损失函数。
Learning-to-match



Compatibility with NMS

Parameter Setting
超参数的实验如下:
- Anchor bag size
,对比
,其中,50的效果最好。
- Background IoU threshold
,
的置信度,对比
,0.6效果最好。
- Focal loss parameter,对比
和
,
和
组合的效果最好。
- Loss regularization factor
,公式1的用于平衡分类和定位损失的权重,0.75效果最好。
Detection Performance


CONCLUSION
论文抛弃以往根据IoU硬性指定anchor和GT匹配关系的方法,提出FreeAnchor方法来进行更自由的匹配,该方法将目标检测的训练定义为最大似然估计(MLE)过程,端到端地同时学习目标分类、目标检测以及匹配关系,从实验来看,效果十分显著。
如果本文对你有帮助,麻烦点个赞或在看呗~
更多内容请关注 微信公众号【晓飞的算法工程笔记】
