数据结构与算法-最小生成树

550 阅读13分钟

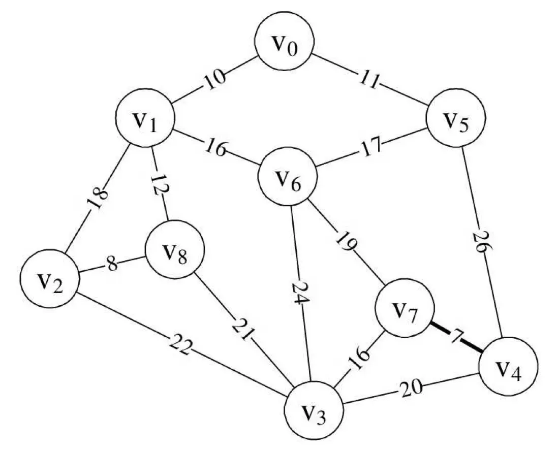
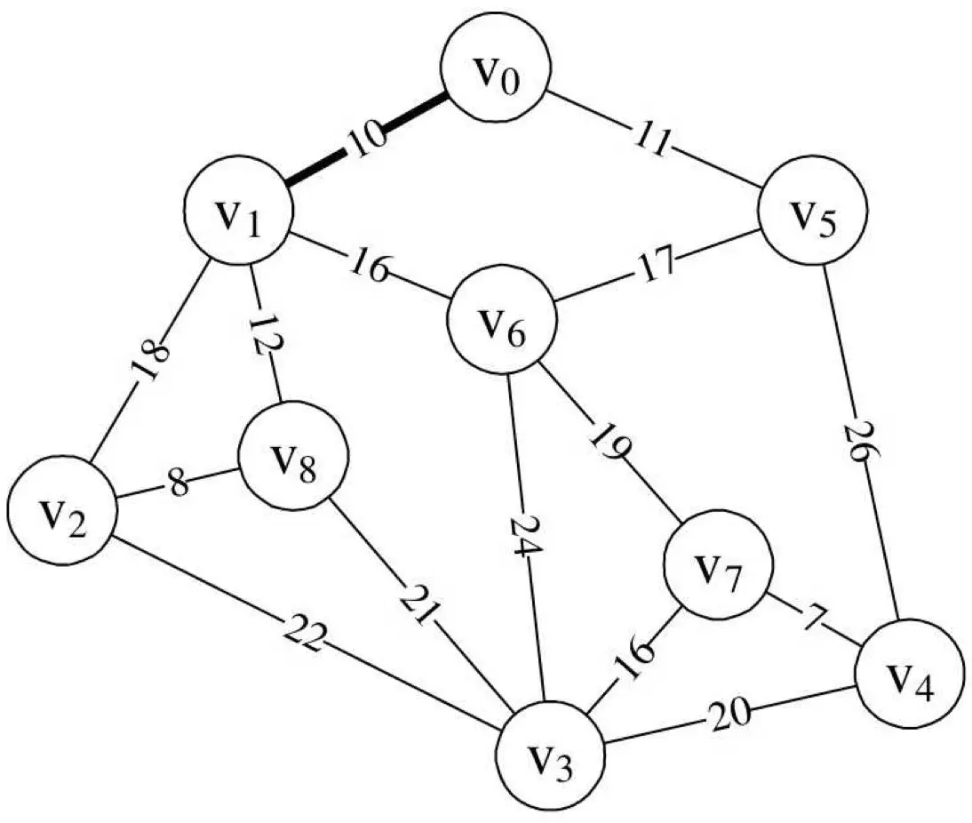
假设你是电信的实施工程师,需要为一个镇的九个村庄架设通信网络做设计,村庄位置大致如下图,其中v0~v8是村庄,之间连线的数字表示村与村间的可通达的直线距离,比如v0至v1就是10公里(个别如v0与v6,v6与v8,v5与v7未测算距离是因为有高山或湖泊,不予考虑)。你们领导要求你必须用最小的成本完成这次任务。你说怎么办?

image-20200510194629647

显然这是一个带权值的图,即网结构。所谓的最小成本,就是n个顶点,用n-1条边把一个连通图连接起来,并且使得权值的和最小。在这个例子里,每多一公里就多一份成本,所以只要让线路连线的公里数最少,就是最少成本了。

image-20200510194923661

我们在讲图的定义和术语时,曾经提到过,一个连通图的生成树是一个极小的连通子图,它含有图中全部的顶点,但只有足以构成一棵树的n-1条边。

找连通网的最小生成树,经典的有两种算法,普里姆算法和克鲁斯卡尔算法。

普里姆(Prim)算法

为了能讲明白这个算法,我们先构造下图的邻接矩阵,如下图的右图所示。

image-20200510200037910

也就是说,现在我们已经有了一个存储结构为MGragh的G。G有9个顶点,它的arc二维数组如图7-6-3的右图所示。数组中的我们用65535来代表∞。

于是普里姆(Prim)算法代码如下,左侧数字为行号。其中INFINITY为权值极大值,不妨是65535,MAXVEX为顶点个数最大值,此处大于等于9即可。现在假设我们自己就是计算机,在调用MiniSpanTree_Prim函数,输入上述的邻接矩阵后,看看它是如何运行并打印出最小生成树的。

/* Prim算法生成最小生成树 */
  void MiniSpanTree_Prim(MGraph G)
  {
      int min, i, j, k;
      /* 保存相关顶点下标 */
      int adjvex[MAXVEX];                        
      /* 保存相关顶点间边的权值 */
      int lowcost[MAXVEX];                       
      /* 初始化第一个权值为0,即v0加入生成树 */
      /* lowcost的值为0,在这里就是此下标的顶点已经加入生成树 */
      lowcost[0] = 0;                            
      /* 初始化第一个顶点下标为0 */
      adjvex[0] = 0;                             
      /* 循环除下标为0外的全部顶点 */
      for (i = 1; i < G.numVertexes; i++)        
      {
         /* 将v0顶点与之有边的权值存入数组 */
         lowcost[i] = G.arc[0][i];              
         /* 初始化都为v0的下标 */
         adjvex[i] = 0;                         
     }
     for (i = 1; i < G.numVertexes; i++)
     {
         /* 初始化最小权值为∞, */
         /* 通常设置为不可能的大数字如32767、65535等 */
         min = INFINITY;                        
				 j = 1; k = 0;
         /* 循环全部顶点 */
         while (j < G.numVertexes)              
         {
             /* 如果权值不为0且权值小于min */
             if (lowcost[j] != 0 && lowcost[j] < min)
             {                                  
                 /* 则让当前权值成为最小值 */
                 min = lowcost[j];              
                 /* 将当前最小值的下标存入k */
                 k = j;                         
             }
             j++;
         }
         /* 打印当前顶点边中权值最小边 */
         printf("(%d,%d)", adjvex[k], k);       
         /* 将当前顶点的权值设置为0,表示此顶点已经完成任务 */
         lowcost[k] = 0;                        
         /* 循环所有顶点 */
         for (j = 1; j < G.numVertexes; j++)    
         {
             /* 若下标为k顶点各边权值小于此前这些顶点未被加入生成树权值 */
             if (lowcost[j] != 0 && G.arc[k][j] < lowcost[j])
             {                                  
                 /* 将较小权值存入lowcost */
                 lowcost[j] = G.arc[k][j];      
                 /* 将下标为k的顶点存入adjvex */
                 adjvex[j] = k;                 
             }
         }
     }
 }
  1. 程序开始运行,我们由第4~5行,创建了两个一维数组lowcost和adjvex,长度都为顶点个数9。
  2. 第6~7行我们分别给这两个数组的第一个下标位赋值为0,adjvex[0]=0其实意思就是我们现在从顶点v0开始(事实上,最小生成树从哪个顶点开始计算都无所谓,我们假定从v0开始),lowcost[0]=0就表示v0已经被纳入到最小生成树中,之后凡是lowcost数组中的值被设置为0就是表示此下标的顶点被纳入最小生成树。
  3. 第8~12行表示我们读取图7-6-3的右图邻接矩阵的第一行数据。将数值赋值给lowcost数组,所以此时lowcost数组值为{0,10,65535,65535,65535,11,65535,65535,65535},而adjvex则全部为0。此时,我们已经完成了整个初始化的工作,准备开始生成。
  4. 第13~36行,整个循环过程就是构造最小生成树的过程。
  5. 第15~16行,将min设置为了一个极大值65535,它的目的是为了之后找到一定范围内的最小权值。j是用来做顶点下标循环的变量,k是用来存储最小权值的顶点下标。
  6. 第17~25行,循环中不断修改min为当前lowcost数组中最小值,并用k保留此最小值的顶点下标。经过循环后,min=10,k=1。注意19行if判断的lowcost[j]!=0表示已经是生成树的顶点不参与最小权值的查找。
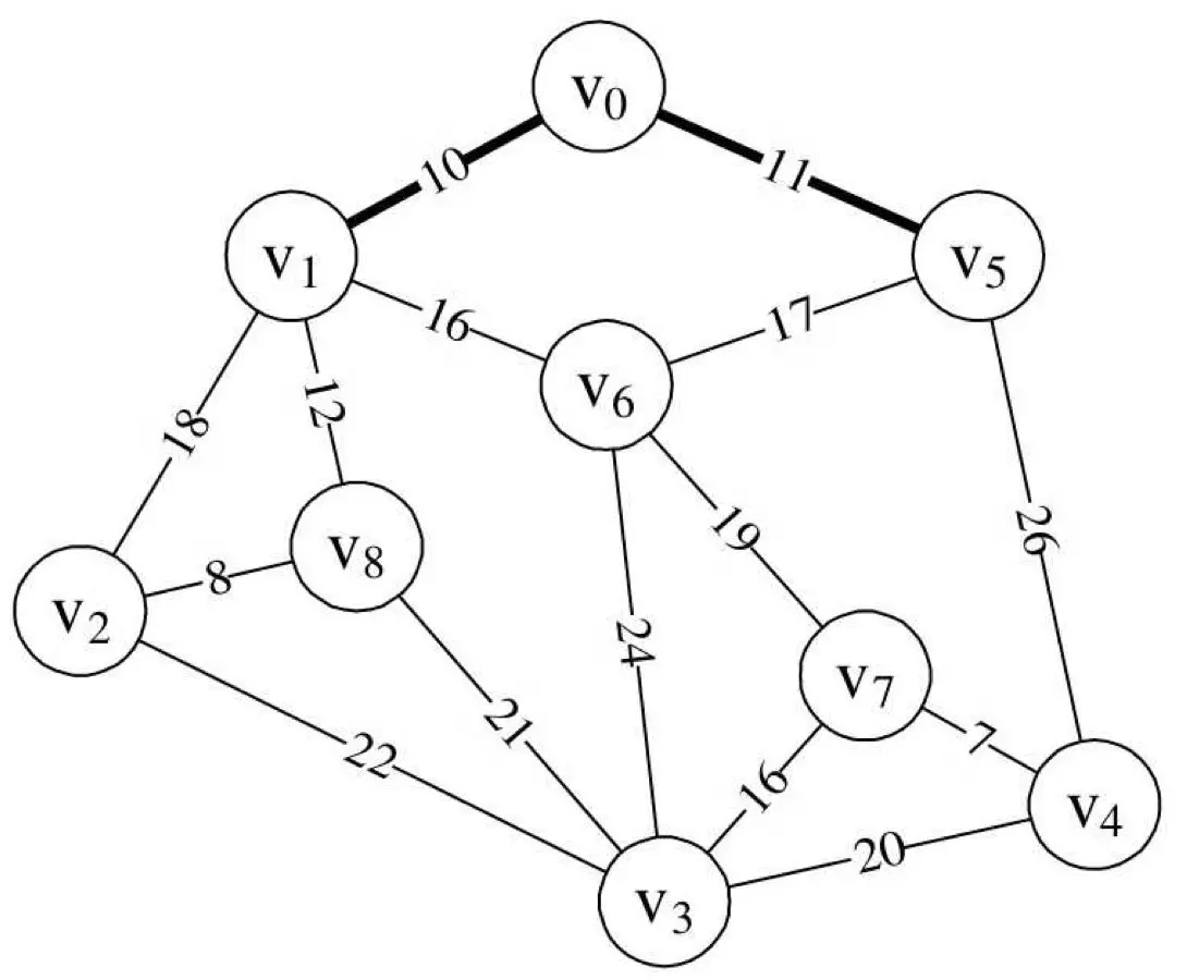
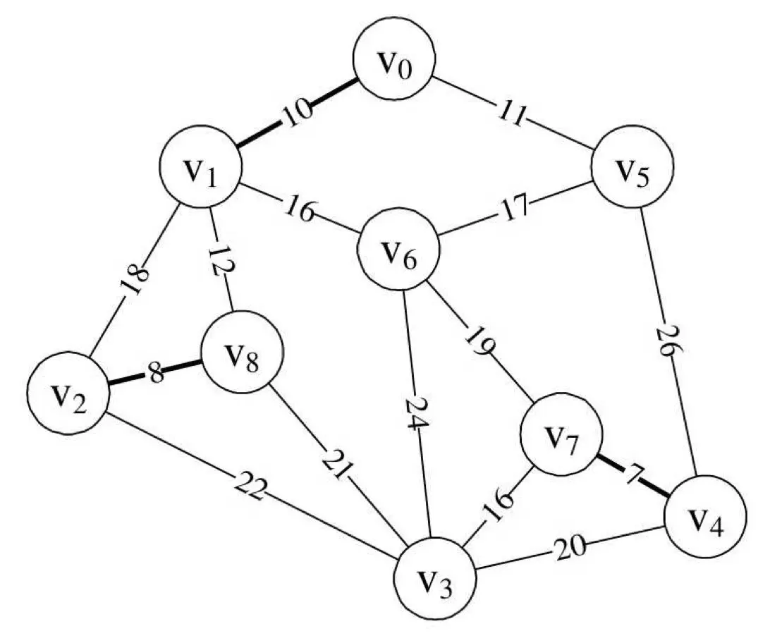
  7. 第26行,因k=1,adjvex[1]=0,所以打印结果为(0,1),表示v0至v1边为最小生成树的第一条边。如下图所示。

image-20200510201546560

  1. 第27行,此时因k=1我们将lowcost[k]=0就是说顶点v1纳入到最小生成树中。此时lowcost数组值为{0,0,65535,65535,65535,11,65535,65535,65535}。

  2. 第28~35行,j循环由1至8,因k=1,查找邻接矩阵的第v1行的各个权值,与low-cost的对应值比较,若更小则修改low-cost值,并将k值存入adjvex数组中。因第v1行有18、16、12均比65535小,所以最终lowcost数组的值为:{0,0,18,65535,65535,11,16,65535,12}。adjvex数组的值为:{0,0,1,0,0,0,1,0,1}。这里第30行if判断的lowcost[j]!=0也说明v0和v1已经是生成树的顶点不参与最小权值的比对了。

  3. 再次循环,由第15行到第26行,此时min=11,k=5,adjvex[5]=0。因此打印结构为(0,5)。表示v0至v5边为最小生成树的第二条边,如下图所示。

    image-20200510201940021

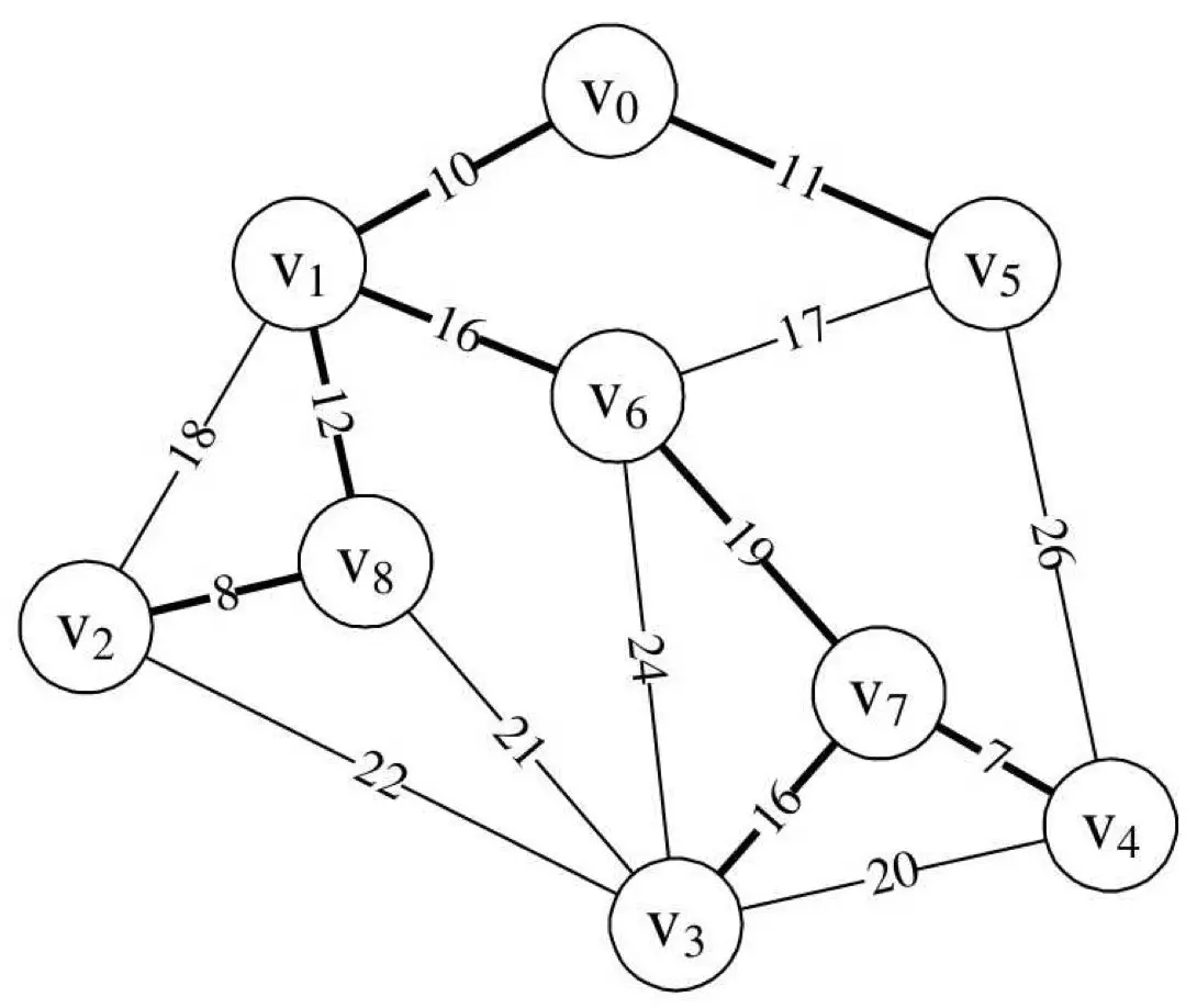
  4. 接下来执行到36行,lowcost数组的值为:{0,0,18,65535,26,0,16,65535,12}。ad-jvex数组的值为:{0,0,1,0,5,0,1,0,1}。12.之后,相信大家也都会自己去模拟了。通过不断的转换,构造的过程如下图中图1~图6所示。

    image-20200510202041522

有了这样的讲解,再来介绍普里姆(Prim)算法的实现定义可能就容易理解一些。

假设N=(V,{E})是连通网,TE是N上最小生成树中边的集合。算法从U={u0}(u0∈V),TE={}开始。重复执行下述操作:在所有u∈U,v∈V-U的边(u,v)∈E中找一条代价最小的边(u0,v0)并入集合TE,同时v0并入U,直至U=V为止。此时TE中必有n-1条边,则T=(V,{TE})为N的最小生成树。

由算法代码中的循环嵌套可得知此算法的时间复杂度为O(n2)。

克鲁斯卡尔(Kruskal)算法

普里姆(Prim)算法是以某顶点为起点,逐步找各顶点上最小权值的边来构建最小生成树的。这就像是我们如果去参观某个展会,例如世博会,你从一个入口进去,然后找你所在位置周边的场馆中你最感兴趣的场馆观光,看完后再用同样的办法看下一个。可我们为什么不事先计划好,进园后直接到你最想去的场馆观看呢?事实上,去世博园的观众,绝大多数都是这样做的。

同样的思路,我们也可以直接就以边为目标去构建,因为权值是在边上,直接去找最小权值的边来构建生成树也是很自然的想法,只不过构建时要考虑是否会形成环路而已。此时我们就用到了图的存储结构中的边集数组结构。以下是edge边集数组结构的定义代码:

/* 对边集数组Edge结构的定义 */
typedef struct
{
    int begin;
    int end;
    int weight;
} Edge;

我们将下图的邻接矩阵通过程序转化为下图的右图的边集数组,并且对它们按权值从小到大排序。

image-20200510202630399

于是克鲁斯卡尔(Kruskal)算法代码如下,左侧数字为行号。其中MAXEDGE为边数量的极大值,此处大于等于15即可,MAXVEX为顶点个数最大值,此处大于等于9即可。现在假设我们自己就是计算机,在调用MiniSpanTree_Kruskal函数,输入下图右图的邻接矩阵后,看看它是如何运行并打印出最小生成树的。

/* Kruskal算法生成最小生成树 */
/* 生成最小生成树 */
void MiniSpanTree_Kruskal(MGraph G)     
{
    int i, n, m;
    /* 定义边集数组 */
    Edge edges[MAXEDGE];                
    /* 定义一数组用来判断边与边是否形成环路 */
    int parent[MAXVEX];                 
    /* 此处省略将邻接矩阵G转化为边集数组edges
       并按权由小到大排序的代码 */
    for (i = 0; i < G.numVertexes; i++)
        /* 初始化数组值为0 */
        parent[i] = 0;                  
    /* 循环每一条边 */
    for (i = 0; i < G.numEdges; i++)    
    {
       n = Find(parent, edges[i].begin);
       m = Find(parent, edges[i].end);
       /* 假如n与m不等,说明此边没有与现有生成树形成环路 */
       if (n != m)                     
       {
           /* 将此边的结尾顶点放入下标为起点的parent中 */
           /* 表示此顶点已经在生成树集合中 */
           parent[n] = m;              
           printf("(%d, %d) %d ", edges[i].begin, 
                  edges[i].end, edges[i].weight);
       }
    }
}
/* 查找连线顶点的尾部下标 */
int Find(int *parent, int f)            
{
    while (parent[f] > 0)
        f = parent[f];
    return f;
}

1.程序开始运行,第5行之后,我们省略掉颇占篇幅但却很容易实现的将邻接矩阵转换为边集数组,并按权值从小到大排序的代码,也就是说,在第5行开始,我们已经有了结构为edge,数据内容是下图的右图的一维数组edges。

2.第5~7行,我们声明一个数组parent,并将它的值都初始化为0,它的作用我们后面慢慢说。

3.第8~17行,我们开始对边集数组做循环遍历,开始时,i=0。

4.第10行,我们调用了第19~25行的函数Find,传入的参数是数组parent和当前权值最小边(v4,v7)的begin:4。因为parent中全都是0所以传出值使得n=4。

5.第11行,同样作法,传入(v4,v7)的end:7。传出值使得m=7。

6.第12~16行,很显然n与m不相等,因此parent[4]=7。此时parent数组值为{0,0,0,0,7,0,0,0,0},并且打印得到“(4,7)7”。此时我们已经将边(v4,v7)纳入到最小生成树中,如下图所示。

image-20200510203052825

7.循环返回,执行10~16行,此时i=1,edge[1]得到边(v2,v8),n=2,m=8,par-ent[2]=8,打印结果为“(2,8)8”,此时parent数组值为{0,0,8,0,7,0,0,0,0},这也就表示边(v4,v7)和边(v2,v8)已经纳入到最小生成树,如下图所示。

image-20200510203156259

8.再次执行10~16行,此时i=2,edge[2]得到边(v0,v1),n=0,m=1,parent[0]=1,打印结果为“(0,1)10”,此时parent数组值为{1,0,8,0,7,0,0,0,0},此时边(v4,v7)、(v2,v8)和(v0,v1)已经纳入到最小生成树,如下图所示。

image-20200510203237568

9.当i=3、4、5、6时,分别将边(v0,v5)、(v1,v8)、(v3,v7)、(v1,v6)纳入到最小生成树中,如下图所示。此时parent数组值为{1,5,8,7,7,8,0,0,6},怎么去解读这个数组现在这些数字的意义呢?

image-20200510203322483

从下图的右下方的图i=6的粗线连线可以得到,我们其实是有两个连通的边集合A与B中纳入到最小生成树中的,如下图所示。当parent[0]=1,表示v0和v1已经在生成树的边集合A中。此时将parent[0]=1的1改为下标,由par-ent[1]=5,表示v1和v5在边集合A中,par-ent[5]=8表示v5与v8在边集合A中,par-ent[8]=6表示v8与v6在边集合A中,par-ent[6]=0表示集合A暂时到头,此时边集合A有v0、v1、v5、v8、v6。我们查看parent中没有查看的值,parent[2]=8表示v2与v8在一个集合中,因此v2也在边集合A中。再由parent[3]=7、par-ent[4]=7和parent[7]=0可知v3、v4、v7在另一个边集合B中。

image-20200510203837910

10.当i=7时,第10行,调用Find函数,会传入参数edges[7].begin=5。此时第21行,parent[5]=8>0,所以f=8,再循环得par-ent[8]=6。因parent[6]=0所以Find返回后第10行得到n=6。而此时第11行,传入参数edges[7].end=6得到m=6。此时n=m,不再打印,继续下一循环。这就告诉我们,因为边(v5,v6)使得边集合A形成了环路。因此不能将它纳入到最小生成树中,如上图所示。

11.当i=8时,与上面相同,由于边(v1,v2)使得边集合A形成了环路。因此不能将它纳入到最小生成树中,如上图所示。

12.当i=9时,边(v6,v7),第10行得到n=6,第11行得到m=7,因此parent[6]=7,打印“(6,7)19”。此时parent数组值为{1,5,8,7,7,8,7,0,6},如下图所示。

13.此后边的循环均造成环路,最终最小生成树即为下图所示。

image-20200510204123128

好了,我们来把克鲁斯卡尔(Kruskal)算法的实现定义归纳一下结束这一节的讲解。

假设N=(V,{E})是连通网,则令最小生成树的初始状态为只有n个顶点而无边的非连通图T={V,{}},图中每个顶点自成一个连通分量。在E中选择代价最小的边,若该边依附的顶点落在T中不同的连通分量上,则将此边加入到T中,否则舍去此边而选择下一条代价最小的边。依次类推,直至T中所有顶点都在同一连通分量上为止。

此算法的Find函数由边数e决定,时间复杂度为O(loge),而外面有一个for循环e次。所以克鲁斯卡尔算法的时间复杂度为O(eloge)。

对比两个算法,克鲁斯卡尔算法主要是针对边来展开,边数少时效率会非常高,所以对于稀疏图有很大的优势;而普里姆算法对于稠密图,即边数非常多的情况会更好一些。