数据结构与算法-图的存储

620 阅读13分钟

邻接矩阵

考虑到图是由顶点和边或弧两部分组成。合在一起比较困难,那就很自然地考虑到分两个结构来分别存储。顶点不分大小、主次,所以用一个一维数组来存储是很不错的选择。而边或弧由于是顶点与顶点之间的关系,一维搞不定,那就考虑用一个二维数组来存储。于是我们的邻接矩阵的方案就诞生了。

图的邻接矩阵(Adjacency Matrix)存储方式是用两个数组来表示图。一个一维数组存储图中顶点信息,一个二维数组(称为邻接矩阵)存储图中的边或弧的信息。

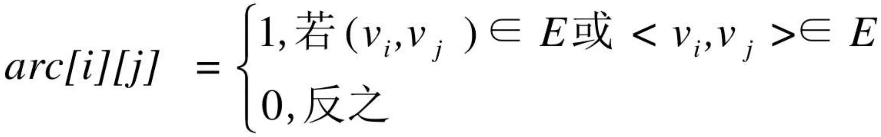
设图G有n个顶点,则邻接矩阵是一个n×n的方阵,定义为:

image-20200507210200991

我们来看一个实例,下图的左图就是一个无向图。

image-20200507210231732

我们可以设置两个数组,顶点数组为ver-tex[4]={v0,v1,v2,v3},边数组arc[4][4]为上图右图这样的一个矩阵。简单解释一下,对于矩阵的主对角线的值,即arc[0][0]、arc[1][1]、arc[2][2]、arc[3][3],全为0是因为不存在顶点到自身的边,比如v0到v0。arc[0][1]=1是因为v0到v1的边存在,而arc[1][3]=0是因为v1到v3的边不存在。并且由于是无向图,v1到v3的边不存在,意味着v3到v1的边也不存在。所以无向图的边数组是一个对称矩阵。

嗯?对称矩阵是什么?忘记了不要紧,复习一下。所谓对称矩阵就是n阶矩阵的元满足aij=aji,(0≤i,j≤n)。即从矩阵的左上角到右下角的主对角线为轴,右上角的元与左下角相对应的元全都是相等的。

有了这个矩阵,我们就可以很容易地知道图中的信息。

  1. 我们要判定任意两顶点是否有边无边就非常容易了。
  2. 我们要知道某个顶点的度,其实就是这个顶点vi在邻接矩阵中第i行(或第i列)的元素之和。比如顶点v1的度就是1+0+1+0=2。
  3. 求顶点vi的所有邻接点就是将矩阵中第i行元素扫描一遍,arc[i][j]为1就是邻接点。

我们再来看一个有向图样例,如下图所示的左图。

image-20200507210757710

顶点数组为vertex[4]={v0,v1,v2,v3},弧数组arc[4][4]为上图右图这样的一个矩阵。主对角线上数值依然为0。但因为是有向图,所以此矩阵并不对称,比如由v1到v0有弧,得到arc[1][0]=1,而v0到v1没有弧,因此arc[0][1]=0。

有向图讲究入度与出度,顶点v1的入度为1,正好是第v1列各数之和。顶点v1的出度为2,即第v1行的各数之和。

与无向图同样的办法,判断顶点vi到vj是否存在弧,只需要查找矩阵中arc[i][j]是否为1即可。要求vi的所有邻接点就是将矩阵第i行元素扫描一遍,查找arc[i][j]为1的顶点。

网的存储

每条边上带有权的图叫做网。那么这些权值就需要存下来,如何处理这个矩阵来适应这个需求呢?我们有办法。

设图G是网图,有n个顶点,则邻接矩阵是一个n×n的方阵,定义为:

这里wij表示(vi,vj)或<vi,vj>上的权值。∞表示一个计算机允许的、大于所有边上权值的值,也就是一个不可能的极限值。有同学会问,为什么不是0呢?原因在于权值wij大多数情况下是正值,但个别时候可能就是0,甚至有可能是负值。因此必须要用一个不可能的值来代表不存在。如下图左图就是一个有向网图,右图就是它的邻接矩阵。

image-20200508084844794

那么邻接矩阵是如何实现图的创建的呢?我们先来看看图的邻接矩阵存储的结构,代码如下。

/* 顶点类型应由用户定义 */
typedef char VertexType;             
/* 边上的权值类型应由用户定义 */
typedef int EdgeType;                
/* 最大顶点数,应由用户定义 */
#define MAXVEX 100                   
/* 用65535来代表∞ */
#define INFINITY 65535               
typedef struct
{
    /* 顶点表 */”
		VertexType vexs[MAXVEX];         
    /* 邻接矩阵,可看作边表 */
    EdgeType arc[MAXVEX][MAXVEX];    
    /* 图中当前的顶点数和边数 */
    int numVertexes, numEdges;       
} MGraph;

有了这个结构定义,我们构造一个图,其实就是给顶点表和边表输入数据的过程。我们来看看无向网图的创建代码。

/* 建立无向网图的邻接矩阵表示 */
void CreateMGraph(MGraph *G)
{
    int i, j, k, w;
    printf("输入顶点数和边数:\n");
    /* 输入顶点数和边数 */
    scanf("%d,%d", &G->numVertexes, &G->numEdges);    
    /* 读入顶点信息,建立顶点表 */
    for (i = 0; i < G->numVertexes; i++)              
        scanf(&G->vexs[i]);
    for (i = 0; i < G->numVertexes; i++)
        for (j = 0; j <G->numVertexes; j++)
            /* 邻接矩阵初始化 */
            G->arc[i][j] = INFINITY;                  
    /* 读入numEdges条边,建立邻接矩阵 */
   	for (k = 0; k < G->numEdges; k++)                 
    {
        printf("输入边(vi,vj)上的下标i,下标j和权w:\n");
        /* 输入边(vi,vj)上的权w */
        scanf("%d,%d,%d", &i, &j, &w);                
        G->arc[i][j] = w;
        /* 因为是无向图,矩阵对称 */
        G->arc[j][i] = G->arc[i][j];                  
    }
}

从代码中也可以得到,n个顶点和e条边的无向网图的创建,时间复杂度为O(n+n2+e),其中对邻接矩阵G.arc的初始化耗费了O(n2)的时间。

邻接表

邻接矩阵是不错的一种图存储结构,但是我们也发现,对于边数相对顶点较少的图,这种结构是存在对存储空间的极大浪费的。比如说,如果我们要处理下图这样的稀疏有向图,邻接矩阵中除了arc[1][0]有权值外,没有其他弧,其实这些存储空间都浪费掉了。

image-20200508090023363

邻接表的处理办法是这样。

  1. 图中顶点用一个一维数组存储,当然,顶点也可以用单链表来存储,不过数组可以较容易地读取顶点信息,更加方便。另外,对于顶点数组中,每个数据元素还需要存储指向第一个邻接点的指针,以便于查找该顶点的边信息。
  2. 图中每个顶点vi的所有邻接点构成一个线性表,由于邻接点的个数不定,所以用单链表存储,无向图称为顶点vi的边表,有向图则称为顶点vi作为弧尾的出边表。

例如下图所示的就是一个无向图的邻接表结构。

image-20200508090445986

从图中我们知道,顶点表的各个结点由data和firstedge两个域表示,data是数据域,存储顶点的信息,firstedge是指针域,指向边表的第一个结点,即此顶点的第一个邻接点。边表结点由adjvex和next两个域组成。adjvex是邻接点域,存储某顶点的邻接点在顶点表中的下标,next则存储指向边表中下一个结点的指针。比如v1顶点与v0、v2互为邻接点,则在v1的边表中,adjvex分别为v0的0和v2的2。

这样的结构,对于我们要获得图的相关信息也是很方便的。比如我们要想知道某个顶点的度,就去查找这个顶点的边表中结点的个数。若要判断顶点vi到vj是否存在边,只需要测试顶点vi的边表中adjvex是否存在结点vj的下标j就行了。若求顶点的所有邻接点,其实就是对此顶点的边表进行遍历,得到的adjvex域对应的顶点就是邻接点。

若是有向图,邻接表结构是类似的,比如下图中第一幅图的邻接表就是第二幅图。但要注意的是有向图由于有方向,我们是以顶点为弧尾来存储边表的,这样很容易就可以得到每个顶点的出度。但也有时为了便于确定顶点的入度或以顶点为弧头的弧,我们可以建立一个有向图的逆邻接表,即对每个顶点vi都建立一个链接为vi为弧头的表。如下图的第三幅图所示。

image-20200508092914246

此时我们很容易就可以算出某个顶点的入度或出度是多少,判断两顶点是否存在弧也很容易实现。

对于带权值的网图,可以在边表结点定义中再增加一个weight的数据域,存储权值信息即可,如下图所示:

image-20200508094928095

有了这些结构的图,下面关于结点定义的代码就很好理解了。

/* 顶点类型应由用户定义 */
typedef char VertexType;          
/* 边上的权值类型应由用户定义 */
typedef int EdgeType;             
/* 边表结点 */
typedef struct EdgeNode           
{
    /* 邻接点域,存储该顶点对应的下标 */
    int adjvex;                   
    /* 用于存储权值,对于非网图可以不需要 */
    EdgeType weight;              
    /* 链域,指向下一个邻接点&emsp; */
    struct EdgeNode *next;        
} EdgeNode;
/* 顶点表结点 */
typedef struct VertexNode         
{
    /* 顶点域,存储顶点信息 */
    VertexType data;              
    /* 边表头指针 */
    EdgeNode *firstedge;          
} VertexNode, AdjList[MAXVEX];
typedef struct
{
    AdjList adjList;
    /* 图中当前顶点数和边数 */
    int numVertexes, numEdges;    
} GraphAdjList;

对于邻接表的创建,也就是顺理成章之事。无向图的邻接表创建代码如下。

/* 建立图的邻接表结构 */
void  CreateALGraph(GraphAdjList *G)
{
    int i, j, k;
    EdgeNode *e;
    printf("输入顶点数和边数:\n");
    /* 输入顶点数和边数 */
    scanf("%d,%d", &G->numVertexes, &G->numEdges);    
    /* 读入顶点信息,建立顶点表 */for (i = 0; i < G->numVertexes; i++)              
    {
        /* 输入顶点信息 */
        scanf(&G->adjList[i].data);                   
        /* 将边表置为空表 */
        G->adjList[i].firstedge = NULL;               
    }
    /* 建立边表 */
    for (k = 0; k < G->numEdges; k++)                 
    {
        printf("输入边(vi,vj)上的顶点序号:\n");
        /* 输入边(vi,vj)上的顶点序号 */
        scanf("%d,%d", &i, &j);                       
        /* 向内存申请空间, */
        /* 生成边表结点 */
        e = (EdgeNode *)malloc(sizeof(EdgeNode));     
        /* 邻接序号为j */
        e->adjvex = j;                                
        /* 将e指针指向当前顶点指向的结点 */
        e->next = G->adjList[i].firstedge;            
        /* 将当前顶点的指针指向e */
        G->adjList[i].firstedge = e;                  
        /* 向内存申请空间, */
        /* 生成边表结点 */
        e = (EdgeNode *)malloc(sizeof(EdgeNode));     
        /* 邻接序号为i */
        e->adjvex = i;                                
        /* 将e指针指向当前顶点指向的结点 */
        e->next = G->adjList[j].firstedge;            
        /* 将当前顶点的指针指向e */
        G->adjList[j].firstedge = e;                  
    }
}

由于对于无向图,一条边对应都是两个顶点,所以在循环中,一次就针对i和j分别进行了插入。本算法的时间复杂度,对于n个顶点e条边来说,很容易得出是O(n+e)。

十字链表

那么对于有向图来说,邻接表是有缺陷的。关心了出度问题,想了解入度就必须要遍历整个图才能知道,反之,逆邻接表解决了入度却不了解出度的情况。有没有可能把邻接表与逆邻接表结合起来呢?答案是肯定的,就是把它们整合在一起。这就是我们现在要讲的有向图的一种存储方法:十字链表(Orthogonal List)。

我们重新定义顶点表结点结构如下表所示。

data firstin firstout
  • firstin表示入边表头指针,指向该顶点的入边表中第一个结点。
  • firstout表示出边表头指针,指向该顶点的出边表中的第一个结点。

重新定义的边表结点结构如下图所示。

image-20200508101123551

  • tailvex是指弧起点在顶点表的下标。
  • headvex是指弧终点在顶点表中的下标。
  • headlink是指入边表指针域,指向终点相同的下一条边。
  • taillink是指边表指针域,指向起点相同的下一条边。
  • 如果是网,还可以再增加一个weight域来存储权值。

比如下图,顶点依然是存入一个一维数组{v0,v1,v2,v3},实线箭头指针的图示完全与下图的邻接表相同。就以顶点v0来说,firstout指向的是出边表中的第一个结点v3。所以v0边表结点的headvex=3,而tailvex其实就是当前顶点v0的下标0,由于v0只有一个出边顶点,所以headlink和taillink都是空。

image-20200508101324120

我们重点需要来解释虚线箭头的含义,它其实就是此图的逆邻接表的表示。对于v0来说,它有两个顶点v1和v2的入边。因此v0的firstin指向顶点v1的边表结点中headvex为0的结点,如图上右图中的①。接着由入边结点的headlink指向下一个入边顶点v2,如图中的②。对于顶点v1,它有一个入边顶点v2,所以它的firstin指向顶点v2的边表结点中headvex为1的结点,如图中的③。顶点v2和v3也是同样有一个入边顶点,如图中④和⑤。

邻接多重表

重新定义的边表结点结构如下图所示。

image-20200510133411275

  • ivex和jvex是与某条边依附的两个顶点在顶点表中的下标。
  • ilink指向依附顶点ivex的下一条边,jlink指向依附顶点jvex的下一条边。

如下图所示,左图告诉我们它有4个顶点和5条边,显然,我们就应该先将4个顶点和5条边的边表结点画出来。由于是无向图,所以ivex是0、jvex是1还是反过来都是无所谓的,不过为了绘图方便,都将ivex值设置得与一旁的顶点下标相同。

image-20200510134907709

如下图。首先连线的①②③④就是将顶点的firstedge指向一条边,顶点下标要与ivex的值相同,

这很好理解。接着,由于顶点v0的(v0,v1)边的邻边有(v0,v3)和(v0,v2)。因此⑤⑥的连线就是满足指向下一条依附于顶点v0的边的目标,注意ilink指向的结点的jvex一定要和它本身的ivex的值相同。

同样的道理,连线⑦就是指(v1,v0)这条边,它是相当于顶点v1指向(v1,v2)边后的下一条。v2有三条边依附,所以在③之后就有了⑧⑨。

连线⑩的就是顶点v3在连线④之后的下一条边。左图一共有5条边,所以右图有10条连线,完全符合预期。

image-20200510134955094

边集数组

边集数组是由两个一维数组构成。一个是存储顶点的信息;另一个是存储边的信息,这个边数组每个数据元素由一条边的起点下标(begin)、终点下标(end)和权(weight)组成,如下图所示。显然边集数组关注的是边的集合,在边集数组中要查找一个顶点的度需要扫描整个边数组,效率并不高。因此它更适合对边依次进行处理的操作,而不适合对顶点相关的操作。

image-20200510135843534

定义的边数组结构如下表所示。

begin end weight
  • begin是存储起点下标。
  • end是存储终点下标。
  • weight是存储权值。