图的定义
图(Graph)是由非空的顶点集合和一个描述顶点之间的关系——边(或者弧)的集合组成的,其形式化定义为: G=(V, E) V={vi | vi∈data object } E={(vi, vj) | vi, vj ∈V∧P (vi, vj)} 其中,G表示一个图,V是图G中顶点的集合,E是图G中边的集合,集合E中P(vi, vj)表示顶点vi和顶点vj之间有一条直接连线,即偶对(vi, vj)表示一条边。
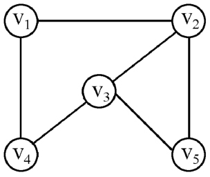
无向图
在一个图中,如果任意两个顶点构成的偶对(vi, vj)是无序的,即顶点之间的连线是没有方向的,则称该图为无向图。

V={v1, v2, v3, v4, v5};
E={(v1, v2), (v1, v4), (v2, v3), (v3, v4), (v3, v5), (v2, v5)}
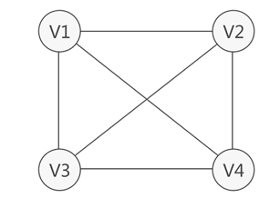
有向图
在一个图中,如果任意两个顶点构成的偶对<vi, vj>是有序的(有序对常用尖括号“< >”表示),即顶点之间的连线是有方向的,则称该图为有向图。

V={v1, v2, v3, v4}
E={<v1, v2>, <v1, v3>, <v3, v4>, <v4, v1>}
顶点、边、弧、弧头、弧尾
在图中,数据元素vi称为顶点(Vertex);(vi, vj)表示在顶点vi和顶点vj之间有一条直接连线。如果是在无向图中,则称这条连线为边;如果是在有向图中,一般称这条连线为弧。
边用顶点的无序偶对(vi, vj)来表示,称顶点vi和顶点vj互为邻接点,边(vi, vj)依附于顶点vi与顶点vj;
弧用顶点的有序偶对<vi, vj>来表示,有序偶对的第一个结点vi被称为始点(或弧尾),在图中就是不带箭头的一端;有序偶对的第二个结点vj被称为终点(或弧头),在图中就是带箭头的一端。
无向完全图
在一个无向图中,如果任意两顶点都有一条直接边相连接,则称该图为无向完全图。可以证明,在一个含有n个顶点的无向完全图中,有n(n-1)/2条边。

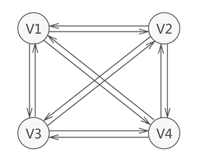
有向完全图
在一个有向图中,如果任意两顶点之间都有方向互为相反的两条弧相连接,则称该图为有向完全图。在一个含有n个顶点的有向完全图中,有n(n-1)条边。

顶点的度、入度、出度
顶点的度(Degree)是指依附于某顶点v的边数,通常记为TD (v)。在有向图中,要区别顶点的入度与出度的概念。顶点v的入度是指以顶点v为终点的弧的数目,记为ID(v);顶点v出度是指以顶点v为始点的弧的数目。
边的权、网
在某些实际场景中,图中的每条边(或弧)会赋予一个实数来表示一定的含义,这种与边(或弧)相匹配的实数被称为"权",而带权的图通常称为网。

路径和回路
无论是无向图还是有向图,从一个顶点到另一顶点途径的所有顶点组成的序列(包含这两个顶点),称为一条路径。如果路径中第一个顶点和最后一个顶点相同,则此路径称为"回路"(或"环")。
并且,若路径中各顶点都不重复,此路径又被称为"简单路径";同样,若回路中的顶点互不重复,此回路被称为"简单回路"(或简单环)。

子图
指的是由图中一部分顶点和边构成的图,称为原图的子图。
连通图
无向图中,如果任意两个顶点之间都能够连通,则称此无向图为连通图。例如,下图中的无向图就是一个连通图,因为此图中任意两顶点之间都是连通的。


需要注意的是,连通分量的提出是以"整个无向图不是连通图"为前提的,因为如果无向图是连通图,则其无法分解出多个最大连通子图,因为图中所有的顶点之间都是连通的。
强连通图
有向图中,若任意两个顶点 Vi 和 Vj,满足从 Vi 到 Vj 以及从 Vj 到 Vi 都连通,也就是都含有至少一条通路,则称此有向图为强连通图。

与此同时,若有向图本身不是强连通图,但其包含的最大连通子图具有强连通图的性质,则称该子图为强连通分量。
图的存储
邻接矩阵
所谓邻接矩阵(Adjacency Matrix)的存储结构,就是用一维数组存储图中顶点的信息,用矩阵表示图中各顶点之间的邻接关系。

#define OK 1
#define ERROR 0
#define TRUE 1
#define FALSE 0
#define MAXVEX 100 /* 最大顶点数,应由用户定义 */
#define INFINITYC 0
typedef int Status; /* Status是函数的类型,其值是函数结果状态代码,如OK等 */
typedef char VertexType; /* 顶点类型应由用户定义 */
typedef int EdgeType; /* 边上的权值类型应由用户定义 */
typedef struct
{
VertexType vexs[MAXVEX]; /* 顶点表 */
EdgeType arc[MAXVEX][MAXVEX];/* 邻接矩阵,可看作边表 */
int numNodes, numEdges; /* 图中当前的顶点数和边数 */
}MGraph;
void CreateMGraph(MGraph *G){
int i,j,k,w;
printf("输入顶点数和边数:\n");
//1. 输入顶点数/边数
scanf("%d,%d",&G->numNodes,&G->numEdges);
printf("顶点数:%d,边数:%d\n",G->numNodes,G->numEdges);
//2.输入顶点信息/顶点表
for(i = 0; i<= G->numNodes;i++)
scanf("%c",&G->vexs[i]);
//3.初始化邻接矩阵
for(i = 0; i < G->numNodes;i++)
for(j = 0; j < G->numNodes;j++)
G->arc[i][j] = INFINITYC;
//4.输入边表信息
for(k = 0; k < G->numEdges;k++){
printf("输入边(vi,vj)上的下标i,下标j,权w\n");
scanf("%d,%d,%d",&i,&j,&w);
G->arc[i][j] = w;
//如果无向图,矩阵对称;
G->arc[j][i] = G->arc[i][j];
}
/*5.打印邻接矩阵*/
for (int i = 0; i < G->numNodes; i++) {
printf("\n");
for (int j = 0; j < G->numNodes; j++) {
printf("%d ",G->arc[i][j]);
}
}
printf("\n");
}
int main(void)
{
printf("邻接矩阵实现图的存储\n");
/*图的存储-邻接矩阵*/
MGraph G;
CreateMGraph(&G);
return 0;
}
邻接表
邻接表是一种顺序存储与链式存储结合的存储方法。邻接表表示法类似于树的孩子链表表示法。就是对于图G中的每个顶点vi,将所有邻接于vi的顶点vj链成一个单链表,这个单链表就称为顶点vi的邻接表,再将所有顶点的邻接表表头放到数组中,就构成了图的邻接表。

#define M 100
#define true 1
#define false 0
typedef char Element;
typedef int BOOL;
//邻接表的节点
typedef struct Node{
int adj_vex_index; //弧头的下标,也就是被指向的下标
Element data; //权重值
struct Node * next; //边指针
}EdgeNode;
//顶点节点表
typedef struct vNode{
Element data; //顶点的权值
EdgeNode * firstedge; //顶点下一个是谁?
}VertexNode, Adjlist[M];
//总图的一些信息
typedef struct Graph{
Adjlist adjlist; //顶点表
int arc_num; //边的个数
int node_num; //节点个数
BOOL is_directed; //是不是有向图
}Graph, *GraphLink;
void creatGraph(GraphLink *g){
int i,j,k;
EdgeNode *p;
//1. 顶点,边,是否有向
printf("输入顶点数目,边数和有向?:\n");
scanf("%d %d %d", &(*g)->node_num, &(*g)->arc_num, &(*g)->is_directed);
//2.顶点表
printf("输入顶点信息:\n");
for (i = 0; i < (*g)->node_num; i++) {
getchar();
scanf("%c", &(*g)->adjlist[i].data);
(*g)->adjlist[i].firstedge = NULL;
}
//3.
printf("输入边信息:\n");
for (k = 0; k < (*g)->arc_num; k++){
getchar();
scanf("%d %d", &i, &j);
//①新建一个节点
p = (EdgeNode *)malloc(sizeof(EdgeNode));
//②弧头的下标
p->adj_vex_index = j;
//③头插法插进去,插的时候要找到弧尾,那就是顶点数组的下标i
p->next = (*g)->adjlist[i].firstedge;
//④将顶点数组[i].firstedge 设置为p
(*g)->adjlist[i].firstedge = p;
//j->i
if(!(*g)->is_directed)
{
// j -----> i
//①新建一个节点
p = (EdgeNode *)malloc(sizeof(EdgeNode));
//②弧头的下标i
p->adj_vex_index = i;
//③头插法插进去,插的时候要找到弧尾,那就是顶点数组的下标i
p->next = (*g)->adjlist[j].firstedge;
//④将顶点数组[i].firstedge 设置为p
(*g)->adjlist[j].firstedge = p;
}
}
}
void putGraph(GraphLink g){
int i;
printf("邻接表中存储信息:\n");
//遍历一遍顶点坐标,每个再进去走一次
for (i = 0; i < g->node_num; i++) {
EdgeNode * p = g->adjlist[i].firstedge;
while (p) {
printf("%c->%c ", g->adjlist[i].data, g->adjlist[p->adj_vex_index].data);
p = p->next;
}
printf("\n");
}
}
图的遍历
深度优先遍历
所谓深度优先遍历,是从图中的一个顶点出发,每次遍历当前访问顶点的临界点,一直到访问的顶点没有未被访问过的临界点为止。然后采用依次回退的方式,查看来的路上每一个顶点是否有其它未被访问的临界点。访问完成后,判断图中的顶点是否已经全部遍历完成,如果没有,以未访问的顶点为起始点,重复上述过程。

- 首先任意找一个未被遍历过的顶点,例如从 V1 开始,由于 V1 率先访问过了,所以,需要标记 V1 的状态为访问过;
- 然后遍历 V1 的邻接点,例如访问 V2 ,并做标记,然后访问 V2 的邻接点,例如 V4 (做标记),然后 V8 ,然后 V5 ;
- 当继续遍历 V5 的邻接点时,根据之前做的标记显示,所有邻接点都被访问过了。此时,从 V5 回退到 V8 ,看 V8 是否有未被访问过的邻接点,如果没有,继续回退到 V4 , V2 , V1 ;
- 通过查看 V1 ,找到一个未被访问过的顶点 V3 ,继续遍历,然后访问 V3 邻接点 V6 ,然后 V7 ;
- 由于 V7 没有未被访问的邻接点,所有回退到 V6 ,继续回退至 V3 ,最后到达 V1 ,发现没有未被访问的;
- 最后一步需要判断是否所有顶点都被访问,如果还有没被访问的,以未被访问的顶点为第一个顶点,继续依照上边的方式进行遍历。
通过深度优先遍历获得的顶点的遍历次序为: V1 -> V2 -> V4 -> V8 -> V5 -> V3 -> V6 -> V7
深度优先遍历是一个不断回溯的过程。
代码实现
#define OK 1
#define ERROR 0
#define TRUE 1
#define FALSE 0
typedef int Status; /* Status是函数的类型,其值是函数结果状态代码,如OK等 */
typedef int Boolean; /* Boolean是布尔类型,其值是TRUE或FALSE */
typedef char VertexType; /* 顶点类型应由用户定义 */
typedef int EdgeType; /* 边上的权值类型应由用户定义 */
#define MAXSIZE 9 /* 存储空间初始分配量 */
#define MAXEDGE 15
#define MAXVEX 9
#define INFINITYC 65535
typedef struct
{
VertexType vexs[MAXVEX]; /* 顶点表 */
EdgeType arc[MAXVEX][MAXVEX];/* 邻接矩阵,可看作边表 */
int numVertexes, numEdges; /* 图中当前的顶点数和边数 */
}MGraph;
/*4.1 构建一个邻接矩阵*/
void CreateMGraph(MGraph *G)
{
int i, j;
//1. 确定图的顶点数以及边数
G->numEdges=15;
G->numVertexes=9;
/*2.读入顶点信息,建立顶点表 */
G->vexs[0]='A';
G->vexs[1]='B';
G->vexs[2]='C';
G->vexs[3]='D';
G->vexs[4]='E';
G->vexs[5]='F';
G->vexs[6]='G';
G->vexs[7]='H';
G->vexs[8]='I';
/*3. 初始化图中的边表*/
for (i = 0; i < G->numVertexes; i++)
{
for ( j = 0; j < G->numVertexes; j++)
{
G->arc[i][j]=0;
}
}
/*4.将图中的连接信息输入到边表中*/
G->arc[0][1]=1;
G->arc[0][5]=1;
G->arc[1][2]=1;
G->arc[1][8]=1;
G->arc[1][6]=1;
G->arc[2][3]=1;
G->arc[2][8]=1;
G->arc[3][4]=1;
G->arc[3][7]=1;
G->arc[3][6]=1;
G->arc[3][8]=1;
G->arc[4][5]=1;
G->arc[4][7]=1;
G->arc[5][6]=1;
G->arc[6][7]=1;
/*5.无向图是对称矩阵.构成对称*/
for(i = 0; i < G->numVertexes; i++)
{
for(j = i; j < G->numVertexes; j++)
{
G->arc[j][i] =G->arc[i][j];
}
}
}
/*4.2 DFS遍历*/
Boolean visited[MAXVEX]; /* 访问标志的数组 */
//1. 标识顶点是否被标记过;
//2. 选择从某一个顶点开始(注意:非连通图的情况)
//3. 进入递归,打印i点信息,标识; 边表
//4. [i][j] 是否等于1,没有变遍历过visted
void DFS(MGraph G,int i){
//1.
visited[i] = TRUE;
printf("%c",G.vexs[i]);
//2.0~numVertexes
for(int j = 0; j < G.numVertexes;j++){
if(G.arc[i][j] == 1 && !visited[j])
DFS(G, j);
}
}
void DFSTravese(MGraph G){
//1.初始化
for(int i=0;i<G.numVertexes;i++){
visited[i] = FALSE;
}
//2.某一个顶点
for(int i = 0;i<G.numVertexes;i++){
if(!visited[i]){
DFS(G, i);
}
}
}
int main(int argc, const char * argv[]) {
// insert code here...
printf("邻接矩阵的深度优先遍历!\n");
MGraph G;
CreateMGraph(&G);
DFSTravese(G);
printf("\n");
return 0;
}
广度优先遍历
广度优先搜索类似于树的层次遍历。从图中的某一顶点出发,遍历每一个顶点时,依次遍历其所有的邻接点,然后再从这些邻接点出发,同样依次访问它们的邻接点。按照此过程,直到图中所有被访问过的顶点的邻接点都被访问到。
最后还需要做的操作就是查看图中是否存在尚未被访问的顶点,若有,则以该顶点为起始点,重复上述遍历的过程。

还拿上面的无向图为例,假设 V1 作为起始点,遍历其所有的邻接点 V2 和 V3 ,以 V2 为起始点,访问邻接点 V4 和 V5 ,以 V3 为起始点,访问邻接点 V6 、 V7 ,以 V4 为起始点访问 V8 ,以 V5 为起始点,由于 V5 所有的起始点已经全部被访问,所有直接略过, V6 和 V7 也是如此。 以 V1 为起始点的遍历过程结束后,判断图中是否还有未被访问的点,由于图 1 中没有了,所以整个图遍历结束。
遍历顶点的顺序为:V1 -> V2 -> v3 -> V4 -> V5 -> V6 -> V7 -> V8
代码实现
#define OK 1
#define ERROR 0
#define TRUE 1
#define FALSE 0
typedef int Status; /* Status是函数的类型,其值是函数结果状态代码,如OK等 */
typedef int Boolean; /* Boolean是布尔类型,其值是TRUE或FALSE */
typedef char VertexType; /* 顶点类型应由用户定义 */
typedef int EdgeType; /* 边上的权值类型应由用户定义 */
#define MAXSIZE 9 /* 存储空间初始分配量 */
#define MAXEDGE 15
#define MAXVEX 9
#define INFINITYC 65535
typedef struct
{
VertexType vexs[MAXVEX]; /* 顶点表 */
EdgeType arc[MAXVEX][MAXVEX];/* 邻接矩阵,可看作边表 */
int numVertexes, numEdges; /* 图中当前的顶点数和边数 */
}MGraph;
/*4.1 构建一个邻接矩阵*/
void CreateMGraph(MGraph *G)
{
int i, j;
//1. 确定图的顶点数以及边数
G->numEdges=15;
G->numVertexes=9;
/*2.读入顶点信息,建立顶点表 */
G->vexs[0]='A';
G->vexs[1]='B';
G->vexs[2]='C';
G->vexs[3]='D';
G->vexs[4]='E';
G->vexs[5]='F';
G->vexs[6]='G';
G->vexs[7]='H';
G->vexs[8]='I';
/*3. 初始化图中的边表*/
for (i = 0; i < G->numVertexes; i++)
{
for ( j = 0; j < G->numVertexes; j++)
{
G->arc[i][j]=0;
}
}
/*4.将图中的连接信息输入到边表中*/
G->arc[0][1]=1;
G->arc[0][5]=1;
G->arc[1][2]=1;
G->arc[1][8]=1;
G->arc[1][6]=1;
G->arc[2][3]=1;
G->arc[2][8]=1;
G->arc[3][4]=1;
G->arc[3][7]=1;
G->arc[3][6]=1;
G->arc[3][8]=1;
G->arc[4][5]=1;
G->arc[4][7]=1;
G->arc[5][6]=1;
G->arc[6][7]=1;
/*5.无向图是对称矩阵.构成对称*/
for(i = 0; i < G->numVertexes; i++)
{
for(j = i; j < G->numVertexes; j++)
{
G->arc[j][i] =G->arc[i][j];
}
}
}
/*
4.2 ***需要用到的队列结构与相关功能函数***
*/
/* 循环队列的顺序存储结构 */
typedef struct
{
int data[MAXSIZE];
int front; /* 头指针 */
int rear; /* 尾指针,若队列不空,指向队列尾元素的下一个位置 */
}Queue;
/* 初始化一个空队列Q */
Status InitQueue(Queue *Q)
{
Q->front=0;
Q->rear=0;
return OK;
}
/* 若队列Q为空队列,则返回TRUE,否则返回FALSE */
Status QueueEmpty(Queue Q)
{
if(Q.front==Q.rear) /* 队列空的标志 */
return TRUE;
else
return FALSE;
}
/* 若队列未满,则插入元素e为Q新的队尾元素 */
Status EnQueue(Queue *Q,int e)
{
if ((Q->rear+1)%MAXSIZE == Q->front) /* 队列满的判断 */
return ERROR;
Q->data[Q->rear]=e; /* 将元素e赋值给队尾 */
Q->rear=(Q->rear+1)%MAXSIZE;/* rear指针向后移一位置, */
/* 若到最后则转到数组头部 */
return OK;
}
/* 若队列不空,则删除Q中队头元素,用e返回其值 */
Status DeQueue(Queue *Q,int *e)
{
if (Q->front == Q->rear) /* 队列空的判断 */
return ERROR;
*e=Q->data[Q->front]; /* 将队头元素赋值给e */
Q->front=(Q->front+1)%MAXSIZE; /* front指针向后移一位置, */
/* 若到最后则转到数组头部 */
return OK;
}
/******** Queue End **************/
/*4.3 邻接矩阵广度优先遍历-代码实现*/
Boolean visited[MAXVEX]; /* 访问标志的数组 */
void BFSTraverse(MGraph G){
int temp = 0;
//1.
Queue Q;
InitQueue(&Q);
//2.将访问标志数组全部置为"未访问状态FALSE"
for (int i = 0 ; i < G.numVertexes; i++) {
visited[i] = FALSE;
}
//3.对遍历邻接表中的每一个顶点(对于连通图只会执行1次,这个循环是针对非连通图)
for (int i = 0 ; i < G.numVertexes; i++) {
if(!visited[i]){
visited[i] = TRUE;
printf("%c ",G.vexs[i]);
//4. 入队
EnQueue(&Q, i);
while (!QueueEmpty(Q)) {
//出队
DeQueue(&Q, &i);
for (int j = 0; j < G.numVertexes; j++) {
if(G.arc[i][j] == 1 && !visited[j])
{ visited[j] = TRUE;
printf("%c ",G.vexs[j]);
EnQueue(&Q, j);
}
}
}
}
}
}
int main(int argc, const char * argv[]) {
// insert code here...
printf("邻接矩阵广度优先遍历!\n");
MGraph G;
CreateMGraph(&G);
BFSTraverse(G);
printf("\n");
return 0;
}