数据结构与算法-图

670 阅读10分钟

图的定义

在线性表中,数据元素之间是被串起来的,仅有线性关系,每个数据元素只有一个直接前驱和一个直接后继。在树形结构中,数据元素之间有着明显的层次关系,并且每一层上的数据元素可能和下一层中多个元素相关,但只能和上一层中一个元素相关。这和一对父母可以有多个孩子,但每个孩子却只能有一对父母是一个道理。可现实中,人与人之间关系就非常复杂,比如我认识的朋友,可能他们之间也互相认识,这就不是简单的一对一、一对多,研究人际关系很自然会考虑多对多的情况。图是一种较线性表和树更加复杂的数据结构。在图形结构中,结点之间的关系可以是任意的,图中任意两个数据元素之间都可能相关。

图(Graph)是由顶点的有穷非空集合和顶点之间边的集合组成,通常表示为:G(V,E),其中,G表示一个图,V是图G中顶点的集合,E是图G中边的集合。

对于图的定义,我们需要明确几个注意的地方。

  • 线性表中我们把数据元素叫元素,树中将数据元素叫结点,在图中数据元素,我们则称之为顶点(Vertex)。
  • 线性表中可以没有数据元素,称为空表。树中可以没有结点,叫做空树。那么对于图呢?我记得有一个笑话说一个小朋友拿着一张空白纸给别人却说这是他画的一幅“牛吃草”的画,“那草呢?”“草被牛吃光了。”“那牛呢?”“牛吃完草就走了呀。”之所以好笑是因为我们根本不认为一张空白纸算作画的。同样,在图结构中,不允许没有顶点。在定义中,若V是顶点的集合,则强调了顶点集合V有穷非空。
  • 线性表中,相邻的数据元素之间具有线性关系,树结构中,相邻两层的结点具有层次关系,而图中,任意两个顶点之间都可能有关系,顶点之间的逻辑关系用边来表示,边集可以是空的。

各种图定义

无向边

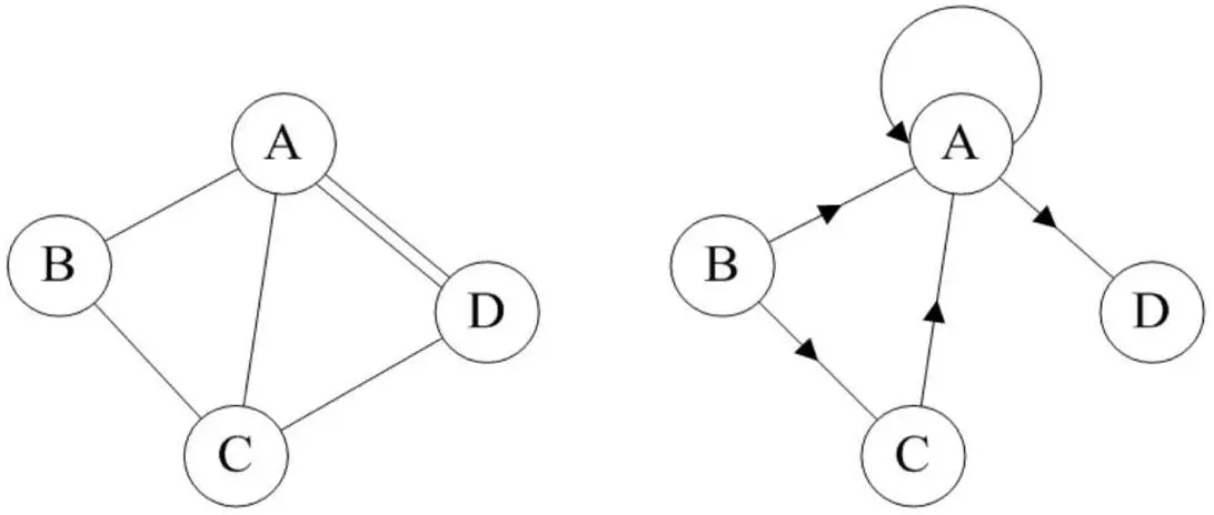
若顶点vi到vj之间的边没有方向,则称这条边为无向边(Edge),用无序偶对(vi,vj)来表示。如果图中任意两个顶点之间的边都是无向边,则称该图为无向图(Undirected graphs)。下图就是一个无向图,由于是无方向的,连接顶点A与D的边,可以表示成无序对(A,D),也可以写成(D,A)。

image-20200507200648186

有向边

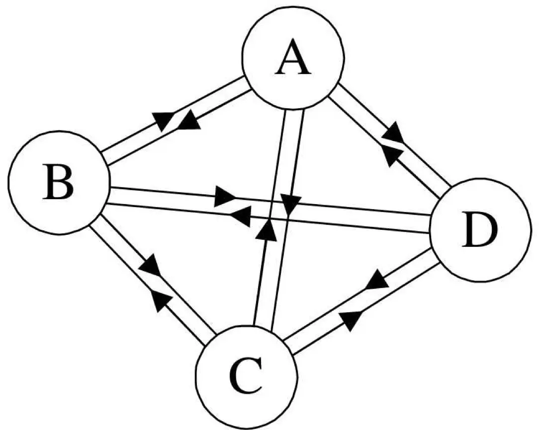
若从顶点vi到vj的边有方向,则称这条边为有向边,也称为弧(Arc)。用有序偶<vi,vj>来表示,vi称为弧尾(Tail),vj称为弧头(Head)。如果图中任意两个顶点之间的边都是有向边,则称该图为有向图(Directed graphs)。下图就是一个有向图。连接顶点A到D的有向边就是弧,A是弧尾,D是弧头,<A,D>表示弧,注意不能写成<D,A>。

image-20200507200827549

对于上图中的有向图G2来说,G2=(V2,{E2}),其中顶点集合V2={A,B,C,D};弧集合E2={<A,D>,<B,A>,<C,A>,<B,C>}。

看清楚了,无向边用小括号“()”表示,而有向边则是用尖括号“<>”表示。

简单图

在图中,若不存在顶点到其自身的边,且同一条边不重复出现,则称这样的图为简单图。像下面这样的图就不属于简单图。

image-20200507201258580

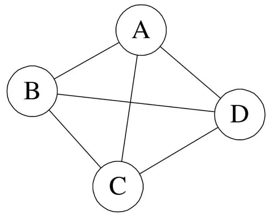
无向完全图

在无向图中,如果任意两个顶点之间都存在边,则称该图为无向完全图。含有n个顶点的无向完全图有n(n-1)/2条边。比如下图就是无向完全图,因为每个顶点都要与除它以外的顶点连线,顶点A与BCD三个顶点连线,共有四个顶点,自然是4×3,但由于顶点A与顶点B连线后,计算B与A连线就是重复,因此要整体除以2,共有6条边。

image-20200507201829968

有向完全图

在有向图中,如果任意两个顶点之间都存在方向互为相反的两条弧,则称该图为有向完全图。含有n个顶点的有向完全图有n×(n-1)条边,如下图所示。

image-20200507201919790

从这里也可以得到结论,对于具有n个顶点和e条边数的图,无向图0≤e≤n(n-1)/2,有向图0≤e≤n(n-1)。

连通图

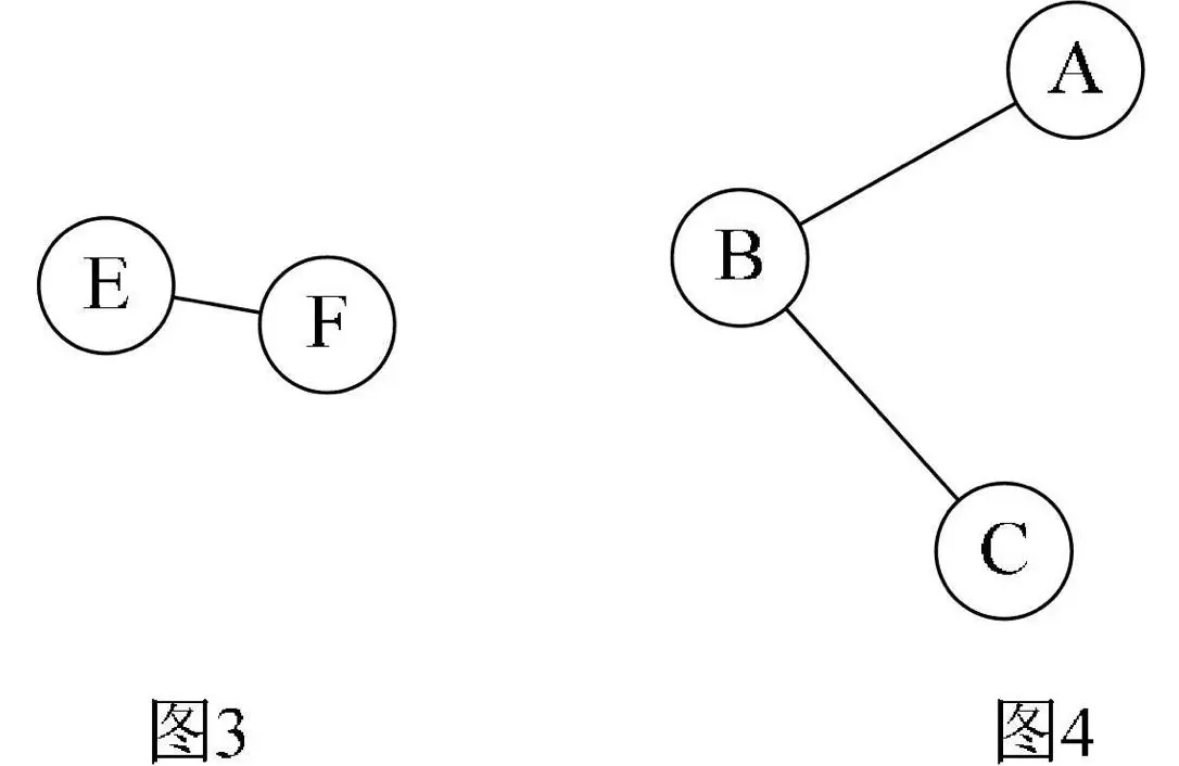
在无向图G中,如果从顶点v到顶点v'有路径,则称v和v'是连通的。如果对于图中任意两个顶点vi、vj∈V,vi和vj都是连通的,则称G是连通图(Connected Graph)。下图的图1,它的顶点A到顶点B、C、D都是连通的,但显然顶点A与顶点E或F就无路径,因此不能算是连通图。而下图的图2,顶点A、B、C、D相互都是连通的,所以它本身是连通图。

image-20200507202615496

image-20200507202638907

无向图中的极大连通子图称为连通分量。注意连通分量的概念。

连通分量

  • 要是子图;
  • 子图要是连通的;
  • 连通子图含有极大顶点数;
  • 具有极大顶点数的连通子图包含依附于这些顶点的所有边。

上图的图1是一个无向非连通图。但是它有两个连通分量,即图2和图3。而图4,尽管是图1的子图,但是它却不满足连通子图的极大顶点数(图2满足)。因此它不是图1的无向图的连通分量。

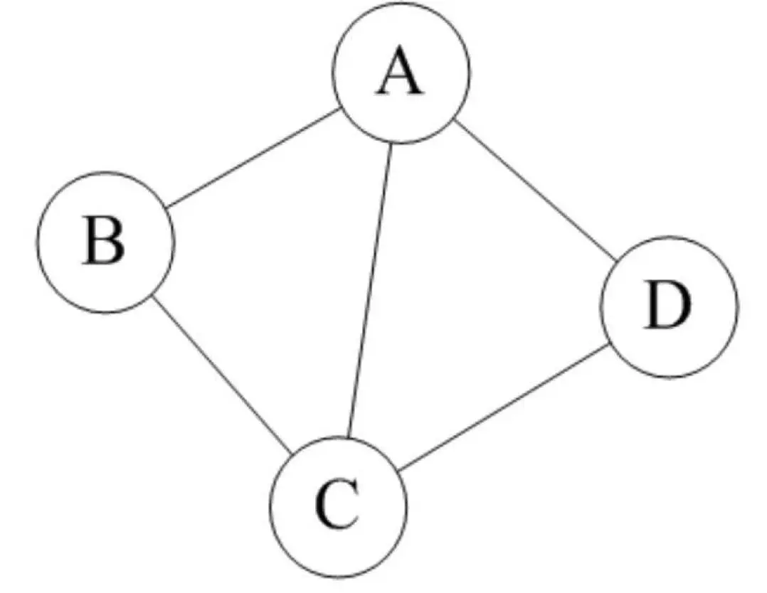
强连通图

在有向图G中,如果对于每一对vi、vj∈V、vi≠vj,从vi到vj和从vj到vi都存在路径,则称G是强连通图。有向图中的极大强连通子图称做有向图的强连通分量。例如下图,图1并不是强连通图,因为顶点A到顶点D存在路径,而D到A就不存在。图2就是强连通图,而且显然图2是图1的极大强连通子图,即是它的强连通分量。

image-20200507202946087

连通图生成树

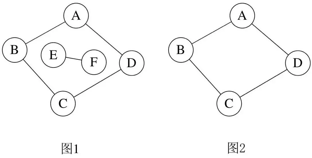
所谓的一个连通图的生成树是一个极小的连通子图,它含有图中全部的n个顶点,但只有足以构成一棵树的n-1条边。比如下图的图1是一普通图,但显然它不是生成树,当去掉两条构成环的边后,比如图2或图3,就满足n个顶点n-1条边且连通的定义了。它们都是一棵生成树。从这里也可知道,如果一个图有n个顶点和小于n-1条边,则是非连通图,如果它多于n-1边条,必定构成一个环,因为这条边使得它依附的那两个顶点之间有了第二条路径。比如图2和图3,随便加哪两顶点的边都将构成环。不过有n-1条边并不一定是生成树,比如图4。

image-20200507203133228

如果一个有向图恰有一个顶点的入度为0,其余顶点的入度均为1,则是一个有向树。对有向树的理解比较容易,所谓入度为0其实就相当于树中的根结点,其余顶点入度为1就是说树的非根结点的双亲只有一个。一个有向图的生成森林由若干棵有向树组成,含有图中全部顶点,但只有足以构成若干棵不相交的有向树的弧。如下图的图1是一棵有向图。去掉一些弧后,它可以分解为两棵有向树,如图2和图3,这两棵就是图1有向图的生成森林。

image-20200507203448307

有些图的边或弧具有与它相关的数字,这种与图的边或弧相关的数叫做权(Weight)。这些权可以表示从一个顶点到另一个顶点的距离或耗费。这种带权的图通常称为网(Network)。下图就是一张带权的图,即标识中国四大城市的直线距离的网,此图中的权就是两地的距离。

image-20200507202046989

术语总结

  • 图按照有无方向分为无向图和有向图。无向图由顶点和边构成,有向图由顶点和弧构成。弧有弧尾和弧头之分。
  • 图按照边或弧的多少分稀疏图和稠密图。如果任意两个顶点之间都存在边叫完全图,有向的叫有向完全图。若无重复的边或顶点到自身的边则叫简单图。
  • 图中顶点之间有邻接点、依附的概念。无向图顶点的边数叫做度,有向图顶点分为入度和出度。
  • 图上的边或弧上带权则称为网。
  • 图中顶点间存在路径,两顶点存在路径则说明是连通的,如果路径最终回到起始点则称为环,当中不重复叫简单路径。若任意两顶点都是连通的,则图就是连通图,有向则称强连通图。图中有子图,若子图极大连通则就是连通分量,有向的则称强连通分量。
  • 无向图中连通且n个顶点n-1条边叫生成树。有向图中一顶点入度为0其余顶点入度为1的叫有向树。一个有向图由若干棵有向树构成生成森林。

图的抽象数据类型

图作为一种数据结构,它的抽象数据类型带有自己特点,正因为它的复杂,运用广泛,使得不同的应用需要不同的运算集合,构成不同的抽象数据操作。

ADT 图(Graph)
Data
    顶点的有穷非空集合和边的集合。
Operation
    CreateGraph(*G, V, VR): 按照顶点集V和边弧集VR的定义构造图G。
    DestroyGraph(*G):       图G存在则销毁。
    LocateVex(G, u):        若图G中存在顶点u,则返回图中的位置。
    GetVex(G, v):           返回图G中顶点v的值。
    PutVex(G, v, value):    将图G中顶点v赋值value。
    FirstAdjVex(G, *v):     返回顶点v的一个邻接顶点,若顶点在G中无邻接顶点返回空。
    NextAdjVex(G, v, *w):   返回顶点v相对于顶点w的下一个邻接顶点,
                            若w是v的最后一个邻接点则返回“空”。
    InsertVex(*G, v):       在图G中增添新顶点v。
    DeleteVex(*G, v):       删除图G中顶点v及其相关的弧。
    InsertArc(*G, v, w):    在图G中增添弧<v,w>,若G是无向图,还需要增添对称弧<w,v>。
    DeleteArc(*G, v, w):    在图G中删除弧<v,w>,若G是无向图,则还删除对称弧<w,v>。
    DFSTraverse(G):         对图G中进行深度优先遍历,在遍历过程对每个顶点调用。
    HFSTraverse(G):         对图G中进行广度优先遍历,在遍历过程对每个顶点调用。
endADT