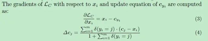
损失函数改进之Center Loss 纯洁的代码 2020-05-07 1,282 阅读2分钟 对于常见的图像分类问题,我们常常用softmax loss来求损失,关于softmax loss你可以参考这篇博文:softmax,softmax-loss,BP的解释。如果你的损失采用softmax loss,那么最后各个类别学出来的特征分布大概如下图Fig2。这个图是以MNISTt数据集做的实验,一共10个类别,用不同的颜色表示。从Fig2可以看出不管是训练数据集还是测试数据集,都能看出比较清晰的类别界限。如果你是采用softmax loss加上本文提出的center loss的损失,那么最后各个类别的特征分布大概如下图Fig3。和Fig2相比,类间距离变大了,类内距离减少了(主要变化在于类内距离:intra-class),这就是直观的结果。接下来详细介绍center loss。如果你还是不熟悉传统的softmax loss,那么先来看看传统的softmax loss。首先区分softmax和softmax loss的区别,可以看博客:softmax,softmax-loss,BP的解释。下面公式1中log函数的输入就是softmax的结果(是概率),而Ls表示的是softmax loss的结果(是损失)。wx+b是全连接层的输出,因此log的输入就表示xi属于类别yi的概率。那么center loss到底是什么呢?先看看center loss的公式LC。cyi表示第yi个类别的特征中心,xi表示全连接层之前的特征。后面会讲到实际使用的时候,m表示mini-batch的大小。因此这个公式就是希望一个batch中的每个样本的feature离feature 的中心的距离的平方和要越小越好,也就是类内距离要越小越好。这就是center loss。关于LC的梯度和cyi的更新公式如下:这个公式里面有个条件表达式如下式,这里当condition满足的时候,下面这个式子等于1,当不满足的时候,下面这个式子等于0.因此上面关于cyi的更新的公式中,当yi(表示yi类别)和cj的类别j不一样的时候,cj是不需要更新的,只有当yi和j一样才需要更新。作者文中用的损失L的包含softmax loss和center loss,用参数南木达(打不出这个特殊字符)控制二者的比重,如下式所示。这里的m表示mini-batch的包含的样本数量,n表示类别数。具体的算法描述可以看下面的Algorithm1:更多免费技术资料可关注:annalin1203