数据结构与算法-遍历二叉树

298 阅读6分钟

二叉树遍历原理

二叉树的遍历(traversing binary tree)是指从根结点出发,按照某种次序依次访问二叉树中所有结点,使得每个结点被访问一次且仅被访问一次。

这里有两个关键词:访问和次序。

二叉树遍历方法

二叉树的遍历方式可以很多,如果我们限制了从左到右的习惯方式,那么主要就分为四种:

前序遍历

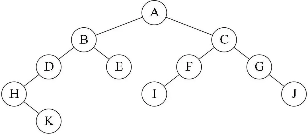
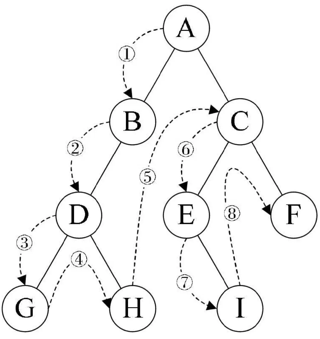
规则是若二叉树为空,则空操作返回,否则先访问根结点,然后前序遍历左子树,再前序遍历右子树。如下图所示,遍历的顺序为:ABDGH-CEIF。

image-20200505135509292

中序遍历

规则是若树为空,则空操作返回,否则从根结点开始(注意并不是先访问根结点),中序遍历根结点的左子树,然后是访问根结点,最后中序遍历右子树。如下图所示,遍历的顺序为:GDHBAE-ICF

image-20200505140905627

后序遍历

规则是若树为空,则空操作返回,否则从左到右先叶子后结点的方式遍历访问左右子树,最后是访问根结点。如下图所示,遍历的顺序为:GHDBIEFCA。

image-20200505141053542

层序遍历

规则是若树为空,则空操作返回,否则从树的第一层,也就是根结点开始访问,从上而下逐层遍历,在同一层中,按从左到右的顺序对结点逐个访问。如下图所示,遍历的顺序为:ABCDEFGHI。

image-20200505141148660

遍历算法

前序遍历

二叉树的定义是用递归的方式,所以,实现遍历算法也可以采用递归,而且极其简洁明了。先来看看二叉树的前序遍历算法。代码如下:

/* 二叉树的前序遍历递归算法 */
void PreOrderTraverse(BiTree T)
{
    if (T == NULL)
        return;
    /* 显示结点数据,可以更改为其他对结点操作 */
    printf("%c", T->data);          
    /* 再先序遍历左子树 */
    PreOrderTraverse(T->lchild);    
    /* 最后先序遍历右子树 */
    PreOrderTraverse(T->rchild);    
}

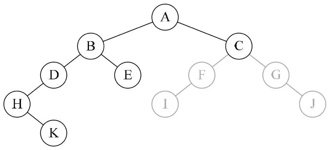
假设我们现在有如图这样一棵二叉树T。这树已经用二叉链表结构存储在内存当中。

image-20200505142125526

那么当调用PreOrderTraverse(T)函数时,我们来看看程序是如何运行的。

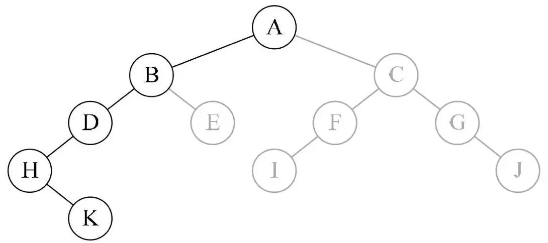
1.调用PreOrderTraverse(T),T根结点不为null,所以执行printf,打印字母A,如下图所示。

image-20200505142205451

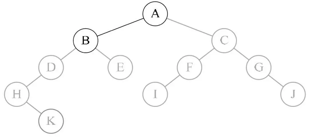
2.调用PreOrderTraverse(T->lchild);访问了A结点的左孩子,不为null,执行printf显示字母B,如下图所示。

image-20200505142259653

3.此时再次递归调用PreOrderTraverse(T->lchild);访问了B结点的左孩子,执行printf显示字母D,如下图所示。

image-20200505142335624

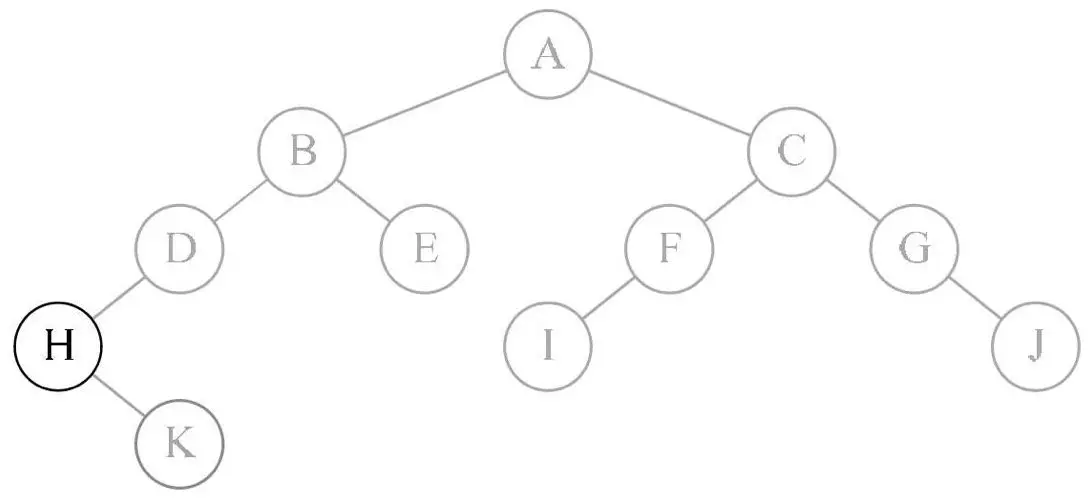
4.再次递归调用PreOrderTraverse(T->lchild);访问了D结点的左孩子,执行printf显示字母H,如下图所示。

image-20200505142406346

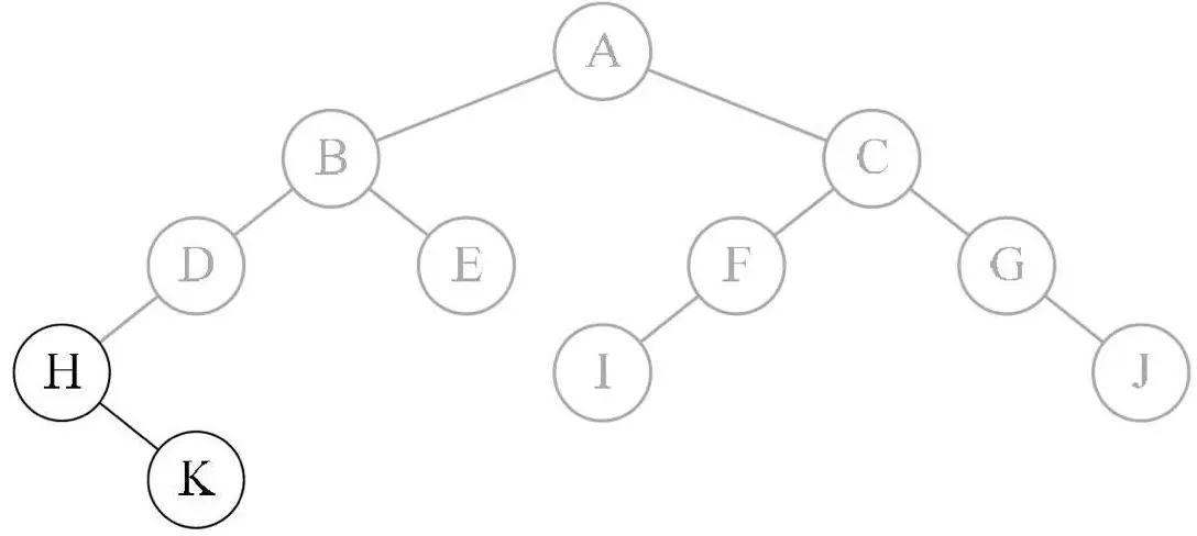
5.再次递归调用PreOrderTraverse(T->lchild);访问了H结点的左孩子,此时因为H结点无左孩子,所以T==null,返回此函数,此时递归调用PreOrderTraverse(T->rchild);访问了H结点的右孩子,printf显示字母K,如下图所示。

image-20200505142436063

6.再次递归调用PreOrderTraverse(T->lchild);访问了K结点的左孩子,K结点无左孩子,返回,调用PreOrderTra-verse(T->rchild);访问了K结点的右孩子,也是null,返回。于是此函数执行完毕,返回到上一级递归的函数(即打印H结点时的函数),也执行完毕,返回到打印结点D时的函数,调用PreOrderTraverse(T->rchild);访问了D结点的右孩子,不存在,返回到B结点,调用PreOrderTra-verse(T->rchild);找到了结点E,打印字母E,如下图所示。

image-20200505142618231

7.由于结点E没有左右孩子,返回打印结点B时的递归函数,递归执行完毕,返回到最初的PreOrderTraverse,调用PreOrderTra-verse(T->rchild);访问结点A的右孩子,打印字母C,如下图所示。

image-20200505142648325

8.之后类似前面的递归调用,依次继续打印F、I、G、J,步骤略。

综上,前序遍历这棵二叉树的节点顺序是:AB-DHKECFIGJ。

中序遍历

/* 二叉树的中序遍历递归算法 */
void InOrderTraverse(BiTree T)
{
    if (T == NULL)
        return;
    /* 中序遍历左子树 */
    InOrderTraverse(T->lchild);    
    /* 显示结点数据,可以更改为其他对结点操作 */
    printf("%c", T->data);         
    /* 最后中序遍历右子树 */
    InOrderTraverse(T->rchild);    
}

换句话说,它等于是把调用左孩子的递归函数提前了,就这么简单。我们来看看当调用InOrder-Traverse(T)函数时,程序是如何运行的。

1.调用InOrderTraverse(T),T的根结点不为null,于是调用InOrderTraverse(T->lchild);访问结点B。当前指针不为null,继续调用InOrderTraverse(T->lchild);访问结点D。不为null,继续调用InOrderTraverse(T->lchild);访问结点H。继续调用InOrderTraverse(T->lchild);访问结点H的左孩子,发现当前指针为null,于是返回。打印当前结点H,如下图所示。

image-20200505143604527

2.然后调用InOrderTraverse(T->rchild);访问结点H的右孩子K,因结点K无左孩子,所以打印K,如下图所示。

image-20200505143642203

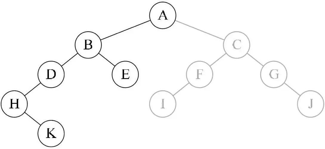
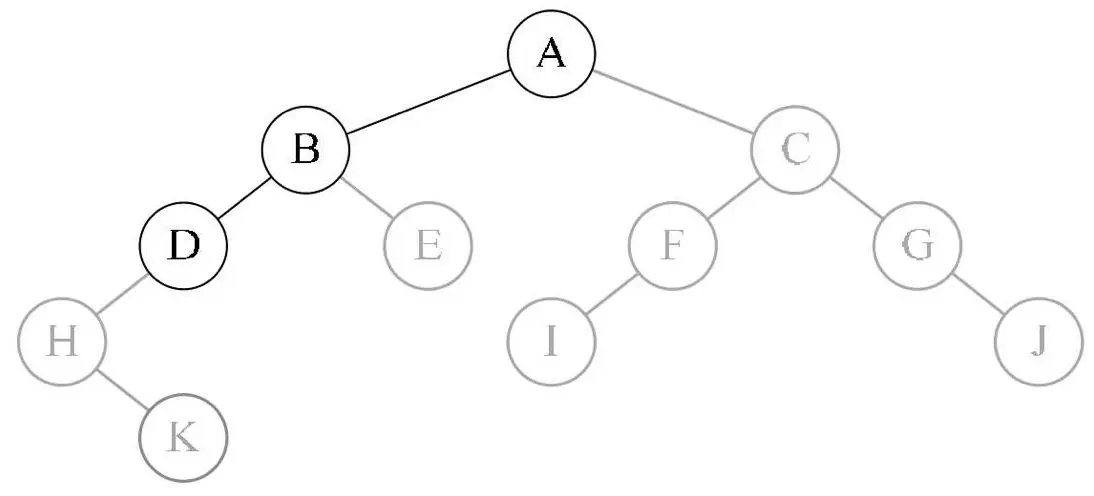
3.因为结点K没有右孩子,所以返回。打印结点H函数执行完毕,返回。打印字母D,如下图所示。

image-20200505143707975

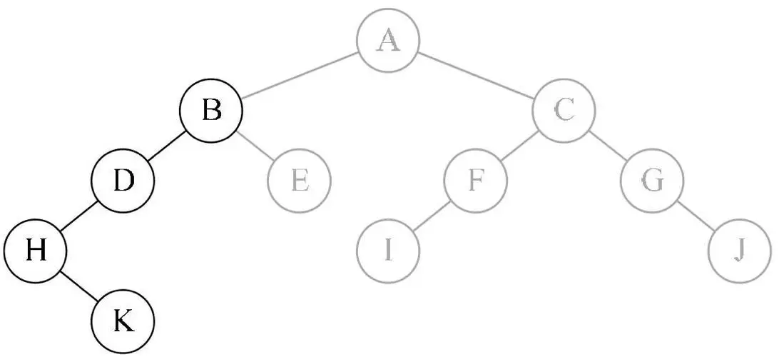
4.结点D无右孩子,此函数执行完毕,返回。打印字母B,如下图所示。

image-20200505143738162

5.调用InOrderTraverse(T->rchild);访问结点B的右孩子E,因结点E无左孩子,所以打印E,如下图所示。

image-20200505143915885

6.结点E无右孩子,返回。结点B的递归函数执行完毕,返回到了最初我们调用In-OrderTraverse的地方,打印字母A,如下图所示。

image-20200505144302914

7.再调用InOrderTraverse(T->rchild);访问结点A的右孩子C,再递归访问结点C的左孩子F,结点F的左孩子I。因为I无左孩子,打印I,之后分别打印F、C、G、J。步骤省略。

综上,中序遍历这棵二叉树的节点顺序是:HKDBEAIFCGJ。

后序遍历

/* 二叉树的后序遍历递归算法 */
void PostOrderTraverse(BiTree T)
{
    if (T == NULL)
        return;
    /* 先后序遍历左子树 */
    PostOrderTraverse(T->lchild);    
    /* 再后序遍历右子树 */
    PostOrderTraverse(T->rchild);    
    /* 显示结点数据,可以更改为其他对结点操作 */
    printf("%c", T->data);           
}

如下图所示,后序遍历是先递归左子树,由根结点A→B→D→H,结点H无左孩子,再查看结点H的右孩子K,因为结点K无左右孩子,所以打印K,返回。

image-20200505144528020

最终,后序遍历的结点的顺序就是:KHDEB-IFJGCA。