1. v-if和v-for哪个优先级更高?如果两个同时出现,应该怎么优化得
到更好的性能?
源码中找答案compiler/codegen/index.js
<template>
<p v-for="child in children" v-if="isFolder">{{child.title}}</p>
<template v-if="isFolder">
<p v-for="child in children">{{child.title}}</p>
</template>
</template>
<script>
const app = new Vue({
el: '#demo',
data() {
return {
children: [{ title: 'foo' }, { title: 'bar' }]
}
},
computed: {
isFolder() {
return this.children && this.children.length > 0
}
},
});
console.log(app.$options.render);
</script>
两者同级时,渲染函数如下:
(function anonymous( ) { with(this){return _c('div',{attrs:{"id":"demo"}},[_c('h1',[_v("v-for和v-if谁的优先 级高?应该如何正确使用避免性能问题?")]),_v(" "), _l((children),function(child){return (isFolder)?_c('p', [_v(_s(child.title))]):_e()})],2)} })
_l包含了isFolder的条件判断 两者不同级时,渲染函数如下:
(function anonymous( ) { with(this){return _c('div',{attrs:{"id":"demo"}},[_c('h1',[_v("v-for和v-if谁的优先 级高?应该如何正确使用避免性能问题?")]),_v(" "), (isFolder)?_l((children),function(child){return _c('p', [_v(_s(child.title))])}):_e()],2)} })
先判断了条件再看是否执行_l 结论:
- 显然v-for优先于v-if被解析(把你是怎么知道的告诉面试官)
- 如果同时出现,每次渲染都会先执行循环再判断条件,无论如何循环都不可避免,浪费了性能
- 要避免出现这种情况,则在外层嵌套template,在这一层进行v-if判断,然后在内部进行v-for循环
- 如果条件出现在循环内部,可通过计算属性提前过滤掉那些不需要显示的项
2. Vue组件data为什么必须是个函数而Vue的根实例则没有此限制?
源码中找答案:src\core\instance\state.js - initData()
Vue.component('comp', {
template:'<div @click="counter++">{{counter}}</div>',
data: {
counter: 0
}
})
const app = new Vue({ el: '#demo' });
函数每次执行都会返回全新data对象实例,程序甚至无法通过vue检测
结论: Vue组件可能存在多个实例,如果使用对象形式定义data,则会导致它们共用一个data对象,那么状态 变更将会影响所有组件实例,这是不合理的;采用函数形式定义,在initData时会将其作为工厂函数返 回全新data对象,有效规避多实例之间状态污染问题。而在Vue根实例创建过程中则不存在该限制,也 是因为根实例只能有一个,不需要担心这种情况。
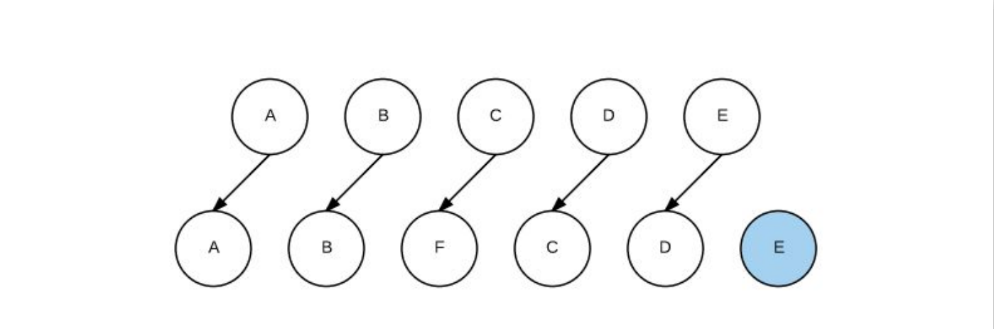
3. 你知道vue中key的作用和工作原理吗?说说你对它的理解。
源码中找答案:src\core\vdom\patch.js - updateChildren() 测试代码
<!DOCTYPE html>
<html>

<body>
<div id="demo">
<p v-for="item in items" :key="item">{{item}}</p>
</div>
<script src="../../dist/vue.js"></script>
<script>
// 创建实例
const app = new Vue({
el: '#demo',
data: { items: ['a', 'b', 'c', 'd', 'e'] },
mounted() {
setTimeout(() => {
this.items.splice(2, 0, 'f')
}, 2000);
}
});
</script>
</body>
</html>


如果使用key
// 首次循环patch A
A B C D E
A B F C D E
// 第2次循环patch B
B C D E
B F C D E
// 第3次循环patch E
C D E F
C D E
// 第4次循环patch D
C D
F C D
// 第5次循环patch C
C
F C
// oldCh全部处理结束,newCh中剩下的F,创建F并插入到C前面
结论
- key的作用主要是为了高效的更新虚拟DOM,其原理是vue在patch过程中通过key可以精准判断两 个节点是否是同一个,从而避免频繁更新不同元素,使得整个patch过程更加高效,减少DOM操 作量,提高性能。
- 另外,若不设置key还可能在列表更新时引发一些隐蔽的bug
- vue中在使用相同标签名元素的过渡切换时,也会使用到key属性,其目的也是为了让vue可以区分 它们,否则vue只会替换其内部属性而不会触发过渡效果。
4. 你怎么理解vue中的diff算法?

源码分析1:必要性,lifecycle.js - mountComponent() 组件中可能存在很多个data中的key使用 源码分析2:执行方式,patch.js - patchVnode() patchVnode是diff发生的地方,整体策略:深度优先,同层比较 源码分析3:高效性,patch.js - updateChildren()
总结
- diff算法是虚拟DOM技术的必然产物:通过新旧虚拟DOM作对比(即diff),将变化的地方更新在真 实DOM上;另外,也需要diff高效的执行对比过程,从而降低时间复杂度为O(n)。
- vue 2.x中为了降低Watcher粒度,每个组件只有一个Watcher与之对应,只有引入diff才能精确找到 发生变化的地方。
- vue中diff执行的时刻是组件实例执行其更新函数时,它会比对上一次渲染结果oldVnode和新的渲染 结果newVnode,此过程称为patch。
- diff过程整体遵循深度优先、同层比较的策略;两个节点之间比较会根据它们是否拥有子节点或者文 本节点做不同操作;比较两组子节点是算法的重点,首先假设头尾节点可能相同做4次比对尝试,如果 没有找到相同节点才按照通用方式遍历查找,查找结束再按情况处理剩下的节点;借助key通常可以非 常精确找到相同节点,因此整个patch过程非常高效。
5. 谈一谈对vue组件化的理解?
思路: 组件化定义、优点、使用场景和注意事项等方面展开陈述,同时要强调vue中组件化的一些特点。
源码分析1:组件定义
组件定义,src\core\global-api\assets.js 代码示例
// 组件定义
Vue.component('comp', {
template: '<div>this is a component</div>'
})
源码片段:src\core\global-api\extend.js
Vue.extend = function (extendOptions: Object): Function {
extendOptions = extendOptions || {}
const Super = this
const SuperId = Super.cid
const cachedCtors = extendOptions._Ctor || (extendOptions._Ctor = {})
if (cachedCtors[SuperId]) {
return cachedCtors[SuperId]
}
const name = extendOptions.name || Super.options.name
if (process.env.NODE_ENV !== 'production' && name) {
validateComponentName(name)
}
const Sub = function VueComponent (options) {
this._init(options)
}
Sub.prototype = Object.create(Super.prototype)
Sub.prototype.constructor = Sub
Sub.cid = cid++
Sub.options = mergeOptions(
Super.options,
extendOptions
)
Sub['super'] = Super
// For props and computed properties, we define the proxy getters on
// the Vue instances at extension time, on the extended prototype. This
// avoids Object.defineProperty calls for each instance created.
if (Sub.options.props) {
initProps(Sub)
}
if (Sub.options.computed) {
initComputed(Sub)
}
// allow further extension/mixin/plugin usage
Sub.extend = Super.extend
Sub.mixin = Super.mixin
Sub.use = Super.use
// create asset registers, so extended classes
// can have their private assets too.
ASSET_TYPES.forEach(function (type) {
Sub[type] = Super[type]
})
// enable recursive self-lookup
if (name) {
Sub.options.components[name] = Sub
}
// keep a reference to the super options at extension time.
// later at instantiation we can check if Super's options have
// been updated.
Sub.superOptions = Super.options
Sub.extendOptions = extendOptions
Sub.sealedOptions = extend({}, Sub.options)
// cache constructor
cachedCtors[SuperId] = Sub
return Sub
}
上述代码说明组件继承与Vue示例,同样也集成Vue的options,但自己的options不会污染的Vue。
vue-loader会编译template为render函数,最终导出的依然是组件配置对象。
// 单文件组件
<template>
<div>this is a component </div>
</template>
源码分析2:组件化优点 lifecycle.js - mountComponent()
组件、Watcher、渲染函数和更新函数之间的关系
// 执行渲染和更新,虚拟dom转换为真实dom
export function mountComponent (
vm: Component,
el: ?Element,
hydrating?: boolean
): Component {
// ...
let updateComponent
if (process.env.NODE_ENV !== 'production' && config.performance && mark) {
// ...
} else {
updateComponent = () => {
// vm._render():虚拟dom
vm._update(vm._render(), hydrating)
}
}
// we set this to vm._watcher inside the watcher's constructor
// since the watcher's initial patch may call $forceUpdate (e.g. inside child
// component's mounted hook), which relies on vm._watcher being already defined
new Watcher(vm, updateComponent, noop, {
before () {
if (vm._isMounted && !vm._isDestroyed) {
callHook(vm, 'beforeUpdate')
}
}
}, true /* isRenderWatcher */)
// ...
}
上述代码可以看出,组件与Watcher是一一对应的,组件化可以缩小diff的范围,从而达到性能优化的目的。
源码分析3:组件化实现 构造函数,src\core\global-api\extend.js 实例化及挂载,src\core\vdom\patch.js - createElm()
组件构造函数的生命是自上而下的(跟到叶子),实例化是自下而上的(叶子到跟)
总结
- 组件是独立和可复用的代码组织单元。组件系统是 Vue 核心特性之一,它使开发者使用小型、独 立和通常可复用的组件构建大型应用;
- 组件化开发能大幅提高应用开发效率、测试性、复用性等;
- 组件使用按分类有:页面组件、业务组件、通用组件;
- vue的组件是基于配置的,我们通常编写的组件是组件配置而非组件,框架后续会生成其构造函 数,它们基于VueComponent,扩展于Vue; 5. vue中常见组件化技术有:属性prop,自定义事件,插槽等,它们主要用于组件通信、扩展等;
- 合理的划分组件,有助于提升应用性能;
- 组件应该是高内聚、低耦合的;
- 遵循单向数据流的原则。
6. 谈一谈对vue设计原则的理解?
在vue的官网上写着大大的定义和特点:
- 渐进式JavaScript框架
- 易用、灵活和高效
所以阐述此题的整体思路按照这个展开即可。
渐进式JavaScript框架:
与其它大型框架不同的是,Vue 被设计为可以自底向上逐层应用。Vue 的核心库只关注视图层,不仅易 于上手,还便于与第三方库或既有项目整合。另一方面,当与现代化的工具链以及各种支持类库结合使 用时,Vue 也完全能够为复杂的单页应用提供驱动。

易用性
vue提供数据响应式、声明式模板语法和基于配置的组件系统等核心特性。这些使我们只需要关注应用 的核心业务即可,只要会写js、html和css就能轻松编写vue应用。
灵活性
渐进式框架的最大优点就是灵活性,如果应用足够小,我们可能仅需要vue核心特性即可完成功能;随 着应用规模不断扩大,我们才可能逐渐引入路由、状态管理、vue-cli等库和工具,不管是应用体积还是 学习难度都是一个逐渐增加的平和曲线。
高效性
超快的虚拟 DOM 和 diff 算法使我们的应用拥有最佳的性能表现。 追求高效的过程还在继续,vue3中引入Proxy对数据响应式改进以及编译器中对于静态内容编译的改进 都会让vue更加高效。
7. 你了解哪些Vue性能优化方法
- 路由懒加载
const router = new VueRouter({ routes: [{
path: '/foo',
component: () => import('./Foo.vue')
}]})
- keep-alive缓存页面
<template>
<div id="app">
<keep-alive>
<router-view/>
</keep-alive>
</div>
</template>
- 使用v-show复用DOM
<template>
<div class="cell">
<!--这种情况用v-show复用DOM,比v-if效果好-->
<div v-show="value" class="on">
<Heavy :n="10000" />
</div>
<section v-show="!value" class="off">
<Heavy :n="10000" />
</section>
</div>
</template>
- v-for遍历避免同事使用v-if
<template>
<ul>
<liv-for="user in activeUsers" :key="user.id"> {{ user.name }} </li>
</ul>
</template>
<script>
export default {
computed: {
activeUsers: function () {
return this.users.filter(user => user.isActive)
}
}
}
</script>
-
长列表性能优化
- 如果列表是纯粹的数据展示,不会有任何改变,就不需要做响应化
export default { data: () => ({ users: [] }), async created() { const users = await axios.get("/api/users"); this.users = Object.freeze(users); } };- 如果是大数据长列表,可采用虚拟滚动,只渲染少部分区域的内容
<recycle-scroller class="items" :items="items" :item-size="24"> <template v-slot="{ item }"> <FetchItemView :item="item" @vote="voteItem(item)" /> </template> </recycle-scroller> -
事件的销毁
Vue 组件销毁时,会自动解绑它的全部指令及事件监听器,但是仅限于组件本身的事件。
-
图片懒加载
对于图片过多的页面,为了加速页面加载速度,所以很多时候我们需要将页面内未出现在可视区域 内的图片先不做加载, 等到滚动到可视区域后再去加载。
<img v-lazy="/static/img/1.png"> -
第三方插件按需引入
像element-ui这样的第三方组件库可以按需引入避免体积太大。
import Vue from 'vue'; import { Button, Select } from 'element-ui'; Vue.use(Button) Vue.use(Select) -
无状态的组件标记为函数式组件
<template functional>
<div class="cell">
<div v-if="props.value" class="on"></div>
<section v-else class="off"></section>
</div>
</template>
<script>
export default {
props: ['value']
}
</script>
- 子组件分割
<template>
<div>
<ChildComp />
</div>
</template>
<script>
export default {
components: {
ChildComp: {
methods: {
heavy() { /* 耗时任务 */ }
},
render(h) {
return h('div', this.heavy())
}
}
}
}
</script>
- 变量本地化
<template>
<div :style="{ opacity: start / 300 }"> {{ result }} </div>
</template>
<script>
import { heavy } from '@/utils'
export default {
props: ['start'],
computed: {
base() { return 42 },
result() {
const base = this.base // 不要频繁引用this.base
let result = this.start
for (let i = 0; i < 1000; i++) {
result += heavy(base)
}
return result
}
}
}
</script>
- SSR
- 加快首屏渲染速度
8. 你对Vue3.0的新特性有没有了解?
根据尤大的PPT总结,Vue3.0改进主要在以下几点:
- 更快
- 虚拟DOM重写
- 优化slots的生成
- 静态树提升
- 静态属性提升
- 基于Proxy的响应式系统
- 更小:通过摇树优化核心库体积
- 更容易维护:TypeScript + 模块化
- 更加友好
- 跨平台:编译器核心和运行时核心与平台无关,使得Vue更容易与任何平台(Web、Android、iOS)一起使用
- 更容易使用
- 改进的TypeScript支持,编辑器能提供强有力的类型检查和错误及警告
- 更好的调试支持
- 独立的响应化模块
- Composition API
虚拟 DOM 重写
期待更多的编译时提示来减少运行时开销,使用更有效的代码来创建虚拟节点。 组件快速路径+单个调用+子节点类型检测
- 跳过不必要的条件分支
- JS引擎更容易优化

优化slots生成
vue3中可以单独重新渲染父级和子级
- 确保实例正确的跟踪依赖关系
- 避免不必要的父子组件重新渲染

静态树提升(Static Tree Hoisting)
使用静态树提升,意味着Vue3的编译器将能够检测到什么事静态的,然后将其提升,从而降低了渲染成本
- 跳过修补整棵树,从而降低渲染成本
- 即使多次出现也能正常工作

静态属性提升
使用静态属性提升,Vue 3打补丁时将跳过这些属性不会改变的节点。

基于 Proxy 的数据响应式
Vue 2的响应式系统使用 Object.defineProperty 的getter 和 setter。Vue 3 将使用 ES2015 Proxy 作为 其观察机制,这将会带来如下变化:
- 组件实例初始化的速度提高100%
- 使用Proxy节省以前一半的内存开销,加快速度,但是存在低浏览器版本的不兼容
- 为了继续支持 IE11,Vue 3 将发布一个支持旧观察者机制和新 Proxy 版本的构建

高可维护性
Vue 3 将带来更可维护的源代码。它不仅会使用 TypeScript,而且许多包被解耦,更加模块化。
