1、什么是HashMap呢?
基于哈希表的 Map 接口的实现。此实现提供所有可选的映射操作,并允许使用 null 值和 null 键。(除了非同步和允许使用 null 之外,HashMap 类与 Hashtable 大致相同。)此类不保证映射的顺序,特别是它不保证该顺序恒久不变。 此实现假定哈希函数将元素适当地分布在各桶之间,可为基本操作(get 和 put)提供稳定的性能。迭代 collection 视图所需的时间与 HashMap 实例的“容量”(桶的数量)及其大小(键-值映射关系数)成比例。所以,如果迭代性能很重要,则不要将初始容量设置得太高(或将加载因子设置得太低)。
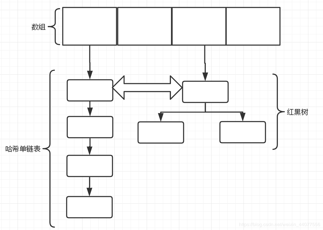
干脆说吧,HashMap就是一个数组+单链表+红黑树的组合,在其组合中可以实现数据存储、更新、删除与访问。
2、搞懂HashMap的数据结构。
我为何要说HashMap是个数组+链表+红黑树的组合?那是因为高效,至于为何这样设计,这样设计高效在哪?我慢慢讲解。

那么假设现在我们向HashMap添加数据 S ,一定是要知道以下几件事的。
- 要知道存在数组那个位置,即怎么存?所以出现了hash生成位置(也是为了均匀的存入数组中,减少空间浪费)。
- 位置知道了,那么数组空间够吗?就需要进行判断,不够(不够是多少,看下节)则扩容。
- 现在数组空间够了,那么数据 S 存入数组,当然此过程可能会出现hashcode冲突,即该数组中对应位置已经存有值。
- 此时建立对应数组某位置的单链表,将 S 链接在单链表末尾。
- S填到对应位置就完了吗?当然不是,当单链表长度大于某值时,将会转换为红黑树,其实简单的说是为了查找方便,另外当红黑树顶点树小于某值,又会恢复为单链表,至此整个添加过程才会结束。
好了,添加知道了,那么删除、更新会不同吗?答案是相同的,只要了解了Hashmap的运作机制,其实过程是大同小异的。
3 Hashmap的扩容机制。
跟着权威 -> 源码,一步步讲解扩容是怎么扩的。
static final int DEFAULT_INITIAL_CAPACITY = 1 << 4; // 默认Hashmap数组起始容量16
static final int MAXIMUM_CAPACITY = 1 << 30;//最大容量
static final float DEFAULT_LOAD_FACTOR = 0.75f;//扩容临界点比例,即达到数组的0.75容量则扩容
static final int TREEIFY_THRESHOLD = 8;//树化阙值,即最小可树化值
static final int UNTREEIFY_THRESHOLD = 6;//链表化阙值,即最大可链表化值
static final int MIN_TREEIFY_CAPACITY = 64;//Hashmap数组容量大于64并且达到树化阙值,允许树化,否则扩容
Node(int hash, K key, V value, Node<K,V> next) {//数组节点
this.hash = hash;
this.key = key;
this.value = value;
this.next = next;
}
static final class TreeNode<K,V> extends LinkedHashMap.Entry<K,V> {//链表结点
TreeNode<K,V> parent; // red-black tree links
TreeNode<K,V> left;
TreeNode<K,V> right;
TreeNode<K,V> prev; // needed to unlink next upon deletion
boolean red;
TreeNode(int hash, K key, V val, Node<K,V> next) {
super(hash, key, val, next);
}
| 名称 | 作用 |
|---|---|
| DEFAULT_INITIAL_CAPACITY | 默认Hashmap数组起始容量 |
| MAXIMUM_CAPACITY | Hashmap数组最大容量 |
| DEFAULT_LOAD_FACTOR | 达到数组的0.75容量则扩容 |
| TREEIFY_THRESHOLD | 树化阙值,即最小可树化值 |
| UNTREEIFY_THRESHOLD | 链表化阙值,即最大可链表化值 |
| MIN_TREEIFY_CAPACITY | Hashmap数组容量大于64并且达到树化阙值,允许树化,否则扩容 |
hashmap做节点相关操作时都会毋庸置疑的调取resize方法,因为resize是对目前数组长度及链表转换进行重置的必要源码,在resize中首先检查一下目前的数组长度oldCap,如果大于MAXIMUM_CAPACITY 最大值,那不添加,如果小于最大值,将oldcap扩大2倍(左移一位)在比对MAXIMUM_CAPACITY ,可以则保存......,必要代码以附属至下方。
final Node<K,V>[] resize() {
Node<K,V>[] oldTab = table;
int oldCap = (oldTab == null) ? 0 : oldTab.length;
int oldThr = threshold;
int newCap, newThr = 0;
if (oldCap > 0) {
if (oldCap >= MAXIMUM_CAPACITY) {
threshold = Integer.MAX_VALUE;
return oldTab;
}
else if ((newCap = oldCap << 1) < MAXIMUM_CAPACITY &&
oldCap >= DEFAULT_INITIAL_CAPACITY)
newThr = oldThr << 1; // double threshold
}
else if (oldThr > 0) // initial capacity was placed in threshold
newCap = oldThr;
else { // zero initial threshold signifies using defaults
newCap = DEFAULT_INITIAL_CAPACITY;
newThr = (int)(DEFAULT_LOAD_FACTOR * DEFAULT_INITIAL_CAPACITY);
}
if (newThr == 0) {
float ft = (float)newCap * loadFactor;
newThr = (newCap < MAXIMUM_CAPACITY && ft < (float)MAXIMUM_CAPACITY ?
(int)ft : Integer.MAX_VALUE);
}
threshold = newThr;
@SuppressWarnings({"rawtypes","unchecked"})
Node<K,V>[] newTab = (Node<K,V>[])new Node[newCap];
table = newTab;
if (oldTab != null) {
for (int j = 0; j < oldCap; ++j) {
Node<K,V> e;
if ((e = oldTab[j]) != null) {
oldTab[j] = null;
if (e.next == null)
newTab[e.hash & (newCap - 1)] = e;
else if (e instanceof TreeNode)
((TreeNode<K,V>)e).split(this, newTab, j, oldCap);
else { // preserve order
Node<K,V> loHead = null, loTail = null;
Node<K,V> hiHead = null, hiTail = null;
Node<K,V> next;
do {
next = e.next;
if ((e.hash & oldCap) == 0) {
if (loTail == null)
loHead = e;
else
loTail.next = e;
loTail = e;
}
else {
if (hiTail == null)
hiHead = e;
else
hiTail.next = e;
hiTail = e;
}
} while ((e = next) != null);
if (loTail != null) {
loTail.next = null;
newTab[j] = loHead;
}
if (hiTail != null) {
hiTail.next = null;
newTab[j + oldCap] = hiHead;
}
}
}
}
}
return newTab;
}
4、HashMap既高深又简单的算法?
| 方法 | 作用 |
|---|---|
| void clear() | 从此映射中移除所有映射关系。 |
| Object clone() | 返回此 HashMap 实例的浅表副本:并不复制键和值本身。 |
| boolean containsKey(Object key) | 如果此映射包含对于指定键的映射关系,则返回 true。 |
| boolean containsValue(Object value) | 如果此映射将一个或多个键映射到指定值,则返回 true。 |
| Set<Map.Entry<K,V>> entrySet() | 返回此映射所包含的映射关系的 Set 视图。 |
| V get(Object key) | 返回指定键所映射的值;如果对于该键来说,此映射不包含任何映射关系,则返回 null。 |
| boolean isEmpty() | 如果此映射不包含键-值映射关系,则返回 true。 |
| Set keySet() | 返回此映射中所包含的键的 Set 视图。 |
| V put(K key, V value) | 在此映射中关联指定值与指定键。 |
| void putAll(Map<? extends K,? extends V> m) | 将指定映射的所有映射关系复制到此映射中,这些映射关系将替换此映射目前针对指定映射中所有键的所有映射关系。 |
| V remove(Object key) | 从此映射中移除指定键的映射关系(如果存在)。 |
| int size() | 返回此映射中的键-值映射关系数。 |
| Collection values() | 返回此映射所包含的值的 Collection 视图。 |
常用方法使用
import java.util.HashMap;
public class hashmap {
public static void main(String[] args) {
@SuppressWarnings("unused")
HashMap<Integer, String> hashmap = new HashMap<Integer ,String>();
hashmap.put(01, "张三");
hashmap.put(02, "李四");
hashmap.put(03, "王二");
hashmap.put(04, "赵六");
System.out.println("长度:"+hashmap.size());
System.out.println(hashmap.get(02));
hashmap.remove(02);
System.out.println(hashmap.get(02));
}
}
put定位
//舒适化hashmap
@SuppressWarnings("unused")
HashMap<Integer, String> hashmap = new HashMap<Integer ,String>();
hashmap.put(01, "张三");
//源码自上而下定位
public V put(K key, V value) {
return putVal(hash(key), key, value, false, true);
}
static final int hash(Object key) {
int h;
return (key == null) ? 0 : (h = key.hashCode()) ^ (h >>> 16);
}
final V putVal(int hash, K key, V value, boolean onlyIfAbsent,
boolean evict) {
Node<K,V>[] tab; Node<K,V> p; int n, i;
if ((tab = table) == null || (n = tab.length) == 0)
n = (tab = resize()).length;
if ((p = tab[i = (n - 1) & hash]) == null)
tab[i] = newNode(hash, key, value, null);
else {
Node<K,V> e; K k;
if (p.hash == hash &&
((k = p.key) == key || (key != null && key.equals(k))))
e = p;
else if (p instanceof TreeNode)
e = ((TreeNode<K,V>)p).putTreeVal(this, tab, hash, key, value);
else {
for (int binCount = 0; ; ++binCount) {
if ((e = p.next) == null) {
p.next = newNode(hash, key, value, null);
if (binCount >= TREEIFY_THRESHOLD - 1) // -1 for 1st
treeifyBin(tab, hash);
break;
}
if (e.hash == hash &&
((k = e.key) == key || (key != null && key.equals(k))))
break;
p = e;
}
}
if (e != null) { // existing mapping for key
V oldValue = e.value;
if (!onlyIfAbsent || oldValue == null)
e.value = value;
afterNodeAccess(e);
return oldValue;
}
}
++modCount;
if (++size > threshold)
resize();
afterNodeInsertion(evict);
return null;
}
get定位
public V get(Object key) {
Node<K,V> e;
return (e = getNode(hash(key), key)) == null ? null : e.value;
}
final Node<K,V> getNode(int hash, Object key) {
Node<K,V>[] tab; Node<K,V> first, e; int n; K k;
if ((tab = table) != null && (n = tab.length) > 0 &&
(first = tab[(n - 1) & hash]) != null) {
if (first.hash == hash && // always check first node
((k = first.key) == key || (key != null && key.equals(k))))
return first;
if ((e = first.next) != null) {
if (first instanceof TreeNode)
return ((TreeNode<K,V>)first).getTreeNode(hash, key);
do {
if (e.hash == hash &&
((k = e.key) == key || (key != null && key.equals(k))))
return e;
} while ((e = e.next) != null);
}
}
return null;
}
remove定位
public V remove(Object key) {
Node<K,V> e;
return (e = removeNode(hash(key), key, null, false, true)) == null ?
null : e.value;
}
final Node<K,V> removeNode(int hash, Object key, Object value,
boolean matchValue, boolean movable) {
Node<K,V>[] tab; Node<K,V> p; int n, index;
if ((tab = table) != null && (n = tab.length) > 0 &&
(p = tab[index = (n - 1) & hash]) != null) {
Node<K,V> node = null, e; K k; V v;
if (p.hash == hash &&
((k = p.key) == key || (key != null && key.equals(k))))
node = p;
else if ((e = p.next) != null) {
if (p instanceof TreeNode)
node = ((TreeNode<K,V>)p).getTreeNode(hash, key);
else {
do {
if (e.hash == hash &&
((k = e.key) == key ||
(key != null && key.equals(k)))) {
node = e;
break;
}
p = e;
} while ((e = e.next) != null);
}
}
if (node != null && (!matchValue || (v = node.value) == value ||
(value != null && value.equals(v)))) {
if (node instanceof TreeNode)
((TreeNode<K,V>)node).removeTreeNode(this, tab, movable);
else if (node == p)
tab[index] = node.next;
else
p.next = node.next;
++modCount;
--size;
afterNodeRemoval(node);
return node;
}
}
return null;
}