CSS——过渡、变形、动画

5,044 阅读14分钟

前言

CSS中有几个特别相近的几个属性。他们是transition,transform,animation。可能还有人对translate是什么也不清楚,那我们先给个简单的介绍。

属性 含义
transition 过渡 用于设置元素的样式过度,和animation有着类似的效果,但细节上有很大的不同
transform 变形 用于元素进行旋转、缩放、移动或倾斜,和设置样式的动画并没有什么关系,就相当于color一样用来设置元素的“外表”
animation 动画 css动画属性
translate 移动 只是transform的一个属性值,即移动。

transition 过渡

字面意思上来讲,就是元素从这个属性(color)的某个值(red)过渡到这个属性(color)的另外一个值(green),这是一个状态的转变,需要一种条件来触发这种转变,比如我们平时用到的:hoever、:focus、:checked、媒体查询或者JavaScript。

一条transition规则,是可以定义多个属性的变化的,中间用逗号隔开,如果是全部属性变化则用“all”即可。

语法:transition: property duration timing-function delay;

描述
transition-property 规定设置过渡效果的 CSS 属性的名称
transition-duration 规定完成过渡效果需要多少秒或毫秒
transition-timing-function 规定速度效果的速度曲线
transition-delay 定义过渡效果何时开始

我发现简写时候的顺序并不一定就是写死的,经过测试在chrome上只要delay在duration后面即可。当然按照标准写是最好的。

Demo

<!DOCTYPE html>
<html lang="en">
<head>
  <title>transition</title>
  <style>
    #box {
      height: 100px;
      width: 100px;
      background: green;
      transition: transform 1s ease-in 1s;
    }

    #box:hover {
      transform: rotate(180deg) scale(.5, .5);
    }
  </style>
</head>
<body>
  <div id="box"></div>
</body>
</html>

效果

我们来分析这一整个过程,首先transition给元素设置的过渡属性是transform,当鼠标移入元素时,元素的transform发生变化,那么这个时候就触发了transition,产生了动画,当鼠标移出时,transform又发生变化,这个时候还是会触发transition,产生动画,所以transition产生动画的条件是transition设置的property发生变化,这种动画的特点是需要“一个驱动力去触发”,有着以下几个不足:

  1. 需要事件触发,所以没法在网页加载时自动发生
  2. 是一次性的,不能重复发生,除非一再触发
  3. 只能定义开始状态和结束状态,不能定义中间状态,也就是说只有两个状态

animation 动画

弥补了transition的很多不足,可操作性更强,能够做出复杂酷炫的效果

语法:animation: name duration timing-function delay iteration-count direction play-state fill-mode;

描述
@keyframes 规定动画
animation 所有动画属性的简写属性,除了 animation-play-state 属性
animation-name 用来调用@keyframes定义好的动画,与@keyframes定义的动画名称一致
animation-duration 规定动画完成一个周期所花费的秒。默认是 0
animation-timing-function 规定动画的速度曲线。默认是 "ease"
animation-delay 规定动画何时开始。默认是 0
animation-iteration-count 规定动画被播放的次数。默认是 1
animation-direction normal(按时间轴顺序),reverse(时间轴反方向运行),alternate(轮流,即来回往复进行),alternate-reverse(动画先反运行再正方向运行,并持续交替运行)
animation-play-state 控制元素动画的播放状态,通过此来控制动画的暂停和继续,两个值:running(继续),paused(暂停)
animation-fill-mode 控制动画结束后,元素的样式,有四个值:none(回到动画没开始时的状态),forwards(动画结束后动画停留在结束状态),backwords(动画回到第一帧的状态),both(根据animation-direction轮流应用forwards和backwards规则),注意与iteration-count不要冲突(动画执行无限次)

比如我们一个 div 旋转一圈,只需要定义开始和结束两帧即可:

@keyframes rotate{
  from{
    transform: rotate(0deg);
  }
  to{
    transform: rotate(360deg);
  }
}

等价于

@keyframes rotate{
  0%{
    transform: rotate(0deg);
  }
  100%{
    transform: rotate(360deg);
  }
}

定义好了关键帧后,下来就可以直接用它了:

animation: rotate 2s;

Tips: transitionanimationtiming-function可以用贝塞尔曲线(cubic-bezier)来自定义,工具网站

transform 变形

transform 属性向元素应用 2D 或 3D 转换。该属性允许我们对元素进行旋转、缩放、移动或倾斜。

语法:transform: none|transform-functions;

transform 可以设置多个变换,执行顺序是从左到右执行,中间不用逗号隔开。例如:

transform: translateX(100px) rotate(90deg);

这部分内容分为三个小结:前置属性、2D变换、3D变换

前置属性讲解

描述
transform-origin 用于指定元素变形的中心点
transform-style 指定舞台为2D或3D
perspective 指定3D的视距
perspective-origin 视距的基点
backface-visibility 是否可以看见3D舞台背面

transform-origin

用于指定元素变形的中心点。默认中心点就是元素的正中心,即XYZ轴的50% 50% 0处。可以通过该属性改变元素在XYZ轴的中心点,正值表示正向位移,负值表示负向位移。(XYZ轴的正向分别是往右,往下,靠近用户眼睛。反之为反向)

表示2维的x-offset/y-offset可以设px值也可以设%百分比,也可设top / right / bottom / left / centerkeyword。表示3维的z-offset只能设px值,不能设%百分比,也没有keyword

默认中心点在元素正中心,因此关键字top等价于top center等价于50% 0%(x轴仍旧留在50%处,y轴位移到0%处)。同理各关键字例如right等价于right center等价于100% 50%,不多赘述。

一图胜千言:为图片设置不同的中心点后,看它们旋转,扭曲,缩放的效果。例如图1表头的第一行center表示transform-origin: center。第二行rotate(30deg);表示transform: rotate(30deg);

transform-style

这个属性比较简单只有两个值flatpreserve-3d。用于指定舞台为2D或3D,默认值flat表示2D舞台,所有子元素2D层面展现。preserve-3d看名字就知道了表示3D舞台,所有子元素在3D层面展现。注意,在变形元素自身上指定该属性是没有用的,它用于指定舞台,所以要在变形元素的父元素上设置该属性。设定后,所有子元素共享该舞台。一图胜千言:

.div1 {
    float: left;
    background-color: red;
    transform: perspective(200px) rotateY(45deg);
}
.div1 img{
    transform: translateZ(16px);
}
.p3d {
    transform-style: preserve-3d;
}
<div class="div1"><img src="head75.png" /></div>
<div class="div1 p3d"><img src="head75.png" /></div>

perspective

指定3D的视距。默认值是none表示无3D效果,即2D扁平化。上面例子代码里其实已经用到过该属性了。介绍它之前,先借用rotateX / rotateY / rotateZ来明确一下xyz轴坐标的基本概念。一图胜千言,依次是rotateX轴旋转,rotateY轴旋转,rotateZ轴旋转:

.x {
    transform: perspective(200px) rotateX(60deg);
}
.y {
    transform: perspective(200px) rotateY(60deg);
}
.z {
    transform: perspective(200px) rotateZ(60deg);
}
<img class="x" src="head75.png" />
<img class="y" src="head75.png" />
<img class="z" src="head75.png" />

实现3D的关键就是要有perspective视距,如果将上述代码中perspective(200px)去掉,效果如下:

除了z轴旋转不受影响外,xy轴虽然还在旋转,但失去了3D效果,是2D扁平化的旋转。原因就是因为不设perspective的话,其默认值为none,没有视距没有3D。

perspective只能设px值,不能设%百分比。值越小表示用户眼睛距离屏幕越近,相当于创建一个较大的3D舞台。反之,值越大表示用户眼睛距离屏幕越远,相当于创建一个较小的3D舞台。这很容易理解,离的越近东西看起来越大,离的越远东西看起来越小。但具体该怎么设呢?借用W3C的图配合translateZ来帮助理解视距。

上图中Drawing Surface就是最终会被渲染的大小

图中d就是perspective视距,Z就是translateZ轴的位移。Z轴正向位移时,3D舞台将放大。反之,Z轴负向位移时,3D舞台将缩小。上图Z是d的一半,因此3D舞台上的元素将是原来的2倍。下图Z同样是d的一半,但由于是负值,所以3D舞台上的元素将缩小三分之一。实际试试:

.divsp {
    display: inline-block;
    border: 1px blue dashed;
    margin-left: 30px;
    perspective: 100px;
}
.z1 {
    transform: translateZ(-75px);
}
.z2 {
    transform: translateZ(0px);
}
.z3 {
    transform: translateZ(25px);
}
.z4 {
    transform: translateZ(101px);
}
<div class="divsp"><img class="z1" src="head75.png" /></div>
<div class="divsp"><img class="z2" src="head75.png" /></div>
<div class="divsp"><img class="z3" src="head75.png" /></div>
<div class="divsp"><img class="z4" src="head75.png" /></div>

4张图的视距都是100px,表示4张图的3D舞台距离你的眼睛100px。我们从右往左来理解。图4的translateZ(101px)看到图片消失了,因为3D舞台距离你眼睛100px,而图片从舞台往Z轴正向位移101px,图片到了你脑袋后面自然什么都看不见。如果设成translateZ(100px),相当于图片紧贴着你的眼睛,所以全屏都是图片。图3的translateZ(25px),原始图片为75px,放大后的图片为100px。这是道初中数学题,你可以画一个底边是75px(图片原始尺寸),高是75px(视距100px-Z轴位移25px=75px)的等腰三角形,然后高扩展到100px,底边将等比例扩大3分之1至100px。图2的translateZ(0px)表示Z轴没有位移,因此仍旧是原始大小。图4的translateZ(-75px),同样是道初中数学题,原始图片为75px,缩小到42.85px,再看看上面W3C的图理解一下,很容易算出来。

仔细看代码的可以看出来,上面介绍XYZ轴旋转时是直接在变形元素img上指定的transform: perspective(200px) rotateX(60deg);。而上面的代码是给变形元素img的父div指定perspective: 100px;。你可以理解为前一种方式是perspective()函数,后一种方式是perspective属性。两种指定方式是有区别的:

前者perspective()函数指定只针对当前变形元素,需要和transform其他函数一起使用,仅表示当前变形元素的视距。 后者perspective属性指定用于3D舞台,即3D舞台的视距,里面的子元素共享这个视距

perspective-origin

设置视距的基点,看W3C的图就能明白

基点默认值是50% 50%即center,表示视距基点在中心点不进行任何位移。你可以让基点在XY轴上进行位移,产生上图那样的效果。注意该属性同样应该定义在父元素上,适用于整个3D舞台。它需要和perspective属性结合着一起用。效果如下图:

.td1 { 
    transform-style: preserve-3d;
    perspective: 200px;
    perspective-origin: center;
}

backface-visibility

用于是否可以看见3D舞台背面,默认值visible表示背面可见,可以设成hidden让背面不可见。通常当旋转时,如果不希望背面显示出来,该属性就很有用,设成hidden即可。一图胜千言:

.stage{
    float: left;
    margin: 5px;
    perspective: 200px;
}
.container {
    transform-style: preserve-3d;
}
.image {
    backface-visibility: hidden;
}
.front {
    position: absolute;
    z-index: 1;
}
.back {
    transform: rotateY(180deg);
}
.stage:nth-child(1) .container{ transform: rotateY(0deg); }
.stage:nth-child(2) .container{ transform: rotateY(30deg); }
.stage:nth-child(3) .container{ transform: rotateY(60deg); }
.stage:nth-child(4) .container{ transform: rotateY(90deg); }
.stage:nth-child(5) .container{ transform: rotateY(120deg); }
.stage:nth-child(6) .container{ transform: rotateY(150deg); }
.stage:nth-child(7) .container{ transform: rotateY(180deg); }

<div class="stage"> //为节约篇幅该DOM请无脑复制7个
    <div class="container">
        <img class="image front" src="head75.png" />
        <img class="image back" src="bg75.png" />
    </div>
</div>

至此5个前置属性介绍完毕。它们多用于3D场合,因此常见的3D的HTML结构如下:

<舞台>        //为舞台加上perspective
    <容器>     //为容器加上preserve-3d,使容器内元素共享同一个3D渲染环境
        <元素> //为元素加上transform效果
    </容器>
</舞台>

2D变形

描述
translate 设置元素在 X轴或者 Y轴上的平移变换
scale 设置元素在 X轴或者 Y轴上的缩放
rotate 二维空间中,rotate即围绕屏幕法向量旋转,等同于 rotateZ
skew 设置 X轴和 Y轴的倾斜角度
matrix 定义 2D 转换,使用六个值的矩阵

rotate/translate/screw 等都可以直接通过设置 Matrix 来达到同样的效果

translate位移

translate位移系列中用于2D的有:translatetranslateXtranslateY
设单值表示只X轴位移,Y轴坐标不变

示例

transform: translate(100px);等价于transform: translate(100px,0)
transform: translateY(100px);等价于transform: translate(0, 100px);

上面说了效果类似于position:relative属性,但和position语义不同,position用于页面布局,而translate属于transform中的一个系列,用于元素变形。你可能觉得语义不同有什么卵用,效果OK不就行了?就看你用什么标准来衡量效果了。CSS的神奇之处在于你可以将一个属性用在完全违背它原意的场景下,抛开代码可读性不谈,违背原意有时还是会有细微差别的。如结合动画效果时,translate能小于1px过渡,因此动画效果更为平滑。但position最小单位就是1px,动画效果肯定打折扣。另外用translate实现动画时,可以使用GPU,动画的FPS更高,而position显然无法享受这个优势。其他如回流和重绘也都有差异。因此如果你在该用translate的地方用了position,今后一些需求变动达不到要求,你也没什么立场可抱怨的了。

scale缩放

scale缩放系列中用于2D的有:scale,scaleX,scaleY

w3cschool上没说的是,scale还能设负数,负数会先将元素反转再缩放,如transform: scale(-.5, -1.5);,效果见上面右图。为何反转能理解吧?XY轴像素矩阵各值取反后,效果等价于反转。当然你同样可以用rotate实现反转。

rotate旋转

rotate旋转系列中用于2D的有:rotate

rotate旋转,比较简单,只能设单值。正数表示顺时针旋转,负数表示逆时针旋转。如transform: rotate(30deg);

skew扭曲

skew扭曲系列中用于2D的有:skew,skewX,skewY

skew扭曲可以设单值和双值。单值时表示只X轴扭曲,Y轴不变,如transform: skew(30deg);等价于transform: skew(30deg, 0);。考虑到可读性,不推荐用单值,应该用transform: skewX(30deg);

matrix矩阵

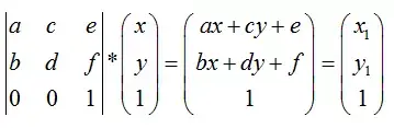
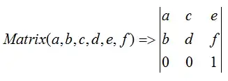
  • 3x3 的变换矩阵
  • 对二维向量进行转换
    其中 x1、y1 为经过 Matrix 转换后的向量。由公式可知,Matrix 中 e, f 主要用于设置元素在 X轴和 Y轴上的平移。a, d 主要用于设置元素在 X轴和 Y轴上的缩放。a,b,c,d 用于设置元素在 XY 平面上的旋转。rotate/translate/screw 等都可以直接通过设置 Matrix 来达到同样的效果

3D变形

描述
translate3d 3D位移
scale3d 3D缩放
rotate3d 3D旋转
matrix3d 3D矩阵变换

translate3d位移

translate3d位移系列中用于3D的有:translate3dtranslateZ

translate3d(tx,ty,tz),其中tz的Z轴长度只能为px值,不能为%百分比

scale3d缩放

scale3d缩放系列中用于3D的有:scale3dscaleZ

scale3d(sx,sy,sz),其中sz为Z轴的缩放比例,取值同sx,sy一样,在0.01~0.99时元素缩小,1时大小不变,大于1时元素变大。scaleZ等价于scale(1,1,sz)。需要注意的是单独使用scale3dscaleZ不会有任何效果,需要配合其他属性在3D舞台上才能出现效果,否则Z轴的缩放比例根本无法定义。

rotate3d旋转

rotate3d旋转系列中用于3D的有:rotate3drotateXrotateYrotateZ

rotate3d(x,y,z,a)这里多了一个参数a(读音是阿尔法…)表示3D舞台上旋转的角度,而xyz的取值为0~1为各轴的旋转矢量值。

matrix3d矩阵

最后matrix3d矩阵是所有3D变形的本质,上面所有3D变形效果都可以用matrix3d矩阵来实现。


本文整合自:
CSS动画:animation、transition、transform、translate傻傻分不清
CSS3 transform介绍
CSS3 transform 属性详解