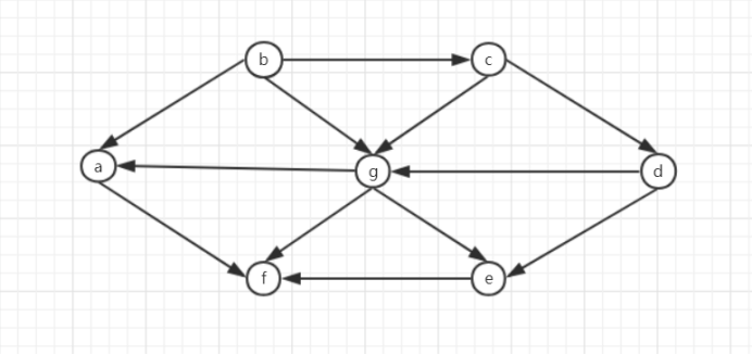
图的定义,图是指边(弧)和点的集合:

点对是有序的就叫做有向图:

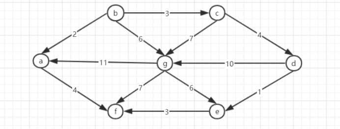
有时边(弧)有相应的权或值:

路径是一个顶点序列w1,w2,w3,w4,w5,...,wn,使得(wi,wi+1)∈E,1 ≤i <n,例如w1到w4的一条路径,这条路径有三段边(弧),称这条路径的长度为3,如果路径上所有顶点都是互异的,但第一个和最后一个顶点有可能相同,那么这条路径成为简单路径:

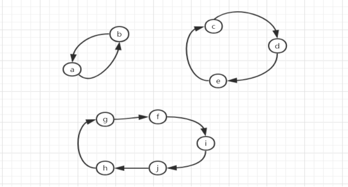
一个顶点从自身出发经过一条路径后回到自身,这条路径称之为环:

有向图中的圈,是指满足w1 = wn,且至少为1的一条路径,如果该路径是简单路径,我们称之为简单圈。如果一个图没有圈,则称之为无圈图,有向无圈图也成为DAG。

无向图中任意顶点都可以通过某一条路径到达拎一个顶点,则称该无向图为连通的,具有该特征的有向图则称之为强连通的:

如果有向图不是强连通的,但是去掉方向后的图是连通的,则称之为弱连通图:

完全图是指其每一对顶点间都存在一条边(弧)的图:

现实生活中机场之间的通达关系、交通路线等都可以用图来描述。
本文由博客群发一文多发等运营工具平台 OpenWrite 发布