PyTorch自动求导:Autograd包案例详解

2,236 阅读3分钟

PyTorch中,所有神经网络的核心是 autograd 包。autograd 包为张量上的所有操作提供了自动求导机制。它是一个在运行时定义(define-by-run)的框架,这意味着反向传播是根据代码如何运行来决定的,并且每次迭代可以是不同的。

张量

file

张量:n维向量

torch.Tensor 是这个包的核心类。如果设置它的属性 .requires_grad 为 True,那么它将会追踪对于该张量的所有操作。当完成计算后可以通过调用 .backward(),来自动计算所有的梯度。这个张量的所有梯度将会自动累加到.grad属性。

x = torch.ones(2, 2, requires_grad=True #创建一个张量并设置
requires_grad=True用来追踪其计算历史
print(x)

file

要阻止一个张量被跟踪历史,可以调用 .detach() 方法将其与计算历史分离,并阻止它未来的计算记录被跟踪。

file

为了防止跟踪历史记录(和使用内存),可以将代码块包装在 with torch.no_grad(): 中。在评估模型时特别有用,因为模型可能具有 requires_grad = True 的可训练的参数,但是我们不需要在此过程中对他们进行梯度计算。

还有一个类对于autograd的实现非常重要:Function。

Tensor 和 Function 互相连接生成了一个无圈图(acyclic graph),它编码了完整的计算历史。每个张量都有一个 .grad_fn 属性,该属性引用了创建 Tensor 自身的Function(除非这个张量是用户手动创建的,即这个张量的 grad_fn 是 None )。

file

如果需要计算导数,可以在 Tensor 上调用 .backward()。如果 Tensor 是一个标量(即它包含一个元素的数据),则不需要为 backward() 指定任何参数,但是如果它有更多的元素,则需要指定一个 gradient 参数,该参数是形状匹配的张量。

y = x + 2  # 对这个张量做一次运算

file

y是计算的结果,所以它有grad_fn属性。

file

z = y * y * 3  # 对y进行更多操作
out = z.mean()#
print(z, out)

file

.requires_grad_(...)原地改变了现有张量的 requires_grad 标志。如果没有指定的话,默认输入的这个标志是 False。

a = torch.randn(2, 2)
a = ((a * 3) / (a - 1))
print(a.requires_grad)
a.requires_grad_(True)
print(a.requires_grad)
b = (a * a).sum()
print(b.grad_fn)

file

梯度

file

梯度:方向导数,函数在该点处沿着该方向(此梯度的方向)变化最快,变化率最大(为该梯度的模)。

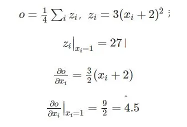
现在开始进行反向传播,因为 out 是一个标量,因此 out.backward() 和out.backward(torch.tensor(1.)) 等价。

out.backward()

输出导数 d(out)/dx

print(x.grad)

file

我们的得到的是一个数取值全部为4.5的矩阵。

计算步骤:

file

数学上,若有向量值函数 y =f(x ),那么 y 相对于 x 的梯度是一个雅可比矩阵:

file

通常来说,torch.autograd 是计算雅可比向量积的一个“引擎”。根据链式法则,雅可比向量积:

file

雅可比向量积的这一特性使得将外部梯度输入到具有非标量输出的模型中变得非常方便。

现在我们来看一个雅可比向量积的例子:

x = torch.randn(3, requires_grad=True)
y = x * 2
while y.data.norm() < 1000:
    y = y * 2

print(y)

file

在这种情况下,y 不再是标量。torch.autograd 不能直接计算完整的雅可比矩阵,但是如果我们只想要雅可比向量积,只需将这个向量作为参数传给 backward:

v = torch.tensor([0.1, 1.0, 0.0001], dtype=torch.float)
y.backward(v)

print(x.grad)

file

也可以通过将代码块包装在 with torch.no_grad(): 中,来阻止autograd跟踪设置了 .requires_grad=True 的张量的历史记录。

print(x.requires_grad)
print((x ** 2).requires_grad)

with torch.no_grad():
    print((x ** 2).requires_grad)

file

文源网络,仅供学习之用,侵删。

在学习Python的道路上肯定会遇见困难,别慌,我这里有一套学习资料,包含40+本电子书,800+个教学视频,涉及Python基础、爬虫、框架、数据分析、机器学习等,不怕你学不会! shimo.im/docs/JWCghr… 《Python学习资料》

关注公众号【Python圈子】,优质文章每日送达。

file