分类/聚类结果评判指标: TP, TN, FP, FN,purity(纯度),F-scroe(F分数) python实现

842 阅读2分钟

Purity:

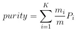
聚类划分的purity为

在这里插入图片描述
,其中K是聚类(cluster)的数目,m是整个聚类划分所涉及到的成员个数。

下表是对洛杉矶时报的3204篇文章进行k-means聚类的结果,k=6,label数=6。

在这里插入图片描述

python实现:

def purity(cluster, labels, k, label_set):
    p = np.zeros((k, len(label_set)))
    purity = 0
    for i in range(len(cluster)):
        p[int(cluster[i]), label_set.index(labels[i])] += 1

    purity = sum(np.max(p, axis=1))/len(labels)

    return purity

TP, TN, FP, FN

在二分类中: TP(true positive):分类正确,把原本属于正类的样本分成正类。 TN(true negative):分类正确,把原本属于负类的样本分成负类。 FP(false positive):分类错误,把原本属于负类的错分成了正类。 FN(false negative):分类错误,把原本属于正类的错分成了负类。 后一个字母(N or P )是模型预测的结果,第一个字母(T or N ) 代表的是这个结果的正确与否

在这里插入图片描述

Accuracy准确率

准确率也就是正确比例 二分类: Accuracy = (TN + TP) / (TP + TN + FP + FN)

在这里插入图片描述
多分类: Overall Accuracy:被正确分类的示例在数据集中的比例

ps:不适用于数据集不平衡的时候 例如:分类问题的数据集中本来就有97% 示例是属于X,只有另外3%不属于X,所有示例都被分类成X的时候,准确率很高为97%,但是不代表分类的效果好

Recall 召回率

又称:Sensitivity(灵敏度), TP Rate , True Positive Rate , Probability。 Recall=TP / (TP + FN) 真正属于X的示例中,成功预测为属于X(TP)的比例。

F-score

指标F-score能够综合考虑Precision和Recall的调和值

在这里插入图片描述

(多类)python实现:

def f_score(cluster, labels, label_set):
    TP, TN, FP, FN = 0, 0, 0, 0
    n = len(labels)
    # a lookup table
    for i in range(n):
        if i not in cluster:
            continue
        for j in range(i + 1, n):
            if j not in cluster:
                continue
            same_label = (labels[i] == labels[j])
            same_cluster = (cluster[i] == cluster[j])
            if same_cluster:
                if same_label:
                    TP += 1
                else:
                    FP += 1
            elif same_label:
                FN += 1
            else:
                TN += 1
    precision = TP / (TP + FP)
    recall = TP / (TP + FN)
    fscore = 2 * precision * recall / (precision + recall)
    return fscore, precision, recall, TP + FP + FN + TN

代码及数据下载:download.csdn.net/download/SA…