scikit-learn 中常用的评估模型

413 阅读9分钟

一,scikit-learn中常用的评估模型

1.评估分类模型:


2.评估回归模型:


二、常见模型评估解析:

1).回归模型评估:

•1.均方误差(Mean Squared Error,MSE)

MSE = \frac{1}{n}\sum_{i=1}^{n}(\hat{y_{i}}-y_{i})^{2}

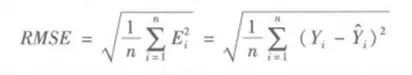
•2.均方根误差(Root Mean Squared Error,RMSE)

RMSE是一个衡量回归模型误差率的常用公式。然而,它仅能比较误差是相同单位的模型

•由于对误差E 进行平方,加强了数值大的误差在指标中的作用,从而提高了指标的灵敏性。


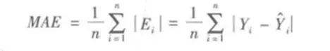
•3.平均绝对误差(Mean Absolute Error,MAE)

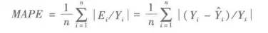
•4.平均绝对百分误差(MeanAbsolute Percentage Error)

•一般认为MAPE小于10时,预测精度高。


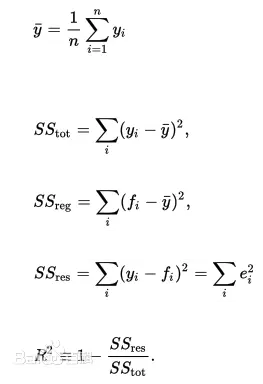
5.R^{2} 决定系数:对模型进行线性回归后,评价回归模型系数拟合优度。

决定系数是相关系数的平方。 相关系数是用来描述两个变量之间的线性关系的,但决定系数的适用范围更广,可以用于描述非线性或者有两个及两个以上自变量的相关关系。

表征因变量Y的变异中有多少百分比,可由控制的自变量X来解释.

表达式:R^2=\frac{SSR}{SST}=1-\frac{SSE}{SST}

其中:SST=SSR+SSE

SSE=SS_(res)=\sum _{i=1}^{n}(y_i-f_i)^2

SST=SS_(tot)=\sum _{i=1}^{n}(y_i-\overline{y})^2


回归平方和:SSR(Sum of Squares for regression) = ESS (explained sum of squares)

残差平方和:SSE(Sum of Squares for Error) = RSS (residual sum of squares)
总离差平方和:SST(Sum of Squares for total) = TSS(total sum of squares)
   SSE+SSR=SST RSS+ESS=TSS

意义:拟合优度越大,自变量对因变量的解释程度越高,自变量引起的变动占总变动的百分比高。观察点在回归直线附近越密集。

取值范围: 0-1

判定系数

相关系数

就模型而言

就两个变量而言

说明解释变量对因变量的解释程度

度量两个变量线性依存程度。

度量不对称的因果关系

度量不含因果关系的对称相关关系

取值:[0,1]

取值:[-1,1]

参考:百度百科

•2)分类模型评估:

对于二分类问题,可将样例根据其真实类别和分类器预测类别划分为:(T,F表示预测的正确与错误性,P,N表示预测的正类和负类)

•真正例(TruePositive,TP):真实类别为正例,预测类别为正例。

•假正例(FalsePositive,FP):真实类别为负例,预测类别为正例。

•假负例(FalseNegative,FN):真实类别为正例,预测类别为负例。

•真负例(TrueNegative,TN):真实类别为负例,预测类别为负例。

•构建混淆矩阵(ConfusionMatrix):

•识别精确度(accuracy)

•Accuracy=(TP+FN)/(TP+TN+FP+FN)×100%


•准确率(precision):

•召回率(recall):

•F1值:精确度和召回率的调和平均值


•precision 和 recall 都是越高越好。精确度和召回率都高时,F1 值也会高. F1 值在1时达到最佳值(完美的精确度和召回率),最差为0.在二元分类中,F1 是测试准确度的量度。


classification_report 的主要参数:

主要参数: 
y_true:1维数组,或标签指示器数组/稀疏矩阵,目标值。 
y_pred:1维数组,或标签指示器数组/稀疏矩阵,分类器返回的估计值。 
labels:array,shape = [n_labels],报表中包含的标签索引的可选列表。 
target_names:字符串列表,与标签匹配的可选显示名称(相同顺序)。 
sample_weight:类似于shape = [n_samples]的数组,可选项,样本权重。 
digits:int,输出浮点值的位数.


from sklearn.metrics import classification_report
y_true = [0,1,2,2,1,0]
y_pred = [0,2,0,2,1,0]

target_names= ['class0','class1','class2']
reports = classification_report(y_true, y_pred, target_names=target_names)  #生成分类的指标的文本报告
print(reports)
#输出结果
#              precision    recall  f1-score   support
# 
#      class0       0.67      1.00      0.80         2    #support为真实label出现的次数
#      class1       1.00      0.50      0.67         2
#      class2       0.50      0.50      0.50         2
# 
# avg / total       0.72      0.67      0.66         6

计算方法:

真实值预测值
00
12
20
22
11
00

先计算label 0:即reports的class0

计算precision准确率时,只看分类标签是 0 的预测值,如图有 3 个,再看其预测成功的个数 ,有2个,所以准确率为 0.67
计算recall召回率时:只看分类标签是0 的真实值,如图有2 个,再看其预测成功的个数, 有2 个,所以召回率为 1

结合p 和 r 计算 F1值


同理:计算label 1 和label 2


ROC-AUC曲线

•AUC值为ROC曲线所覆盖的区域面积,显然,AUC越大,分类器分类效果越好。

•AUC的物理意义

•假设分类器的输出是样本属于正类的score(置信度),则AUC的物理意义为,任取一对(正、负)样本,正样本的score大于负样本的score的概率。


1.ROC曲线:接受者操作特征(receiveroperating characteristic)曲线代表每个点反映着对同一个信号刺激的感受性。ROC曲线和AUC常被用来评价一个二值分类器(binaryclassifier)的优劣。

•横轴FPR越大,代表预测正类中实际负类越多

FPR= \frac{TN}{FP+TN}

•纵轴TPR(召回率 Recall)越大,代表预测正类中实际正类也越多

TPR= \frac{TP}{TP+FN}

TPFN
FPTN

•因此,曲线越靠近(0,1)点,越往对角线45度左上角偏,分类效果越好。


如何绘制ROC 曲线


当我们将threshold设置为1和0时,分别可以得到ROC曲线上的(0,0)和(1,1)两个点。将这些(FPR,TPR)对连接起来,就得到了ROC曲线。当threshold取值越多,ROC曲线越平滑。

其实,我们并不一定要得到每个测试样本是正样本的概率值,只要得到这个分类器对该测试样本的“评分值”即可(评分值并不一定在(0,1)区间)。评分越高,表示分类器越肯定地认为这个测试样本是正样本,而且同时使用各个评分值作为threshold。将评分值转化为概率更易于理解一些。

2.AUC(Areaunder roc curve)在ROC曲线下的面积,度量分类模型的好坏。


•由于ROC曲线一般都处于y=x这条直线的上方,所以AUC的取值范围在0.5和1之间。使用AUC值作为评价标准是因为很多时候ROC曲线并不能清晰的说明哪个分类器的效果更好,而作为一个数值,对应AUC更大的分类器效果更好。

•首先AUC值是一个概率值,当你随机挑选一个正样本以及一个负样本,当前的分类算法根据计算得到的Score值将这个正样本排在负样本前面的概率就是AUC值。当然,AUC值越大,当前的分类算法越有可能将正样本排在负样本前面,即能够更好的分类。

•判定AUC 曲线的优劣:

•.90-1= very good (A)

•.80-.90= good (B)

•.70-.80= not so good (C)

•.60-.70= poor (D)

•.50-.60= fail (F)


•3.精度-召回率曲线PRC(precisionrecall curve):与ROC曲线不同的是:PRC曲线是往右上角靠拢效果较好。

•适用场景:

1. 地震的预测
对于地震的预测,我们希望的是RECALL非常高,也就是说每次地震我们都希望预测出来。这个时候我们可以牺牲PRECISION。情愿发出1000次警报,把10次地震都预测正确了;也不要预测100次对了8次漏了两次。
2. 嫌疑人定罪
基于不错怪一个好人的原则,对于嫌疑人的定罪我们希望是非常准确的。及时有时候放过了一些罪犯(recall低),但也是值得的。


•4.如何避免过拟合:

•过拟合表现为在训练数据上的误差非常小,而在测试数据集上的误差反而增大。其中原因一般是模型过于复杂,过分去拟合数据的噪声和离群点,导致模型的泛化能力差,鲁棒性差。

•常见的解决办法:增大数据集,对模型进行正则化。


•5.交叉验证:

交叉验证是在机器学习建立模型和验证模型参数时常用的办法。交叉验证,顾名思义,就是重复的使用数据,把得到的样本数据进行切分,组合为不同的训练集和测试集,用训练集来训练模型,用测试集来评估模型预测的好坏。

•K-Folds交叉验证:K层交叉验证是将原始数据随机分为K 个部分,在K 个部分中,选择1 个作为测试集,K-1 个作为训练集。将实验重复K 次,每次实验都从K 个部分选择1 个不同的作为测试集,最后对得到的K 个实验结果取平均。

#coding=gbk
'''
Created on 2018年7月10日

@author: Administrator
'''

#交叉验证

#1.留出法:直接将原始的数据集变换成2类互斥的两类,一部分为训练集,另一部分为验证集、
#在sklearn中使用  train_test_split函数
from sklearn.model_selection import train_test_split
import numpy as np
from sklearn import svm     #支持向量机
from sklearn import datasets

iris = datasets.load_iris()     #加载鸢尾花数据集
print(iris.data.shape, iris.target.shape)   #(150, 4) (150,)

x_train, x_test, y_train, y_test = train_test_split(iris.data, iris.target, 
                                                    test_size = 0.2, random_state=666)  
#test_size 表示测试集所占的比例

print(x_train.shape, x_test.shape)       #(120, 4) (30, 4)
print(y_train.shape, y_test.shape)      #(120,) (30,)

svm_clf = svm.SVC(kernel='linear', C= 1).fit(x_train, y_train)
print(svm_clf.score(x_test, y_test))    #    1.0 百分之百的预测成功率

#2.交叉验证方法
from sklearn.model_selection import KFold
import numpy as np
x = np.array([[1,2],[3,4],[5,6],[7,8]])
y = np.array([1,2,3,4])

kf = KFold(n_splits=2,random_state=666)     #n_splits 是指将数据输出多少份
for train_index, test_index in kf.split(x):
    print('train_index:', train_index, 'test_index:',test_index)
# train_index: [2 3] test_index: [0 1]
# train_index: [0 1] test_index: [2 3]

#当n_splits = 3 时,输出如下:
# train_index: [2 3] test_index: [0 1]
# train_index: [0 1 3] test_index: [2]
# train_index: [0 1 2] test_index: [3]

    x_train, y_train = x[train_index],y[train_index]
    x_test , y_test = x[test_index], y[test_index]
print(x_train,' ',y_train)
print(x_test,' ',y_test)

#2.2 RepeatedKFold p次k折交叉验证,RepeatedKFold方法可以控制交叉验证的次数。n_repeats
from sklearn.model_selection import RepeatedKFold
x1 = np.array([[1,2],[3,4],[5,6],[7,8]])
y1 = np.array([1,2,3,4])

rk = RepeatedKFold(n_splits=2, n_repeats=2, random_state=666)
for train_index, test_index in rk.split(x1):
    print('train_index:',train_index,'test_index:', test_index)
# train_index: [0 2] test_index: [1 3]
# train_index: [1 3] test_index: [0 2]
# train_index: [2 3] test_index: [0 1]
# train_index: [0 1] test_index: [2 3]

#3 留一法  LeaveOneOut 
print('-----LeaveOneOut------')
from sklearn.model_selection import LeaveOneOut

x2 = np.array([1,2,3,4,5])

loo = LeaveOneOut()
for train_index, test_index in loo.split(x2):
    print('train_index:',train_index, 'test_index:', test_index)
# train_index: [1 2 3 4] test_index: [0]
# train_index: [0 2 3 4] test_index: [1]
# train_index: [0 1 3 4] test_index: [2]
# train_index: [0 1 2 4] test_index: [3]
# train_index: [0 1 2 3] test_index: [4]    

#3.2 LeavePOut 留p法
#基本原理和留一法是一样的
from sklearn.model_selection import LeavePOut

lpo = LeavePOut(p=2)
for train_index, test_index in lpo.split(x2):
    print('train_index:',train_index, 'test_index:',test_index)
# train_index: [2 3 4] test_index: [0 1]
# train_index: [1 3 4] test_index: [0 2]
# train_index: [1 2 4] test_index: [0 3]        有10中取法
# train_index: [1 2 3] test_index: [0 4]
# train_index: [0 3 4] test_index: [1 2]
# train_index: [0 2 4] test_index: [1 3]
# train_index: [0 2 3] test_index: [1 4]
# train_index: [0 1 4] test_index: [2 3]
# train_index: [0 1 3] test_index: [2 4]
# train_index: [0 1 2] test_index: [3 4]    

#4.shuffleSplit 随机分配, 可以随机把数据打乱,然后分为训练集和测试集
print('------shufflesplit------')

from sklearn.model_selection import ShuffleSplit
ss = ShuffleSplit(n_splits=4, random_state = 666, test_size=0.4)
for train_index, test_index in ss.split(x2):
    print('train_index:',train_index,'test_index:',test_index)
# train_index: [1 2 4] test_index: [3 0]
# train_index: [0 2 1] test_index: [3 4]
# train_index: [0 2 3] test_index: [4 1]
# train_index: [1 2 4] test_index: [0 3]




参考:柚子皮blog