决策树算法

797 阅读14分钟

1.什么是决策树:


决策树是以树状结构表示数据分类的结果


非叶子结点代表测试的条件。

分支代表测试的结果

2.如何构建决策树:


´1.信息熵(informationentropy):是度量样本集合纯度最常用的一种指标。


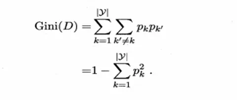
2.基尼系数(gini):是度量样本集合不确定性指标。(基尼指数与熵可近似看做是统一概念,都是越大,确定性越差)

基尼指数和信息熵的图像:(当熵和基尼指数为0.5时,即确定某件事的概率为50%,是最不能肯定的事件。如:小明后天再路上捡钱的概率为50%,很不确定。如果概率为30%,代表很可能捡不到钱;如果概率为60%,则代表更可能捡到钱。)

一个小栗子:


1.系统信息熵:(是,否为好瓜的两个属性)


2.每个特征的信息熵:(以色泽为例)(先计算出3 个属性的信息熵,依次为:青绿,乌黑,浅白)

然后,结合3 个属性,计算出特征为色泽的信息熵。


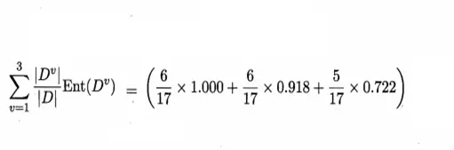
3.信息增益:

信息增益大,代表着熵小,所以确定性较高。

得出决策结果


但是,当我们使用ID编号作为一个特征量的时候


´得到信息熵:


´信息增益为:


所以需要使用编号作为根节点吗?显然不可能。

(所以说:ID3决策树倾向于选择属性较多的特征,当这个特征不一定是最优的属性特征。同时,ID3决策树只能处理离散的属性,对于连续的属性,需要在 分类前对其进行离散化。)

C4.5算法:

ID3算法不能处理连续特征, C4.5的思路是将连续的特征离散化。比如 m 个样本的连续特征 A 有m个,从小到大排列为a1,a2,...,am则 C4.5取相邻两样本值的平均数,一共取得 m-1个 划分点,其中第 i 个划分点 Ti 表示为:T_i = \frac{a_i+a_{i+1}}{2}。对于这m-1 个点,分别计算以该点作为二元分类点时的信息增益 。选择信息增益最大的点作为该连续特征的二元离散分类点。比如取到的增益最大的点为 a_{t},则小于 a_{t} 的值为类别1,大于a_{t} 的值为类别2,这样我们就做到了连续特征的离散化。要注意的是,与离散属性不同的是,如果当前节点为连续属性,则该属性后面还可以参与子节点的产生选择过程。

因此,引入增益率:

求得IV(编号):

´=1/(17)*17*log2(1/(17))=4.08

´如果一个特征的取值越多,其IV(a)分母也越大。

对于缺失值的解决办法:

没有缺失值的数据单纯只是计算一次系统熵不同,有缺失值的需要依据不同的缺失值的权重,计算不同的特征的熵

1. 将有缺失值的属性分别分配到所有的分支上,计算缺失值的权重

2. 依据新的缺失值的权重计算该特征的熵,计算各属性的熵

3. 计算没有缺失值与总的属性数的比重,乘以没有缺失值的信息增益

scikit-learn中使用的算法就是CART 算法,既能进行模型分类,也可以进行模型的回归。

决策树常见算法

ID3算法

C4.5算法

CART算法

结点选择准则

信息增益

信息增益率

基尼系数

使用基尼系数作为特征划分规则时:


上述使用jini指数作为特征分类标准时,以特定的一个属性作为一部分,另外的全部属性作为另外一部分,来计算jini指数。

《统计学习》中CART树的gini指数计算:

计算的表格数据,是一个分类问题:

计算最佳的特征值和属性值


CART 回归树:

原文链接:https://cethik.vip/2016/09/21/machineCAST/

一、概念

CART全称叫Classification and Regression Tree。首先要强调的是CART假设决策树是二叉树,内部结点特征的取值只有“是”和“否”,左分支是取值为“是”的分支,有分支则相反。这样的决策树等价于递归地二分每个特征。

二、CART生成

决策树的生成就是递归地构建二叉决策树的过程,对回归树用平方误差最小化准则,对分类树用基尼指数最小化准则,进行特征选择,生成二叉树。

三、回归树的生成最小二叉回归树生成算法:

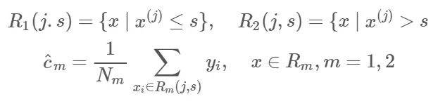
1、选择最优切分变量j与切分点s,求解:

遍历变量j,对固定的切分变量j扫描切分点s,选择使上式取得最小值的对(j,s)。其中Rm是被划分的输入空间,Cm空间Rm对应的输出值。

2、用选定的对(j,s)划分区域并决定相应的输出值:

3、继续对两个子区域调用步骤1,直至满足停止条件。

4、将输入空间划分为M个区域R1,R2,...Rm生成决策树:

对于决策树建立后做预测的方式,CART分类树采用叶子节点里概率最大的类别作为当前节点的预测类别。而回归树输出不是类别,它采用的是用最终叶子的均值或者中位数来预测输出结果。

 CART回归树和CART分类树的建立算法和预测没有什么很大区别。

四、示例

上面的东西有点难以理解,下面举个例子来说明。

训练数据见下表,x的取值范围为区间[0.5,10.5],y的取值范围为区间[5.0,10.0],学习这个回归问题的最小二叉回归树。


12345678910

5.565.705.916.406.807.058.908.709.009.05


求解训练数据的切分点s:



容易求得在R1、R2内部使得平方损失误差达到最小值的c1、c2为:


这里N1、N2是R1、R2的样本点数。

求训练数据的切分点,根据所给数据,考虑如下切分点:

1.5,2.5,3.5,4.5,5.5,6.5,7.5,8.5,9.5。

对各切分点,不难求出相应的R1、R2、c1、c2及



例如,当s=1.5时,R1={1},R2={2,3,...,10},c1=5.56,c2=7.50,则

现将s及m(s)的计算结果列表如下:



s1.52.53.54.55.56.57.58.59.5
m(s)15.7212.078.365.783.911.938.0111.7315.74


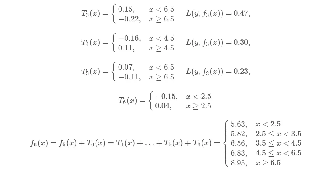
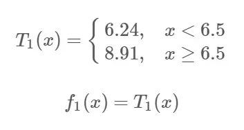
由上表可知,当x=6.5的时候达到最小值,此时R1={1,2,...,6},R2={7,8,9,10},c1=6.24,c2=8.9,所以回归树T1(x)为:

用f1(x)拟合训练数据的残差见下表,表中r2i=yi-f1(xi),i=1,2,...,10


12345678910

-0.68-0.54-0.330.160.560.81-0.01-0.210.090.14


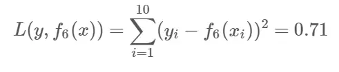
第2步求T2(x)方法与求T1(x)一样,只是拟合的数据是上表的残差,可以得到:


继续求得




可以用拟合训练数据的平方损失误差等来作为结束条件。此时

假设此时已经满足误差要求,那么f(x)=f6(x)即为所求的回归树。

CART分类树:

算法输入是训练集D,基尼系数的阈值,样本个数阈值。

    输出是决策树T。

    我们的算法从根节点开始,用训练集递归的建立CART树。

    1) 对于当前节点的数据集为D,如果样本个数小于阈值或者没有特征,则返回决策子树,当前节点停止递归。

    2) 计算样本集D的基尼系数,如果基尼系数小于阈值,则返回决策树子树,当前节点停止递归。

    3) 计算当前节点现有的各个特征的各个特征值对数据集D的基尼系数,对于离散值和连续值的处理方法和基尼系数的计算、缺失值的计算方法不同。

    4) 在计算出来的各个特征的各个特征值对数据集D的基尼系数中,选择基尼系数最小的特征A和对应的特征值a。根据这个最优特征和最优特征值,把数据集划分成两部分D1和D2,同时建立当前节点的左右节点,做节点的数据集D为D1,右节点的数据集D为D2.

    5) 对左右的子节点递归的调用1-4步,生成决策树。

   

    对于生成的决策树做预测的时候,假如测试集里的样本A落到了某个叶子节点,而节点里有多个训练样本。则对于A的类别预测采用的是这个叶子节点里概率最大的类别。


三种决策树算法的比较:

算法支持模型树结构特征选择连续值处理缺失值处理 剪枝
ID3分类多叉树信息增益不支持 不支持 不支持
C4.5分类多叉树信息增益率支持 支持 支持
CART分类,回归二叉树基尼系数,均方差支持 支持 支持

决策树算法的优缺点:

1.决策树算法的优点:

    1)简单直观,生成的决策树很直观。

    2)基本不需要预处理,不需要提前归一化,处理缺失值。

    3)使用决策树预测的代价是O(log2m)。 m为样本数。

    4)既可以处理离散值也可以处理连续值。很多算法只是专注于离散值或者连续值。

    5)可以处理多维度输出的分类问题。

    6)相比于神经网络之类的黑盒分类模型,决策树在逻辑上可以得到很好的解释

    7)可以交叉验证的剪枝来选择模型,从而提高泛化能力。

    8) 对于异常点的容错能力好,健壮性高。

2.决策树算法的缺点:

    1)决策树算法非常容易过拟合,导致泛化能力不强。可以通过设置节点最少样本数量和限制决策树深度来改进。

    2)决策树会因为样本发生一点点的改动,就会导致树结构的剧烈改变。这个可以通过集成学习之类的方法解决。

    3)寻找最优的决策树是一个NP难的问题,我们一般是通过启发式方法,容易陷入局部最优。可以通过集成学习之类的方法来改善。

    4)有些比较复杂的关系,决策树很难学习,比如异或。这个就没有办法了,一般这种关系可以换神经网络分类方法来解决。

    5)如果某些特征的样本比例过大,生成决策树容易偏向于这些特征。这个可以通过调节样本权重来改善。

此处 三种决策树的比较 和 决策树的优缺点 均来自于 刘建平的blog

对于不能解决异或问题的理解:

4组数据:

(0,1)输出1

(1,0)输出1

(0,0)输出1

(1,1)输出1

由于决策树的划分都是横纵的,可以画图知道,决策树不能解决异或问题。


实例:

#coding=gbk
#使用ID3决策树预测销量的高低,基于信息熵
import pandas as pd
filename = r'D:\datasets\sales_data.xls'
data = pd.read_excel(filename, index_col= u'序号')        #将序号作为索引
data[data == u'好'] = 1      #使用1 表示‘好’,是,高,3个属性
data[data == u'是'] = 1
data[data == u'高'] = 1
data[data != 1] = -1
print(data.head())
# 序号   天气 是否周末 是否有促销 销量               
# 1   -1    1     1  1
# 2   -1    1     1  1
# 3   -1    1     1  1
# 4   -1   -1     1  1
# 5   -1    1     1  1 
x = data.iloc[:,:3].as_matrix().astype(int)  #将前3列作为输入
y = data.iloc[:,3].as_matrix().astype(int)#最后列作为标签

#建立决策树
from sklearn.tree import DecisionTreeClassifier as DTC
dtc = DTC(criterion='entropy')  #建立决策树,基于信息熵
dtc.fit(x,y)

from sklearn.tree import export_graphviz
from sklearn.externals.six import StringIO
x = pd.DataFrame(x)
with open(r'D:\datasets\tree.dot','w') as f:
    f = export_graphviz(dtc, feature_names=x.columns, out_file=f)

安装Graphviz,显示决策树图像,可参考一篇博客

进入windows命令行界面,cd 切换到tree.dot所在的路径,执行

dot -Tpng tree.dot -o tree.png

可获取图像:


print('------test-------')
from itertools import product 
import numpy as np 
import matplotlib.pyplot as plt 
from sklearn.datasets import load_iris
from sklearn.tree import DecisionTreeClassifier
iris = load_iris()
X = iris.data[:, [0,2]]
y = iris.target
 
clf = DecisionTreeClassifier(max_depth=4)
clf.fit(X, y)
 
x_min, x_max = X[:, 0].min()-1, X[:, 0].max()+1
y_min, y_max = X[:, 1].min() - 1, X[:, 1].max() + 1
print(x_min, x_max)
xx, yy = np.meshgrid(np.arange(x_min, x_max, 0.1), np.arange(y_min, y_max, 0.1))
print(xx.shape)
print(xx)
print(yy)
print(yy.shape)
 
z = clf.predict(np.c_[xx.ravel(), yy.ravel()])
z = z.reshape(xx.shape)
     
plt.contourf(xx, yy, z, alpha=0.4)
plt.scatter(X[:, 0], X[:, 1], c=y, alpha=0.8)
plt.show()

#对iris 数据进行可视化:

from IPython.display import Image 
from sklearn import tree 
import pydotplus
from sklearn.datasets import load_iris
iris = load_iris()
X = iris.data 
y = iris.target
clf = tree.DecisionTreeClassifier()
clf.fit(X, y)
dot_data = tree.export_graphviz(clf, out_file=None, feature_names=iris.feature_names,
                                class_names = iris.target_names, filled=True,
                                rounded=True, special_characters=True
                                )
graph = pydotplus.graph_from_dot_data(dot_data)
Image(graph.create_png())


使用下列程序,将其输出到指定文件。

graph.write_pdf('D:\\datasets\iris.pdf')

决策树的参数:

sklearn.tree.DecisionTreeClassifier
        (criterion='gini', splitter='best', max_depth=None, min_samples_split=2, 
        min_samples_leaf=1,min_weight_fraction_leaf=0.0, max_features=None, 
        random_state=None, max_leaf_nodes=None, min_impurity_decrease=0.0, 
        min_impurity_split=None, class_weight=None, presort=False)

criterion:特征选择的标准,有信息增益和基尼系数两种,使用信息增益的是ID3和C4.5算法(使用信息增益比),使用基尼系数的CART算法,默认是gini系数。

splitter:特征切分点选择标准,决策树是递归地选择最优切分点,spliter是用来指明在哪个集合上来递归,有“best”和“random”两种参数可以选择,best表示在所有特征上递归,适用于数据集较小的时候,random表示随机选择一部分特征进行递归,适用于数据集较大的时候。

max_depth:决策树最大深度,决策树模型先对所有数据集进行切分,再在子数据集上继续循环这个切分过程,max_depth可以理解成用来限制这个循环次数。

min_samples_split:子数据集再切分需要的最小样本量,默认是2,如果子数据样本量小于2时,则不再进行下一步切分。如果数据量较小,使用默认值就可,如果数据量较大,为降低计算量,应该把这个值增大,即限制子数据集的切分次数。

min_samples_leaf:叶节点(子数据集)最小样本数,如果子数据集中的样本数小于这个值,那么该叶节点和其兄弟节点都会被剪枝(去掉),该值默认为1。

min_weight_fraction_leaf:在叶节点处的所有输入样本权重总和的最小加权分数,如果不输入则表示所有的叶节点的权重是一致的。

max_features:特征切分时考虑的最大特征数量,默认是对所有特征进行切分,也可以传入int类型的值,表示具体的特征个数;也可以是浮点数,则表示特征个数的百分比;还可以是sqrt,表示总特征数的平方根;也可以是log2,表示总特征数的log个特征。

random_state:随机种子的设置,与LR中参数一致。

max_leaf_nodes:最大叶节点个数,即数据集切分成子数据集的最大个数。

min_impurity_decrease:切分点不纯度最小减少程度,如果某个结点的不纯度减少小于这个值,那么该切分点就会被移除。

min_impurity_split:切分点最小不纯度,用来限制数据集的继续切分(决策树的生成),如果某个节点的不纯度(可以理解为分类错误率)小于这个阈值,那么该点的数据将不再进行切分。

class_weight:权重设置,主要是用于处理不平衡样本,与LR模型中的参数一致,可以自定义类别权重,也可以直接使用balanced参数值进行不平衡样本处理。

presort:是否进行预排序,默认是False,所谓预排序就是提前对特征进行排序,我们知道,决策树分割数据集的依据是,优先按照信息增益/基尼系数大的特征来进行分割的,涉及的大小就需要比较,如果不进行预排序,则会在每次分割的时候需要重新把所有特征进行计算比较一次,如果进行了预排序以后,则每次分割的时候,只需要拿排名靠前的特征就可以了。


函数方法:

decision_path(X):返回X的决策路径

fit(X, y):在数据集(X,y)上使用决策树模型

get_params([deep]):获取模型的参数

predict(X):预测数据值X的标签

predict_log_proba(X):返回每个类别的概率值的对数

predict_proba(X):返回每个类别的概率值(有几类就返回几列值)

score(X,y):返回给定测试集和对应标签的平均准确率