快慢指针问题
- 环形链表
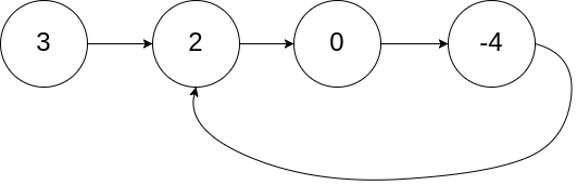
给定一个链表,判断链表中是否有环。
为了表示给定链表中的环,我们使用整数 pos 来表示链表尾连接到链表中的位置(索引从 0 开始)。 如果 pos 是 -1,则在该链表中没有环。
示例 1:
输入:head = [3,2,0,-4], pos = 1 输出:true 解释:链表中有一个环,其尾部连接到第二个节点。

解题思路:快慢指针 1、分别创建一个慢指针、一个快指针, 2、快指针每次走两个,慢指针每次走一个,循转链表,如果存在环,快指针 在某一次会等于慢指针,否则快指针会快速指向链表结尾指向null
public class ListNode {
int val;
ListNode next;
ListNode(int x) {
val = x;
}
}
public boolean hasCycle(ListNode head) {
if (head == null || head.next == null)return false;
ListNode slowNode = head;
ListNode fastNode = head.next;
while (fastNode != null && fastNode.next != null){
slowNode = slowNode.next;
fastNode = fastNode.next.next;
if (slowNode == fastNode){
return true;
}
}
return false;
}
类似利用快慢指针思路解决的类型题
- 链表的中间结点 leetcode-cn.com/problems/mi…
给定一个带有头结点 head 的非空单链表,返回链表的中间结点。 如果有两个中间结点,则返回第二个中间结点。
示例 1:
输入:[1,2,3,4,5] 输出:此列表中的结点 3 (序列化形式:[3,4,5]) 返回的结点值为 3 。 (测评系统对该结点序列化表述是 [3,4,5])。 注意,我们返回了一个 ListNode 类型的对象 ans,这样: ans.val = 3, ans.next.val = 4, ans.next.next.val = 5, 以及 ans.next.next.next = NULL.
示例 2:
输入:[1,2,3,4,5,6] 输出:此列表中的结点 4 (序列化形式:[4,5,6]) 由于该列表有两个中间结点,值分别为 3 和 4,我们返回第二个结点。
同样是利用快慢指针问题,快指针走的是慢指针的2倍,当快指针指向结尾是慢指针正好指向中间节点
难点是:if (fastNode == null || fastNode.next == null),因为链表可能是奇数或者偶数,需要对fastNode、以及fastNode.next 判断是否为空,
class Solution {
public ListNode middleNode(ListNode head) {
if (head.next == null) return head;
ListNode slowNode = head;
ListNode fastNode = head;
while (fastNode.next != null){
slowNode = slowNode.next;
fastNode = fastNode.next.next;
if (fastNode == null || fastNode.next == null){
return slowNode;
}
}
return null;
}
}