阿里面试题:ConcurrentHashMap为什么是线程安全的?
ConcurrentHashMap,其实是线程安全的HashMap,所以阅读ConcurrentHashMap,建议
先阅读一下两篇介绍HashMap的文章
jdk1.7 ConcurrentHashMap
-
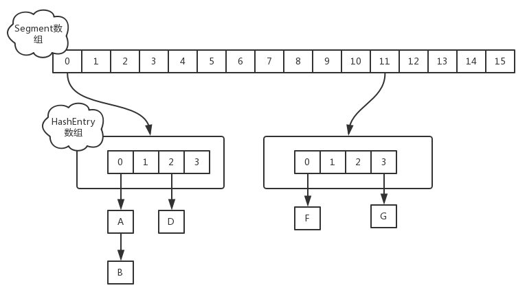
jdk1.7 ConcurrentHashMap数据结构
jdk1.7 ConcurrentHashMap是由一个Segment数组和多个HashEntry数组组成

其实就是将HashMap分为多个小HashMap,每个Segment元素维护一个小HashMap,目的是锁分离,本来实现同步,直接可以是对整个HashMap加锁,但是加锁粒度太大,影响并发性能,所以变换成此结构,仅仅对Segment元素加锁,降低锁粒度,提高并发性能。
-
初始化过程
由于变换成Segment数组+HashEntry数组,所以初始化时,需要依次对Segment数组和小
HashEntry数组初始化
-
Segment数组初始化
初始化时,使用右移一位,乘以2的计算方式,保证ssize是2的幂次方,小于指定参数
concurrencyLevel的最大2的幂次方。int sshift = 0; //记录Segment数组大小 int ssize = 1; while (ssize < concurrencyLevel) { ++sshift; ssize <<= 1; } -
HashEntry数组初始化
跟Segment数组初始化方式相同,就不赘述
int cap = 1; while(cap < c){ cap <<=1; }
-
-
put操作
对于插入操作,需要两次Hash映射去定位数据存储位置
首先通过第一次hash过程,定位Segment位置,然后通过第二次hash过程定位HashEntry位置
Segment继承ReentrantLock,在数据插入指定HashEntry过程的时候会尝试调用ReentrantLock的tryLock方法获取锁,如果获取成功就直接插入相应位置,如果有线程获取该Segment的锁,当前线程就会以自旋方式去继续调用tryLock方法去获取锁,超过指定次数就挂起,等待唤醒。
-
get操作
也是两次Hash映射,相对于put操作,少了加锁过程
-
size操作
size操作就是计算ConcurrentHashMap的大小,有两种方案
- 给每个Segment都加上锁(相当于给整个Map加上锁),然后计算size返回
- 不加锁的模式,尝试多次计算ConcurrentHashMap的size,最多三次,比较前后计算的结果,结果一致就认为当前没有元素加入,计算结果是准确的。(查看计算出size的前后modCount的数值有没有发生变化,modCount的值用于记录元素变化的操作。如put,remove,clear)
jdk1.8 ConcurrentHashMap
-
jdk1.8 ConcurrentHashMap结构
jdk1.8ConcurrentHashMap是数组+链表,或者数组+红黑树结构,并发控制使用Synchronized关键字和CAS操作。下面会从源码角度讲解jdk1.8 ConcurrentHashMap控制线程同步的原理

-
关键概念点
-
sizeCtl变量(volatile修饰)
通过CAS操作+volatile, 控制数组初始化和扩容操作
- -1 代表正在初始化
- -N 表示有N-1个线程正在进行扩容操作
- 正数0,表示未初始化
- 正数,代表下一次扩容的大小
-
ForwardingNode:
-
<key,value>键值对,封装为Node对象
-
table变量(volatile):也就是所说的数组,默认为null,默认大小为16的数组,每次扩容时大小总是2的幂次方
-
nextTable(volatile):扩容时新生成的数组,大小为table的两倍
-
-
put函数
put函数调用
putVal函数public V put(K key, V value) { return putVal(key, value, false); }putVal函数
putValue函数,首先调用
spread函数,计算hash值,之后进入一个自旋循环过程,直到插入或替换成功,才会返回。如果table未被初始化,则调用initTable进行初始化。之后判断hash映射的位置是否为null,如果为null,直接通过CAS自旋操作,插入元素成功,则直接返回,如果映射的位置值为MOVED(-1),则直接去协助扩容,排除以上条件后,尝试对链头Node节点f加锁,加锁成功后,链表通过尾插遍历,进行插入或替换。红黑树通过查询遍历,进行插入或替换。之后如果当前链表节点数量大于阈值,则调用treeifyBin函数,转换为红黑树最后通过调用addCount,执行CAS操作,更新数组大小,并且判断是否需要进行扩容final V putVal(K key, V value, boolean onlyIfAbsent) { if (key == null || value == null) throw new NullPointerException(); //spread函数计算hash值 int hash = spread(key.hashCode()); int binCount = 0; //自旋过程 for (Node<K,V>[] tab = table;;) { Node<K,V> f; int n, i, fh; if (tab == null || (n = tab.length) == 0) tab = initTable(); //判断映射位置节点是否为空 else if ((f = tabAt(tab, i = (n - 1) & hash)) == null) { if (casTabAt(tab, i, null, new Node<K,V>(hash, key, value, null))) break; } //如果映射位置节点value==MOVED,说明正在进行扩容操作 else if ((fh = f.hash) == MOVED) tab = helpTransfer(tab, f); else { V oldVal = null; synchronized (f) { if (tabAt(tab, i) == f) { if (fh >= 0) { binCount = 1; for (Node<K,V> e = f;; ++binCount) { K ek; if (e.hash == hash && ((ek = e.key) == key || (ek != null && key.equals(ek)))) { oldVal = e.val; if (!onlyIfAbsent) e.val = value; break; } Node<K,V> pred = e; if ((e = e.next) == null) { pred.next = new Node<K,V>(hash, key, value, null); break; } } } //红黑树结构 else if (f instanceof TreeBin) { Node<K,V> p; binCount = 2; if ((p = ((TreeBin<K,V>)f).putTreeVal(hash, key, value)) != null) { oldVal = p.val; if (!onlyIfAbsent) p.val = value; } } } } //链表节点数量超过阈值,转为红黑树 if (binCount != 0) { if (binCount >= TREEIFY_THRESHOLD) treeifyBin(tab, i); if (oldVal != null) return oldVal; break; } } } addCount(1L, binCount); return null; }spread函数
spread函数,计算hash值。key的hash值与其高16位相异或,然后与
HASH_BITS将最高位置0static final int spread(int h) { return (h ^ (h >>> 16)) & HASH_BITS; //HASH_BITS=0x7fffffff }tableAt函数: 获取最新的tab[i]
casTabAt函数:通过CAS操作,将值赋值进tab中对应位置
static final <K,V> Node<K,V> tabAt(Node<K,V>[] tab, int i) { return (Node<K,V>)U.getObjectVolatile(tab, ((long)i << ASHIFT) + ABASE); } static final <K,V> boolean casTabAt(Node<K,V>[] tab, int i, Node<K,V> c, Node<K,V> v) { return U.compareAndSwapObject(tab, ((long)i << ASHIFT) + ABASE, c, v); }addCount函数
尝试使用CAS操作,将BASECOUNT加1,操作失败,则说明有其他线程在进行加一操作,发生冲突。
之后判断是否需要扩容
private final void addCount(long x, int check) { CounterCell[] as; long b, s; //使用CAS操作,将BASECOUNT加1 if ((as = counterCells) != null || !U.compareAndSwapLong(this, BASECOUNT, b = baseCount, s = b + x)) { CounterCell a; long v; int m; //发生冲突 boolean uncontended = true; if (as == null || (m = as.length - 1) < 0 || (a = as[ThreadLocalRandom.getProbe() & m]) == null || !(uncontended = U.compareAndSwapLong(a, CELLVALUE, v = a.value, v + x))) { //多线程冲突执行 fullAddCount(x, uncontended); return; } if (check <= 1) return; s = sumCount(); } if (check >= 0) { Node<K,V>[] tab, nt; int n, sc; //判断是否需要扩容 while (s >= (long)(sc = sizeCtl) && (tab = table) != null && (n = tab.length) < MAXIMUM_CAPACITY) { int rs = resizeStamp(n); if (sc < 0) { if ((sc >>> RESIZE_STAMP_SHIFT) != rs || sc == rs + 1 || sc == rs + MAX_RESIZERS || (nt = nextTable) == null || transferIndex <= 0) break; if (U.compareAndSwapInt(this, SIZECTL, sc, sc + 1)) transfer(tab, nt); } //进行扩容操作 else if (U.compareAndSwapInt(this, SIZECTL, sc, (rs << RESIZE_STAMP_SHIFT) + 2)) transfer(tab, null); s = sumCount(); } } } -
initTable函数(下文将扩容和初始化,统称为扩容)
进入一个自旋过程,一旦有线程扩容成功,才break
如果sizeCtl < 0,说明已经有线程正在扩容,所以直接让出线程。
如果sizeCtl>=0,说明当前没有线程扩容,尝试CAS操作,设置sizeCtl为-1
设置sizeCtl为-1成功的线程,进行扩容操作,并且将sc更新为数组负载阈值0.75*n
private final Node<K,V>[] initTable() { Node<K,V>[] tab; int sc; //自旋过程 while ((tab = table) == null || tab.length == 0) { if ((sc = sizeCtl) < 0) Thread.yield(); else if (U.compareAndSwapInt(this, SIZECTL, sc, -1)) { try { if ((tab = table) == null || tab.length == 0) { int n = (sc > 0) ? sc : DEFAULT_CAPACITY; @SuppressWarnings("unchecked") Node<K,V>[] nt = (Node<K,V>[])new Node<?,?>[n]; table = tab = nt; //0.75*n sc = n - (n >>> 2); } } finally { sizeCtl = sc; } break; } } return tab; } -
统计ConCurrentHashMap中的元素个数
mappingCount函数
调用sumCount,获得元素数量
public long mappingCount() { long n = sumCount(); return (n < 0L) ? 0L : n; // ignore transient negative values }sumCount函数
baseCount+ counterCells各个元素值,就是元素数量
其实baseCount就是记录容器数量的,直接放回baseCount不就可以了吗?为什么sumCount()方法中还要遍历counterCells数组,累加对象的值呢?
其中:counterCells是个全局的变量,表示的是CounterCell类数组。CounterCell是ConcurrentHashmap的内部类,它就是存储一个值。
JDK1.8中使用一个volatile类型的变量baseCount记录元素的个数,当插入新数据put()或则删除数据remove()时,会通过addCount()方法更新baseCount
初始化时counterCells为空,在并发量很高时,如果存在两个线程同时执行CAS修改baseCount值,则失败的线程会继续执行方法体中的逻辑,执行fullAddCount(x, uncontended)方法,这个方法其实就是初始化counterCells,并将x的值插入到counterCell类中,而x值一般也就是1或-1,这可以从put()方法中得知。
这些对象是因为在CAS更新baseCount值时,由于高并发而导致失败,最终将值保存到CounterCell中,放到counterCells里。这也就是为什么sumCount()中需要遍历counterCells数组,sum累加CounterCell.value值了。
final long sumCount() { CounterCell[] as = counterCells; CounterCell a; long sum = baseCount; if (as != null) { for (int i = 0; i < as.length; ++i) { if ((a = as[i]) != null) sum += a.value; } } return sum; }CounterCell类
只存储一个值
static final class CounterCell{ volatile long value; CountCell(long x) {value = x;} }