想运用好 Spark,这些底层逻辑先要搞懂!

389 阅读6分钟
作者简介:范东来,泛山科技联合创始人。本文选自:拉勾教育专栏《即学即用的Spark实战 44 讲》

你好,我是范东来,今天我们来聊聊一个比较基础也比较重要的内容 MapReduce,说它基础,是因为它诞生的时间实在是太久远了,并不是什么新东西,说它重要则是因为基于它的提出衍生出很多重要的技术,比如我们关心的Spark

01 Google 的三驾马车

USNew 把计算机科学分为4 个领域:人工智能、编程语言、系统以及理论。其中的系统领域有两大顶级会议,一个是 ODSI(USENIX conference on Operating Systems Design and Implementation),另一个是 SOSP(ACM Symposium on Operating Systems Principles),这两个会议在业界的分量非常重,如果把近几十年关于这两个会议的重要论文收录到一本书,就可以看作是操作系统和分布式系统的一本教科书。

从 2003 年到 2006 年,Google 分别在 ODSI 与 SOSP 发表了 3 篇论文,引起了业界对于分布式系统的广泛讨论,这三篇论文分别是:

  • SOSP2003:The Google File System;
  • ODSI2004:MapReduce: Simplifed Data Processing on Large Clusters;
  • ODSI2006:Bigtable: A Distributed Storage System for Structured Data。

在 2006 年,Google 首席执行官施密特提出了云计算这个词语,Google 的这 3 篇论文也被称为Google 的三驾马车,代表 Google 大数据处理的基石、云计算的基础。不过值得注意的是,虽然 Google 作为业界领军者经常会将自己的技术开源出来,但是客观地讲,Google 开源出来的技术并不是内部使用的最新技术,中间甚至会有代差,这也侧面反映出 Google 的技术实力。

第 1 篇论文主要讨论分布式文件系统,第 2 篇论文主要讨论的分布式计算框架,第 3 篇论文则主要讨论分布式数据存储。这 3 篇论文揭开了分布式系统神秘的面纱,为大数据处理技术做出了重要的贡献。 有了这 3 篇论文的理论基础与后续的一系列文章,再加上开源社区强大的实践能力,Hadoop、HBase、Spark 等很快走上了台前,大数据技术开始呈现出一个百花齐放的状态。

点击查看 拉勾教育专栏《即学即用的 Spark 实战 44 讲》

02 MapReduce 编程模型与 MapReduce 计算框架

在第 2 篇文章中,Google 明确表示 MapReduce 是其实现的一个分布式计算框架,其编程模型名为 MapReduce。开源社区基于这篇论文的内容,照猫画虎地实现了一个分布式计算框架,也叫作 MapReduce。但一些书籍和网上的资料在提到 MapReduce 的时候并未说明,容易造成困惑。

其实 Google 拿编程模型的名字直接作为计算框架的名字这种例子还有很多,比如 Google Dataflow。而 MapReduce 有两个含义,一般来说,在说到计算框架时,我们指的是开源社区的 MapReduce 计算框架,但随着新一代计算框架如 Spark、Flink 的崛起,开源社区的 MapReduce 计算框架在生产环境中使用得越来越少,逐渐退出舞台。

MapReduce 的第二个含义是一种编程模型,这种编程模型来源于古老的函数式编程思想,在 Lisp 等比较老的语言中也有相应的实现,并随着计算机 CPU 单核性能以及核心数量的飞速提升在分布式计算中焕发出新的生机

MapReduce 模型将数据处理方式抽象为 map 和 reduce,其中 map 也叫映射,顾名思义,它表现的是数据的一对一映射,通常完成数据转换的工作,如下图所示:


reduce 被称为归约,它表示另外一种映射方式,通常完成聚合的工作,如下图所示:

圆角框可以看成是一个集合,里面的方框可以看成某条要处理的数据,箭头表示映射的方式和要执行的自定义函数,运用 MapReduce 编程思想,我们可以实现以下内容:

  1. 将数据集(输入数据)抽象成集合;
  2. 将数据处理过程用 map 与 reduce 进行表示;
  3. 在自定义函数中实现自己的逻辑。

这样就可以实现从输入数据到结果数据的处理流程(映射)了

点击查看 拉勾教育专栏《即学即用的 Spark 实战 44 讲》

03 并发与并行

一般来说,底层的东西越简单,那么上层的东西变化就越复杂,对于 MapReduce 编程模型来说,map 与 reduce 的组合加上用户定义函数,对于业务的表现力是非常强的。这里举一个分组聚合的例子,如下图所示:

map 端的用户自定义函数与 map 算子对原始数据人名进行了转换,生成了组标签:性别,reduce 端的自定义函数与 reduce 算子对数据按照标签进行了聚合(汇总)。

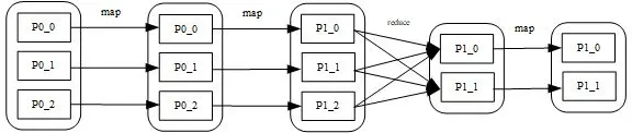
MapReduce 认为,再复杂的数据处理流程也无非是这两种映射方式的组合,例如 map + map + reduce,或者 reduce 后面接 map,等等,在我展示出的这张图里你可以看到相对复杂的一种组合形式:


很多支持函数式编程的语言,对于语言本身自带的集合数据结构,都会提供 map、reduce 算子。现在,我们可以很容易的将第一个圆角方框想象成一个数十条数据的集合,它是内存中的集合变量,那么要实现上图中的变换,对于计算机来说,难度并不大,就算数据量再大些,我们也可以考虑将不同方框和计算流程交给同一台计算机的 CPU 不同的核心进行计算,这就是我们说的并行和并发。

总结

本课时的主要目的是在深入讲解 Spark 之前,对 Spark 之前的技术、范式、抽象进行一个简单的讲解,为后面的学习打下基础。这个课时的内容就到这里,后面我会继续为你深入讲解 Spark 的相关内容,请持续关注我们哦~

版权声明:本文版权归属拉勾教育及该专栏作者,任何媒体、网站或个人未经本网协议授权不得转载、链接、转贴或以其他方式复制发布/发表,违者必究。

点击查看 拉勾教育专栏《即学即用的 Spark 实战 44 讲》

版权声明:本文版权归属拉勾教育及该专栏作者,任何媒体、网站或个人未经本网协议授权不得转载、链接、转贴或以其他方式复制发布/发表,违者必究。