二叉树先序遍历C语言实现

380 阅读3分钟

二叉树先序遍历C语言实现

二叉树先序遍历的实现思想是:

  1. 访问根节点;
  2. 访问当前节点的左子树;
  3. 若当前节点无左子树,则访问当前节点的右子树;

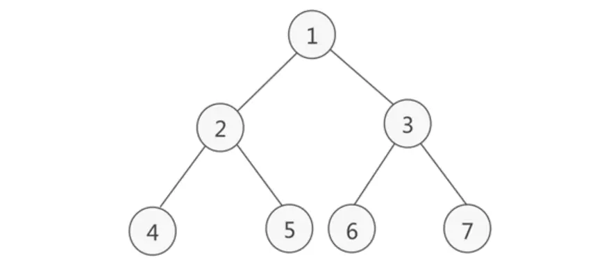
以图 1 为例,采用先序遍历的思想遍历该二叉树的过程为:

  1. 访问该二叉树的根节点,找到 1;
  2. 访问节点 1 的左子树,找到节点 2;
  3. 访问节点 2 的左子树,找到节点 4;
  4. 由于访问节点 4 左子树失败,且也没有右子树,因此以节点 4 为根节点的子树遍历完成。但节点 2 还没有遍历其右子树,因此现在开始遍历,即访问节点 5;
  5. 由于节点 5 无左右子树,因此节点 5 遍历完成,并且由此以节点 2 为根节点的子树也遍历完成。现在回到节点 1 ,并开始遍历该节点的右子树,即访问节点 3;
  6. 访问节点 3 左子树,找到节点 6;
  7. 由于节点 6 无左右子树,因此节点 6 遍历完成,回到节点 3 并遍历其右子树,找到节点 7;
  8. 节点 7 无左右子树,因此以节点 3 为根节点的子树遍历完成,同时回归节点 1。由于节点 1 的左右子树全部遍历完成,因此整个二叉树遍历完成;

因此,图 1 中二叉树采用先序遍历得到的序列为:

1 2 4 5 3 6 7

代码实现

char emptyData = '#';   /* 当一个节点没有左右孩子的时候,输出emptyData的值 */

// 树的结构体定义
typedef char TElemType;

typedef struct BiTNode
{
    TElemType data;
    struct BiTNode *lchild;
    struct BiTNode *rchild;
}BiTNode,*BiTree;

递归

void PreOrderTraverse(BiTree T)
{
    if (T == NULL)
    {
        printf("#");
        return;
    }
    printf("%c",T->data);
    PreOrderTraverse(T->lchild);
    PreOrderTraverse(T->rchild);
}

非递归(链栈)

栈定义

////////////////////////////////////////////////////////
// 栈
typedef int SElemType;

typedef struct StackNode
{
    BiTree TreeNode;
    struct StackNode *next;
}StackNode,*LinkStackPtr;

typedef struct LinkStack
{
    LinkStackPtr top;
    int count;
}LinkStack;
////////////////////////////////////////////////////////

栈方法

////////////////////////////////////////////////////////
// 栈
/*  构造一个空栈S */
void InitStack(LinkStack *S)
{ 
    S->top = (LinkStackPtr)malloc(sizeof(StackNode));
    S->top = NULL;
    S->count = 0;
}
/*  进栈 */
void Push(LinkStack *S,BiTNode **q)
{
    LinkStackPtr p;
    p = (LinkStackPtr)malloc(sizeof(StackNode));
    p->TreeNode = *q;
    p->next  = S->top;
    S->top = p;
    S->count++;
}
/*  出栈 */
void Pull(LinkStack *S,BiTNode **q)
{
    LinkStackPtr p;
    if (S->top)
    {
        *q = S->top->TreeNode;
        p = S->top;
        S->top = S->top->next;
        S->count--;
        free(p);
    }
}
/* 返回S的元素个数,即栈的长度 */
int StackLength(LinkStack S)
{ 
    return S.count;
}
////////////////////////////////////////////////////////

非递归函数

void PreOrderTraverseBak1(BiTree T,LinkStack *S)
{
    BiTNode *p=T,*q;

    // 表示空结点
    q->data = emptyData;
    q->lchild = NULL;
    q->rchild = NULL;
    
    Push(S,&p);
    while(S->count != 0)
    {
        Pull(S,&p);

        printf("%c",p->data);
        if(p->rchild)
        {
            Push(S,&(p->rchild));
        }
        else if (p->data != emptyData)
        {
            Push(S,&q);
        }
        
        if(p->lchild)
        {
            Push(S,&(p->lchild));
        }
        else if (p->data != emptyData)
        {
            Push(S,&q);
        }
    }
    printf("\n");
}

思想: 使用栈,首先将头节点首先入栈 ,保证栈中开始至少有一个元素。使用一个while循环,只要栈还非空就一直进行。循环体中首先获取栈顶节点,将其打印后直接出栈,并将其的右孩子和左孩子依次入栈(如果存在的话)。根据栈的FILO特性,最后入栈的左孩子将在下一轮中成为栈顶元素。这样就能满足前序遍历的特点。

第二种非递归函数

void PreOrderTraverseBak2(BiTree T,LinkStack *S)
{
    BiTNode *p=T;

    while(S->count != 0 || p)
    {
        while(p)
        {
            printf("%c",p->data);
            Push(S,&p);
            p = p->lchild;
        }

        printf("%c",emptyData);

        Pull(S,&p);
        p = p->rchild;
    }
    printf("%c",emptyData);
}

思想: 循环开始,从栈顶节点(除第一次是根节点)开始不断左探,入栈并打印,直到左孩子为空;然后指针指向栈顶元素的右孩子,开启下一轮循环。