栈有一个很重要的应用:在程序设计语言中实现了递归。
我们先来看一个经典的递归例子:斐波那契数列(Fibonacci)。为了说明这个数列,这位斐老还举了一个很形象的例子。
斐波那契数列实现
说如果兔子在出生两个月后,就有繁殖能力,一对兔子每个月能生出一对小兔子来。假设所有兔都不死,那么一年以后可以繁殖多少对兔子呢?
我们拿新出生的一对小兔子分析一下:第一个月小兔子没有繁殖能力,所以还是一对;两个月后,生下一对小兔子数共有两对;三个月以后,老兔子又生下一对,因为小兔子还没有繁殖能力,所以一共是三对……依次类推可以列出下表

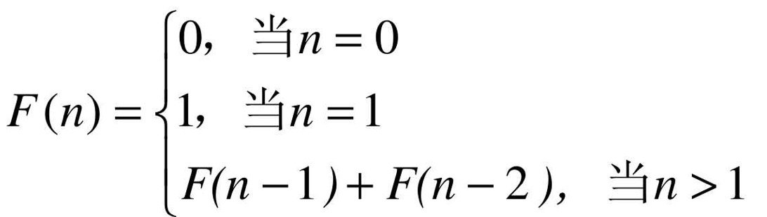
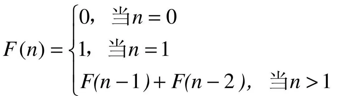
表中数字1,1,2,3,5,8,13……构成了一个序列。这个数列有个十分明显的特点,那是:前面相邻两项之和,构成了后一项。

可以发现,编号①的一对兔子经过六个月就变成8对兔子了。如果我们用数学函数来定义就是:

代码实现
// 斐波那契的递归函数
int Fbi(int i) {
if (i < 2) {
return i == 1 ? 1 : 0;
}
return Fbi(i - 1) + Fbi(i - 2);
}
函数怎么可以自己调用自己?听起来有些难以理解,不过你可以不要把一个递归函数中调用自己的函数看作是在调用自己,而就当它是在调另一个函数。只不过,这个函数和自己长得一样而已。
我们来模拟代码中的Fbi(i)函数当i=5的执行过程

递归定义
在高级语言中,调用自己和其他函数并没有本质的不同。我们把一个直接调用自己或通过一系列的调用语句间接地调用自己的函数,称做递归函数。
当然,写递归程序最怕的就是陷入永不结束的无穷递归中,所以,每个递归定义必须至少有一个条件,满足时递归不再进行,即不再引用自身而是返回值退出。比如刚才的例子,总有一次递归会使得i<2的,这样就可以执行return i的语句而不用继续递归了。
递归和栈的关系
递归过程退回的顺序是它前行顺序的逆序。在退回过程中,可能要执行某些动作,包括恢复在前行过程中存储起来的某些数据。
这种存储某些数据,并在后面又以存储的逆序恢复这些数据,以提供之后使用的需求,显然很符合栈这样的数据结构。
简单的说,就是在前行阶段,对于每一层递归,函数的局部变量、参数值以及返回地址都被压入栈中。在退回阶段,位于栈顶的局部变量、参数值和返回地址被弹出,用于返回调用层次中执行代码的其余部分,也就是恢复了调用的状态。