C# 基础知识系列- 3 集合数组

1,040 阅读23分钟

简单的介绍一下集合,通俗来讲就是用来保管多个数据的方案。比如说我们是一个公司的仓库管理,公司有一堆货物需要管理,有同类的,有不同类的,总而言之就是很多、很乱。我们对照集合的概念对仓库进行管理的话,那么 数组就是将一堆货整整齐齐的码在仓库的某个地方,普通列表也是如此;Set就是在仓库里有这么一个货架,每种货品只能放一个,一旦某种货品超过一个了货架就塌了;Dictionary字典呢,在一个货架上随机摆放,然后再找一个本子把每个货品存放的位置记录下来。

1. 主要集合

C#/.NET Framework 提供了很多很有意思的集合类,数组、列表、链表、Set、字典等一系列的类。其中数组是语言的一部分,个人认为严格意义上不属于集合类这一部分。C#开发中常用的集合有数组、 List类、Set接口、Dictionary类、Queue类、LinkedList类等,其他的出镜率不高。 与其他(java)语言不同的一点是,C#的List是类,而不是接口,接口是IList,但这个接口意义不大,在使用IList的时候更多的倾向于使用IEnumerable,这主要是因为IEnumerableLinq的支持再者两者的方法基本一致,能用IList的地方基本都可以用IEnumerable

1.1 Array 数组

数组,集合的基础部分,主要特点是一经初始化就无法再次对数组本身进行增删元素。C#虽然添加了一些修改数组的扩展方法,但基本都会返回新的数组对象。

1.1.1 初始化

数组的初始化需要指定大小,可以显示指定或者隐式的指定。

// 显示指定类型与大小,具体的元素后续赋值
string[] strArr = new string[10]; 
//指定类型同时给元素赋值,具体大小由编译器自动推断
string[] strArr1 = new string[]{"1","2","3","4","5","6","7","8","9","10"};
// 类型和大小都由编译器进行推断
string[] strArr2 = new []{"1","2","3","4","5","6","7","8","9","10"}; 

1.1.2 常用方法

  1. 访问和赋值 数组可以通过下标访问数组中的元素,下标从0开始,表示0位。代码如下:
string item0 = strArr[0]; //取出 "1"
string item2 = strArr[2]; // 取出 "3"
strArr[0] = "3"; // strArr = {"3","2","3","4","5","6","7","8","9","10"}
  1. 获取长度
int length = strArr.Length;// 获取一个整型的长度
//获取一个长整型的长度,对于一个非常大的数组且长度可能会超过int的最大值
long longLength = strArr.LongLength;
  1. 循环迭代
// 普通for 循环
for(int i = 0;i < strArr.Length;i++)
{
	string it = strArr[i];
}
// foreach 循环
foreach(string it in strArr)
{
	// 依次循环,不需要下标,操作更快一点
}

1.1.3 不常用但有用的方法

  1. CopyTo 复制到

    public void CopyTo(Array array, int index);
    public void CopyTo(Array array, long index);
    

    参数说明: array 需要复制到的数组,index 目标数组的起始下标

    方法说明:将 源数组的元素依次复制到 array从index下标开始的位置

    string[] strArr1 = new string[]{"1","2","3","4","5","6","7","8","9","10"};
    string[] strArr3 = new string[10];
    strArr1.CopyTo(strArr3, 0); //strArr3 = {"1","2","3","4",'5","6","7","8","9","10"}
    
    

    值得注意的是strArr3的长度不能 小于 index + strArr1.Length

  2. Sort 排序

    这个方法不是数组对象的方法,而是 Array 提供的一个静态方法。

    int[] arr1 = new[] {1, 9, 28, 5, 3, 6, 0, 12, 44, 98, 4, 2, 13, 18, 81, 92};
    Array.Sort(arr1);//0,1,2,3,4,5,6,9,12,13,18,28,44,81,92,98
    

    值得注意的是,该方法是直接对数组进行操作,所以不会返回新的数组。

  3. ToList 转成 List

顾名思义,将Array对象转成List对象。这里需要额外注意的是,转换成的List是不可改变长度的。 4. Clone() 获得一个浅拷贝的数组对象

获取该对象的一个浅拷贝数组对象。

至于其他的Array类和Array对象 还有很多有意思的方法,但是平时开发的时候使用的频率比较低。这里就不一一介绍了,以后需要会介绍一下的。

1.2 List 列表

List列表为一个泛型类,泛型表示<T>,其中T表示列表中存放的元素类型,T代表C#中可实例化的类型。关于泛型的具体描述以后介绍,现在回过头来继续介绍列表。列表内部持有一个数组对象,列表有两个私有变量:一个是列表容量,即内部数组的大小;另一个是存放的元素数量,通过Count获取。 List列表通过元素数量实现了AddRemove 的操作,列表对象操作引发元素数量变动时都会导致对容量的重新计算,如果现有容量不满足后续操作需要的话,将会对现有数组进行扩充。

1.2.1 初始化

List<string> list = new List<string>();// 初始化一个空的列表
List<string> list1 = new List<string>{"12", "2"};//初始化一个包含两个元素的列表
list1 = new List<string>(100);//初始化一个空的列表,并指定list的初始容量为100
list = new List<string>(list1);// 使用一个List/Array 初始化一个列表

1.2.2 常用方法

  1. CountLongCount获取元素的数量

    Count 表示获取一个int类型的的数量值,LongCount表示获取一个long类型的数量值。通常情况下两者返回的结果是一致的,但是如果列表中元素的数量超过了int允许的最大返回直接使用 Count获取将会出现数据溢出的问题,这时候就需要LongCount了。

  2. 访问元素/修改元素

    C#的列表操作单个元素很简单 ,与数组的操作方式完全一样。

    string str = list1[0];//获取 list1 的第一个元素,即下标为0的元素
    

list1[2] = "233"; // 将 list1 的第三个元素设置为“233” ,即下标为2 的元素,这里假设list1有至少三个元素 ``` 需要注意的地方是,如果给定的下标超过了List对象的索引值范围会报ArgumentOutOfRangeException。判断方法就是 下标>= Count,如果满足就会越界。 3. AddAddRange 添加到列表最后

将元素添加到List的末尾,`Add`添加一个,`AddRange`添加一组,支持数组、列表。

```c#
List<string> list = new List<string>();// 初始化一个空的列表
list.Add("12");//list = {"12"}
List<string> list1 = new List<string>{"14", "2"};
list.AddRange(list1);// list = {"12","14","2"}
```
  1. Insert(int index, T item)InsertRange(int index,IEnumerable<T> items) 插入

    • Insert(int index,T item) 在 index 下标处插入一个元素,该下标以及该下标以后的元素依次后移
    • InsertRange(int index,IEnumerable<T> items) 在index下标处插入一组元素,该下标以及之后的元素依次后移

    示例:

    List<int> arr1 = new List<int>{1, 9, 28, 5, 3, 6, 0, 12, 44, 98, 4, 2, 13, 18, 81, 92};
    arr1.Insert(3,37);// arr1 = 1,9,28,37,5,3,6,0,12,44,98,4,2,13,18,81,92 下标为3的元素变成了37,之后的元素依次后移了
    
    List<int> arr1 = new List<int>{1, 9, 28, 5, 3, 6, 0, 12, 44, 98, 4, 2, 13, 18, 81, 92};
    List<int> arr2 = new List<int>{2,3,4,5};
    arr1.InsertRange(2,arr2);//arr1=  1,9,2,3,4,5,28,5,3,6,0,12,44,98,4,2,13,18,81,92 可以明显发现下标为2的元素发生了变化
    
  2. Contains(T item) 是否包含 返回一个Boolean类型的结果,如果包含则返回true,如果不包含则返回false

    List<int> arr2 = new List<int>{2,3,4,5};
    arr2.Contains(8);//false
    arr2.Contains(3);//true
    
  3. Remove(T item) 删除指定元素

    List<int> arr2 = new List<int>{2,3,4,5};
    arr2.Remove(3);// arr2 = 2,4,5
    arr2.Remove(6);//arr2 = 2,4,5
    

    值得注意的是,如果删除一个不存在的元素时,不会报错,列表也不会发生任何改变。

  4. RemoveAt(int index) 删除位于下标的元素

    List<int> arr2 = new List<int>{2,3,4,5};
    arr2.RemoveAt(1);//arr2 = 2,4,5
    

    如果移除的下标超过了列表的最后一个元素的下标将会抛出异常

  5. RemoveRane(IEnumerable<T> items) 删除一组元素

    Remove(T item)一致,如果要删除的元素不在列表中,则列表元素不会发生变化。

    List<int> arr1 = new List<int>{1, 9, 28, 5, 3, 6, 0, 12, 44, 98, 4, 2, 13, 18, 81, 92};
    List<int> arr2 = new List<int>{2,3,4,5};
    arr1.RemoveRange(arr2);
    
  6. GetRange(int index,int count)

    从列表中获取一个子列表,从index开始,获取count个元素,如果源列表中从index开始剩余的元素不足count个将会报错。

1.2.3 不常用但有用的方法

  1. Clear()删除所有元素

    将列表清空,调用方法之后,列表中将不包含任何元素

  2. Reverse() 调转顺序

    将列表按照从尾到头的顺序进行排列

  3. IndexOf(T item) 查找下标

    查找元素在列表中的下标,如果没找到元素,则返回-1

  4. Sort()排序

    对列表进行排序,调用方法后,会按照默认排序方法返回一个排序结果

1.3 Set 集合

C#没有为Set单独设置类,一方面是因为Set出镜率不高,另一方面也因为Set本身的机制所致。Set集合不能包含重复元素,如果尝试存入重复元素集合元素将不会发生任何变化。 Set集合中元素的顺序与存放顺序不一定相同。因为Set集合中存放对于使用者而言是乱序存放的。 我们常用的Set集合有 HashSet<T>SortSet<T>,其他的Set相关类则属于更加少见。至少在我5年多的开发经历中没有用过。

1.3.1 HashSet<T>SortSet<T>

  • HashSet 俗称 哈希集合或者哈希Set,内部使用Hash值作为元素的唯一性验证,即调用对象的HashCode()方法作为Hash值的来源。
  • SortSet 顾名思义,排序集合,它每次在插入的时候都会对元素进行一次排序

1.3.2 共同点

  1. 初始化

    两者相同的地方就是 都有以下几种初始化方法

    Set<T> set = new HashSet<T>();// = new SortSet<T>(); 初始化一个空的集合
    //使用一个集合对象初始化
    Set<T> set1 = new HashSet<T>(IEnumerable<T> items);// = new SortSet<T>(IEnumerable<T> items); 
    Set<T> set2 = new HashSet<T>(){T t1, T t2, T t3};// 与上一种一样
    
  2. 添加元素

    set1.Add(item);// 集合只支持添加单个元素,但是可以通过集合运算的方式增加多个元素
    
  3. 移除元素

    set1.Remove(item);//删除集合中与item判断相等的元素
    
  4. 访问元素

    需要注意的地方是,C#对Set没有支持下标访问方式获取Set里的元素,这是因为索引位置对于集合来说意义不大,没有操作意义。

    foreach (var item in set1)
    {
    	// 操作
    }
    

    Set 只能通过遍历访问元素,不能通过Get或者下标操作访问元素。关于foreach循环会在下一篇《C#基础知识系列》里进行介绍。

  5. 集合运算

    file

    1. UnionWith

      SortedSet<int> set = new SortedSet<int>{1,0,29,38,33,48,17};
      set.UnionWith(new []{5,57,8,4,3,1,0,33}); // set = 0,1,3,4,5,8,17,29,33,38,48,57
      

      通过传入一个集合对象,将该集合设置为两个集合的并集,也就是说取上图 A,B,C 三个区域的和

    2. ExceptWith

      SortedSet<int> set = new SortedSet<int>{1,0,29,38,33,48,17};
      set.ExceptWith(new []{5,57,8,4,3,1,0,33}); // set =17,29,38,48
      

      传入一个集合,从set中去掉同属于两个集合的元素,保留只存在于set的元素,也就是取上图中的A部分元素

    3. IntersectWith

      SortedSet<int> set = new SortedSet<int>{1,0,29,38,33,48,17};
      set.ExceptWith(new []{5,57,8,4,3,1,0,33}); // set =0,1,33
      

      传入一个集合,保留set与传入集合里相同的元素,也就是说取的是上图中的B部分

    4. SymmetricExceptWith 余集

      SortedSet<int> set = new SortedSet<int>{1,0,29,38,33,48,17};
      set.SymmetricExceptWith(new []{5,57,8,4,3,1,0,33});//set= 3,4,5,8,17,29,38,48,57
      

      传入一个集合,保留set与传入集合两个集合中不同的元素,也就是取上图的A+C这两部分。

  6. Contains 包含

    判断集合中是否包含目标元素,返回true/false

    SortedSet<int> set = new SortedSet<int>{1,0,29,38,33,48,17};
    set.Contains(1);// true
    

1.3.3 不同点

  1. 初始化
    • HashSet<T> 支持传入一个自定义的相等比较器,该比较器需要返回一个 bool值;可以指定起始容量
    • SortSet<T> 支持传入一个自定义的大小比较器,该比较器返回一个int值;不能指定起始容量
  2. 其他 Comparer 属性:SortSet 可以获取大小比较器;HashSet 获取一个相等比较器

1.4 Dictionary 字典

Dictionary 字典,正如它的名称一样,Dictionary 需要指定两个类型,一个作为索引键,一个作为数据值。就像字典一样,每一个词条内容都只有一个字词索引,但可以出现同义词一样。当然,作为我博大精深的中文会出现同字不同音的词组,但是一旦把音、字组合起来作为索引,那还是只会出现一个词条。 所以 Dictionary的使用方式也跟字典一样,通过索引访问和操作数据。

1.4.1 初始化

Dictionary的初始化有如下几个方法:

Dictionary<string, int> dict = new Dictionary<string, int>();// 键是字符串,值是int类型
Dictionary<string,int> dict1 = new Dictionary<string, int>(10);// 指定初始容量是10
Dictionary<string,int> dict2 = new Dictionary<string, int>()
{
	{"1",1},
	{"2",2}
};// 在大括号标记中 通过 {key,value}的写法创建一个 字典对象,并包含这些键值对

// 传入一个字典对象,以传入的对象为基础创建一个字典
Dictionary<string,int> dict3 = new Dictionary<string, int>(dict2);

1.4.2 常用方法

  1. 添加元素

    Dictionary<string, int> dict = new Dictionary<string, int>();
    // 方法一
    dict.Add("1",2);//添加一个 键为“1”,值为2的键值对。
    //方法二
    //字典可以类似列表的形式通过下标添加或更新键对应的值,
    //不过与列表不同的是,字典的下标是字符串
    dict["2"] = 4;// 如果 dict中2有值,则更新为4,如果没有,则设置2对应的值为4
    
  2. 获取元素

    Dictionary<string, int> dict = new Dictionary<string, int>();
    /*
    省略数据填充阶段
    */
    int value = dict["2"]; // value = 4
    // 如果Dictionary中不存在索引为“2”的数据
    // 将会抛出 System.Collections.Generic.KeyNotFoundException 异常
    

    C# 的Dictionary还有一个TryGetValue方法可以用来尝试获取,他的使用方法是这样的:

    int obj = 0;
    boolean isContains = dict.TryGetValue("3", out obj);
    // 方法会返回 dict是否包含键“3”的结果,如果有 obj 则存放了dict中对应的值,如果没有,则返回false且不改变 obj 的值
    
  3. Count

    获取Dictionary里键值对的数量。

    int count = dict.Count;
    

    Dictionary没有LongCount属性,因为对于Dictionary存放数据需要比对Key的相等性,如果存放巨量数据将会对数据的访问和操作效率有影响。

  4. Keys

    获取Dictionary里所有的键,返回一个KeyCollection对象,不需要关心这是一个什么类型,可以简单的把它当做一个存放了键的HashSet

  5. ContainsKey()

    是否包含键:通常与获取元素一起使用,可以先判断Dictionary里是否有这个键,然后再进行后续操作。

  6. Remove()

    删除Dictionary中键对应的元素,删除后再次访问会报错。如果删除一个不存在的元素将返回flase。 操作示例:

    Dictionary<string,int> dict = new Dictionary<string, int>();
    //省略赋值操作
    bool result = dict.Remove("2");// 如果dict里包含键为“2”的元素,则result为true,否则为false
    

    另一种方法:

    int value = 0;
    bool result = dict.Remove("2", out value);
    // 如果dict 里包含键为“2”的元素,则result 为 false且value为对应的值
    

1.4.3 不常用但有用的方法

  1. ContainsValue()

    是否包含值,与ContainsKey的用法一样,只不过遍历的是值;用处不大。

  2. Values

    获取值的集合类似与KeyValues

2. 传统集合(非泛型)

C#的传统集合基本都存放在System.Collections命名空间里,详细的可以查看微软官方文档。这个命名空间里的集合类使用都不多,不过C#的集合体系的接口规范都是在这个里面定义的。

2.1 常见类介绍

  1. ArrayList List的非泛型版,与List操作方法一致,不过返回值是Object类型

  2. SortedList 一个排序的键值对集合,我没用过,不过官方给了如下示例:

    using System;
    using System.Collections;
    public class SamplesSortedList  {
    
    	 public static void Main()  {
    
    			// Creates and initializes a new SortedList.
    			SortedList mySL = new SortedList();
    			 mySL.Add("Third", "!");
    			 mySL.Add("Second", "World");
    			 mySL.Add("First", "Hello");
    
    			// Displays the properties and values of the SortedList.
    			Console.WriteLine( "mySL" );
    			Console.WriteLine( "  Count:    {0}", mySL.Count );
    			Console.WriteLine( "  Capacity: {0}", mySL.Capacity );
    			Console.WriteLine( "  Keys and Values:" );
    			PrintKeysAndValues( mySL );
    	 }
    
    	 public static void PrintKeysAndValues( SortedList myList )  {
    			Console.WriteLine( "\t-KEY-\t-VALUE-" );
    			for ( int i = 0; i < myList.Count; i++ )  {
    				 Console.WriteLine( "\t{0}:\t{1}", myList.GetKey(i), myList.GetByIndex(i) );
    			}
    			Console.WriteLine();
    	 }
    }
    
  3. HashTable表示根据键的哈希代码进行组织的键/值对的集合。HashTable的结构类似于Dictionary但又与其不同,它的键值存储用的是Hash值。以下是官方给出的示例代码:

    using System;
    using System.Collections;
    
    class Example
    {
    		public static void Main()
    		{
    				// Create a new hash table.
    				//
    				Hashtable openWith = new Hashtable();
    
    				// Add some elements to the hash table. There are no 
    				// duplicate keys, but some of the values are duplicates.
    				openWith.Add("txt", "notepad.exe");
    				openWith.Add("bmp", "paint.exe");
    				openWith.Add("dib", "paint.exe");
    				openWith.Add("rtf", "wordpad.exe");
    
    				// The Add method throws an exception if the new key is 
    				// already in the hash table.
    				try
    				{
    						openWith.Add("txt", "winword.exe");
    				}
    				catch
    				{
    						Console.WriteLine("An element with Key = \"txt\" already exists.");
    				}
    
    				// The Item property is the default property, so you 
    				// can omit its name when accessing elements. 
    				Console.WriteLine("For key = \"rtf\", value = {0}.", openWith["rtf"]);
    
    				// The default Item property can be used to change the value
    				// associated with a key.
    				openWith["rtf"] = "winword.exe";
    				Console.WriteLine("For key = \"rtf\", value = {0}.", openWith["rtf"]);
    
    				// If a key does not exist, setting the default Item property
    				// for that key adds a new key/value pair.
    				openWith["doc"] = "winword.exe";
    
    				// ContainsKey can be used to test keys before inserting 
    				// them.
    				if (!openWith.ContainsKey("ht"))
    				{
    						openWith.Add("ht", "hypertrm.exe");
    						Console.WriteLine("Value added for key = \"ht\": {0}", openWith["ht"]);
    				}
    
    				// When you use foreach to enumerate hash table elements,
    				// the elements are retrieved as KeyValuePair objects.
    				Console.WriteLine();
    				foreach( DictionaryEntry de in openWith )
    				{
    						Console.WriteLine("Key = {0}, Value = {1}", de.Key, de.Value);
    				}
    
    				// To get the values alone, use the Values property.
    				ICollection valueColl = openWith.Values;
    
    				// The elements of the ValueCollection are strongly typed
    				// with the type that was specified for hash table values.
    				Console.WriteLine();
    				foreach( string s in valueColl )
    				{
    						Console.WriteLine("Value = {0}", s);
    				}
    
    				// To get the keys alone, use the Keys property.
    				ICollection keyColl = openWith.Keys;
    
    				// The elements of the KeyCollection are strongly typed
    				// with the type that was specified for hash table keys.
    				Console.WriteLine();
    				foreach( string s in keyColl )
    				{
    						Console.WriteLine("Key = {0}", s);
    				}
    
    				// Use the Remove method to remove a key/value pair.
    				Console.WriteLine("\nRemove(\"doc\")");
    				openWith.Remove("doc");
    
    				if (!openWith.ContainsKey("doc"))
    				{
    						Console.WriteLine("Key \"doc\" is not found.");
    				}
    		}
    }
    
    /* This code example produces the following output:
    
    An element with Key = "txt" already exists.
    For key = "rtf", value = wordpad.exe.
    For key = "rtf", value = winword.exe.
    Value added for key = "ht": hypertrm.exe
    
    Key = dib, Value = paint.exe
    Key = txt, Value = notepad.exe
    Key = ht, Value = hypertrm.exe
    Key = bmp, Value = paint.exe
    Key = rtf, Value = winword.exe
    Key = doc, Value = winword.exe
    
    Value = paint.exe
    Value = notepad.exe
    Value = hypertrm.exe
    Value = paint.exe
    Value = winword.exe
    Value = winword.exe
    
    Key = dib
    Key = txt
    Key = ht
    Key = bmp
    Key = rtf
    Key = doc
    
    Remove("doc")
    Key "doc" is not found.
     */
    

    虽然C#框架保留了非泛型集合元素,但不建议使用非泛型集合进行开发。

3 一些不常用的集合类

除了之前所说的几个集合类,C#还设置了一些在开发中不常用但在特定场合很有用的集合类。

3.1 Queue<T>Queue

这两个类是一对的,一个是泛型类,一个是非泛型类。该类中文名称是队列,如其名,队列讲究一个先进先出,所以队列每次取元素都是从头取,存放是放到队列尾。 操作代码如下:

  1. 加入队列

    Queue queue = new Queue();
    queue.Enqueue(1);
    queue.Enqueue("2");
    
    Queue<string> queue1 = new Queue<string>();
    queue1.Enqueue("stri");//
    
  2. 读取队首的元素 读取有两种:

    • 读取但不移除元素:

      object obj= queue.Peek();
      string str = queue.Peek();
      
    • 读取并移除元素:

      object obj = queue.Dequeue();
      string str = queue.Dequeue();
      
    1. Count 获取元素数量

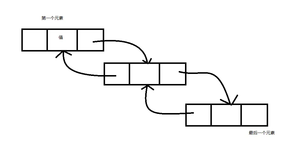
3.2 LinkedList<T>

LinkedList,链表。与List不同的地方是,LinkedList的元素是LinkedListNode对象,该对象有四个属性,分别是List -指向列表对象,Previous指向前一个对象如果有的话,Next指向后一个对象如果有的话。所以根据元素的属性可以发现链表的工作方式,链表就像一条锁链一样,一个元素分三块,一个指向前一个元素,一个用来存放值,一个指向下一个元素,简单如下图所示:

file
所以可以明显的发现LinkedList在随机插取上比一般的要快,因为它不用维护一个数组,但是在查找和坐标操作上明显要慢很多。 LinkedList简单介绍这么多,可以看看它的一些常见操作:

  1. First 第一个元素

    获取第一个元素

  2. Last 最后一个元素

    获取最后一个元素

  3. AddAfter/AddBefore 在某个节点后/在某个节点前插入数据 支持以下参数列表:

    • (LinkedListNode node, T value)
    • (LinkedListNode node, LinkedListNode newNode)

    第一个参数表示要插入的节点位置,第二个表示要插入的节点/元素。第一个参数会校验是否属于该链表,如果不属于则会抛出一个异常。第二个可以是值,也可以是初始化好的节点对象。如果是节点对象,则判断是否归属其他链表,如果是其他链表抛出异常。

  4. AddFirst/AddLast

    添加元素到头或者尾,可以使用LinkedListNode或者添加值。

  5. Remove

    删除,可以传递某个节点,或者要删除的节点里存放的值。

  6. RemoveFirst/RemoveLast 删除第一个节点,删除最后一个节点,不含参数

下面是微软官方的一些示例

using System;
using System.Text;
using System.Collections.Generic;

public class Example
{
    public static void Main()
    {
        // Create the link list.
        string[] words =
            { "the", "fox", "jumps", "over", "the", "dog" };
        LinkedList<string> sentence = new LinkedList<string>(words);
        Display(sentence, "The linked list values:");
        Console.WriteLine("sentence.Contains(\"jumps\") = {0}",
            sentence.Contains("jumps"));

        // Add the word 'today' to the beginning of the linked list.
        sentence.AddFirst("today");
        Display(sentence, "Test 1: Add 'today' to beginning of the list:");

        // Move the first node to be the last node.
        LinkedListNode<string> mark1 = sentence.First;
        sentence.RemoveFirst();
        sentence.AddLast(mark1);
        Display(sentence, "Test 2: Move first node to be last node:");

        // Change the last node to 'yesterday'.
        sentence.RemoveLast();
        sentence.AddLast("yesterday");
        Display(sentence, "Test 3: Change the last node to 'yesterday':");

        // Move the last node to be the first node.
        mark1 = sentence.Last;
        sentence.RemoveLast();
        sentence.AddFirst(mark1);
        Display(sentence, "Test 4: Move last node to be first node:");

        // Indicate the last occurence of 'the'.
        sentence.RemoveFirst();
        LinkedListNode<string> current = sentence.FindLast("the");
        IndicateNode(current, "Test 5: Indicate last occurence of 'the':");

        // Add 'lazy' and 'old' after 'the' (the LinkedListNode named current).
        sentence.AddAfter(current, "old");
        sentence.AddAfter(current, "lazy");
        IndicateNode(current, "Test 6: Add 'lazy' and 'old' after 'the':");

        // Indicate 'fox' node.
        current = sentence.Find("fox");
        IndicateNode(current, "Test 7: Indicate the 'fox' node:");

        // Add 'quick' and 'brown' before 'fox':
        sentence.AddBefore(current, "quick");
        sentence.AddBefore(current, "brown");
        IndicateNode(current, "Test 8: Add 'quick' and 'brown' before 'fox':");

        // Keep a reference to the current node, 'fox',
        // and to the previous node in the list. Indicate the 'dog' node.
        mark1 = current;
        LinkedListNode<string> mark2 = current.Previous;
        current = sentence.Find("dog");
        IndicateNode(current, "Test 9: Indicate the 'dog' node:");

        // The AddBefore method throws an InvalidOperationException
        // if you try to add a node that already belongs to a list.
        Console.WriteLine("Test 10: Throw exception by adding node (fox) already in the list:");
        try
        {
            sentence.AddBefore(current, mark1);
        }
        catch (InvalidOperationException ex)
        {
            Console.WriteLine("Exception message: {0}", ex.Message);
        }
        Console.WriteLine();

        // Remove the node referred to by mark1, and then add it
        // before the node referred to by current.
        // Indicate the node referred to by current.
        sentence.Remove(mark1);
        sentence.AddBefore(current, mark1);
        IndicateNode(current, "Test 11: Move a referenced node (fox) before the current node (dog):");

        // Remove the node referred to by current.
        sentence.Remove(current);
        IndicateNode(current, "Test 12: Remove current node (dog) and attempt to indicate it:");

        // Add the node after the node referred to by mark2.
        sentence.AddAfter(mark2, current);
        IndicateNode(current, "Test 13: Add node removed in test 11 after a referenced node (brown):");

        // The Remove method finds and removes the
        // first node that that has the specified value.
        sentence.Remove("old");
        Display(sentence, "Test 14: Remove node that has the value 'old':");

        // When the linked list is cast to ICollection(Of String),
        // the Add method adds a node to the end of the list.
        sentence.RemoveLast();
        ICollection<string> icoll = sentence;
        icoll.Add("rhinoceros");
        Display(sentence, "Test 15: Remove last node, cast to ICollection, and add 'rhinoceros':");

        Console.WriteLine("Test 16: Copy the list to an array:");
        // Create an array with the same number of
        // elements as the inked list.
        string[] sArray = new string[sentence.Count];
        sentence.CopyTo(sArray, 0);

        foreach (string s in sArray)
        {
            Console.WriteLine(s);
        }

        // Release all the nodes.
        sentence.Clear();

        Console.WriteLine();
        Console.WriteLine("Test 17: Clear linked list. Contains 'jumps' = {0}",
            sentence.Contains("jumps"));

        Console.ReadLine();
    }

    private static void Display(LinkedList<string> words, string test)
    {
        Console.WriteLine(test);
        foreach (string word in words)
        {
            Console.Write(word + " ");
        }
        Console.WriteLine();
        Console.WriteLine();
    }

    private static void IndicateNode(LinkedListNode<string> node, string test)
    {
        Console.WriteLine(test);
        if (node.List == null)
        {
            Console.WriteLine("Node '{0}' is not in the list.\n",
                node.Value);
            return;
        }

        StringBuilder result = new StringBuilder("(" + node.Value + ")");
        LinkedListNode<string> nodeP = node.Previous;

        while (nodeP != null)
        {
            result.Insert(0, nodeP.Value + " ");
            nodeP = nodeP.Previous;
        }

        node = node.Next;
        while (node != null)
        {
            result.Append(" " + node.Value);
            node = node.Next;
        }

        Console.WriteLine(result);
        Console.WriteLine();
    }
}

//This code example produces the following output:
//
//The linked list values:
//the fox jumps over the dog

//Test 1: Add 'today' to beginning of the list:
//today the fox jumps over the dog

//Test 2: Move first node to be last node:
//the fox jumps over the dog today

//Test 3: Change the last node to 'yesterday':
//the fox jumps over the dog yesterday

//Test 4: Move last node to be first node:
//yesterday the fox jumps over the dog

//Test 5: Indicate last occurence of 'the':
//the fox jumps over (the) dog

//Test 6: Add 'lazy' and 'old' after 'the':
//the fox jumps over (the) lazy old dog

//Test 7: Indicate the 'fox' node:
//the (fox) jumps over the lazy old dog

//Test 8: Add 'quick' and 'brown' before 'fox':
//the quick brown (fox) jumps over the lazy old dog

//Test 9: Indicate the 'dog' node:
//the quick brown fox jumps over the lazy old (dog)

//Test 10: Throw exception by adding node (fox) already in the list:
//Exception message: The LinkedList node belongs a LinkedList.

//Test 11: Move a referenced node (fox) before the current node (dog):
//the quick brown jumps over the lazy old fox (dog)

//Test 12: Remove current node (dog) and attempt to indicate it:
//Node 'dog' is not in the list.

//Test 13: Add node removed in test 11 after a referenced node (brown):
//the quick brown (dog) jumps over the lazy old fox

//Test 14: Remove node that has the value 'old':
//the quick brown dog jumps over the lazy fox

//Test 15: Remove last node, cast to ICollection, and add 'rhinoceros':
//the quick brown dog jumps over the lazy rhinoceros

//Test 16: Copy the list to an array:
//the
//quick
//brown
//dog
//jumps
//over
//the
//lazy
//rhinoceros

//Test 17: Clear linked list. Contains 'jumps' = False
//

3.3 Stack<T>Stack

Stack广泛的翻译是栈,是一种后进先出的集合。在一些特殊场景里,使用十分广泛。 Stack有两个很重要的方法PopPush,出/进。Pop 获取最后一个元素,并退出栈,Push 向栈推入一个元素。 具体可以参照官方文档

4 集合相关命名空间

C# 的集合还有其他的一些命名空间里藏着宝贝,不过在实际开发中使用频率并不大,可以按需查看。

4.1 System.Collections.Concurrent 线程安全

这个命名空间,提供了一系列线程安全的集合类,当出现多线程操作集合的时候,应当使用这个命名空间的集合。名称和常用的类是一一对应的,不过只提供了ConcurrentDictionary<TKey,TValue>ConcurrentQueue<T>ConcurrentStack<T>等几个集合类。具体可以查看官方文档

4.2 System.Collections.Immutable 不可变集合

命名空间包含用于定义不可变集合的接口和类,如果需要使用这个命名空间,则需要使用NuGet下载。

    • 共享集合,使其使用者可以确保集合永远不会发生更改。
  • 提供多线程应用程序中的隐式线程安全(无需锁来访问集合)。
  • 遵循函数编程做法。
  • 在枚举过程中修改集合,同时确保该原始集合不会更改。

更多内容烦请关注我的博客

file