写在前面:最近写作业经常需要使用Markdown,而Typora是一个非常简洁好用的Markdown编辑器,所以这篇文章将介绍Typora的入门技巧。因为是第一次使用,我参考了很多网上的资料,相当于一个学习的记录,如果能够帮助到你,我会感到非常开心:)
一、常用快捷键介绍
- 加粗: Ctrl + B
- 倾斜: Ctrl + I
- 下划线:Ctrl + U
- 插入链接:Ctrl + K
- 行内代码:Ctrl + Shift + K
- 插入图片:Ctrl + Shift + I
- 撤销:Ctrl + Z
- 一级标题:Ctrl + 1
二、常见语法介绍
2.1标题
#一级标题,快捷键为 Ctrl + 1
##二级标题,快捷键为 Ctrl + 2
……
######六级标题,快捷键为Ctrl + 6
注:#后面要空一格
2.2引用文字
> 引用文字
注:>后面要空一格
2.3列表
无序列表:使用 * + -均可
- AAA
- BBB
- CCC
有序列表:使用1.2.3.
- AAA
- BBB
- CCC
注:记得空格
2.4代码块
插入多行代码,输入三个```+回车即可,选择语言后可实现语法高亮。 效果同快捷键:Ctrl + Shift + K
2.5数学表达式
- 行内插入:$ + esc键
- 多行插入:? + 回车 或者 Ctrl + Shift + M
三、Typora与数学公式
3.1上标与下标
- 用 ^ 表示上标
- 用 _ 表示下标
3.2 分数表示
\frac{分子}{分母}
3.3 求和与连乘运算
- 入门:\sum;\prod

- ✨进阶:当连乘下有不止一行公式时

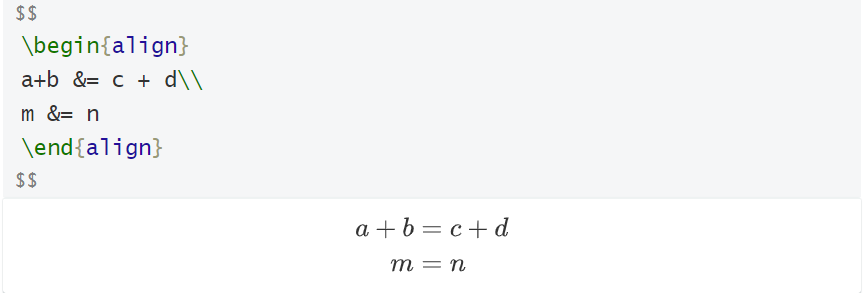
3.4分段函数/方程组
入门:

before:


3.5矩阵和行列式
矩阵:


3.6公式内空格

四、LaTex数学符号参考




参考链接
参考链接1:www.cnblogs.com/hider/p/116…
参考链接2:blog.csdn.net/u011089523/…