论文提出可变形卷积核(DK)来自适应有效感受域,每次进行卷积操作时都从原卷积中采样出新卷积,是一种新颖的可变形卷积的形式,从实验来看,是之前方法的一种有力的补充。
来源:晓飞的算法工程笔记 公众号
论文: Deformable Kernels: Adapting Effective Receptive Fields for Object Deformation

Introduction

传统的卷积由于存在硬性的规则,在对于物体放大或旋转时,不能作出适应性的改变,而可变形卷积则通过改变输入的采样位置来进行适应性的改变,即改变理论感受域。但理论感受域并不能度量像素对输出的贡献,相比理论感受域,更重要的是有效感受域(ERF),通过计算输出对应输入的偏导获得(与卷积权重相关),改变理论感受域只是改变有效感受域的一种手段。
为此,论文提出可变形卷积核(Deformable Kernels, DK),用于进行可变形建模的新型卷积操作,在推理时根据输入直接生成新的卷积核来改变有效感受域。如图d,DK学习卷积核的偏移来对原卷积进行重新采样,而不改变输入数据。从实验结果来看,DK对分类任务和检测任务都十分有效,结合旧的可变形卷积方法能产生更好的结果。
Approach
对有效感受域概念不感兴趣的可以直奔后面对可变形卷积核的描述,前面有效感受域的介绍不影响后面内容。
A Dive into Convolutions
-
2D Convolution

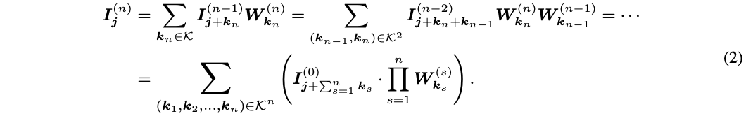
大小为,stride为1的二维卷积操作如公式1,输出为目标区域像素与卷积核乘积的和,
。
-
Theoretical Receptive Field
卷积层单个输出相对于上一层的输入的感受域大小为卷积核大小,当卷积层叠加起来时,单个输出的对应的隔层感受域也会因此而叠加,得到的叠加区域即理论感受域,与卷积核大小
和网络深度
线性相关。
-
Effective Receptive Field
由于卷积的叠加以及非线性激活的引入,理论感受域内的像素对输出的贡献各不相同,可以使用有效感受域(ERF)来度量区域内每个像素对输出的影响,通过计算输出对应像素值的偏导得到,具体可以看参考论文。
Analysis on Effective Receptive Fields
这里主要分析如何根据输入和一系列卷积来计算有效感受域,先分析线性卷积网络的情景,再拓展到非线性卷积网络。

对于线性卷积网络,给定为输入图片以及stride为1的
卷积权重合集
,公式1可以展开为公式2,特征图
和卷积权重
的上标以及卷积核位置
的下标为层数
。

根据ERF的定义,输出坐标对应输入坐标
的有效感受域值
计算为公式3,
为指示函数。公式3的意义为所有从
到
的路径的权重和,权重的计算为卷积核权重的累积,有效感受域值跟输出的采样位置
、卷积核位置
以及卷积核权重
有关。

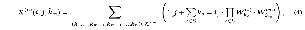
假设将第个卷积核
替换为
卷积核
,ERF的计算会变为公式4,
\
即不包含
层,这里每条路径权重直接乘上
,因为
层只有一个路径,符合指示函数的路径必定包含
。

卷积可以看成分散在矩形区域内的
个
卷积,因此,公式3可以改写成公式5,将
层的
卷积看成多个
卷积,相对的输出位置也要进行相应的修改(这里应该为
比较合适)。

对于复杂的非线性卷积,在公式1中加入ReLU激活得到公式6,即每层卷积都接激活函数。

非线性版本的有效感受域值计算为上式,因子使得ERF值变成与数据相关,实际中的有效感受域是不规则的形状,包含许多不规则分布的零值。
需要注意,公式4和公式5的计算是线性的,使得有效感受域值计算能与内核的线性采样操作兼容,比如使用双线性插值获得小数位置的内核值,即可以认为内核采样等对数据进行线性ERF采样(ERF与输出的采样位置、卷积核位置
以及卷积核权重
有关),这种兼容性也可以相似地推广到非线性的情况下。基于以上的分析,论文提出可变形卷积核(Deformable Kernels, DK)。
Deformable Kernels(DK)


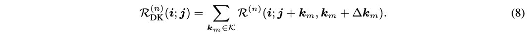
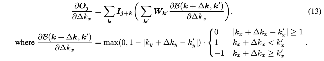
DK添加了可学习的核偏移值,使得输出的计算从公式1变为公式7,ERF的计算也变成了与核偏移值相关的公式8。由于偏移值通常包含小数,使用双线性插值来计算偏移后的值。
原卷积核的大小称为score size,一般DK对scope size是没有约束的,即可以从大小为的原卷积中采样出
的新卷积,然后用于大小为
区域上。这样网络能够尽可能使用更大的原卷积而不会带来太多的额外计算,论文最大的原卷积为
。

如图2,DK有两种实现形式,全局模式和局部模式,为可学习的核偏移值生成器,将输入块转换为内核的偏移值:
- 全局模式
的实现为global average pooling层+全连接层,分别用于降维以及输出
个偏移值。
- 局部模式
的实现为与目标卷积大小一样的卷积操作,输出为
维,最终输出为
。
全局模式更关注整体图片,根据整图进行核偏移,而局部模式则更关注图片的局部区域,对于小物体,生成形状特别的核(值差异大),从而使得ERF更密集,而对于大物体,生成较扁平的核(值差异小),使得ERF更广阔。一般情况下,局部模式的自由度更高。
Computation Flow of Deformable Kernels

图5展示了局部DK的计算示意图,偏移值生成器根据输入生成偏移值,将目标卷积的点均匀平铺在原卷积中,然后根据偏移值进行偏移,使用双线性插值计算偏移后的权重更新目标卷积,最后使用目标卷积对输入进行卷积输出。

前向时,给予原卷积和学习到的卷积核偏移
,结合双线性插值
生成目标卷积
,然后使用目标卷积对输入进行常规的卷积输出。

DK的反向传播需要生成3种梯度:
- 前一层特征图的梯度
- 当前层原生卷积的梯度
- 当前层偏移值生成器的梯度
前两种的计算方法与普通的卷积一样,第三种则使用公式13结合双线性插值的计算方法。
Link with Deformable Convolutions
DK的核心是学习适应输入的偏移值来原卷积进行采样,从而达到可变形的目的,整体思想可能与可变形卷积类似。


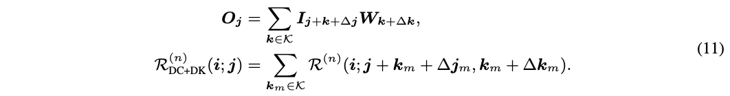
可变形卷积的计算如公式9,主要是对数据进行偏移,而有效感受域则为公式10。如前面说到的,有效感受域与输出的采样位置以及卷积核位置有关,这在一定程度上了解释可变形卷积为何适用于学习形状多变的目标。

假设同时对数据和核进行偏移,输出的计算以及有效感受域的计算如公式11,尽管两种方法的目的是类似的,但在实际中发现,两种方法协作能够带来很好更好的效果。
Experiments

实验主要针对深度卷积(depthwise convolutions)进行优化,内核偏移不能超过越过score size。基础模型为ResNet-50-DW和MobileNetV2,对比实验加入条件卷积(Conditional Convolutions)和可变形卷积(Deformable Convolutions)的对比。
Image Classification


Object Detection


What do Deformable Kernels Learn?

将MobileNet-V2的最后一层卷积进行t-SNE降维得到可视化结果,点的颜色为类别(10类)或bbox尺寸(10等分),对比DK和条件卷积,条件卷积学习到语义相关的特征,而DK则学习到尺寸相关的特征,这解释了前面的实验两种方法同时使用效果更好。

对不同的卷积的有效感受域进行了可视化,可变形卷积与DK都能产生类似的适应ERF,但可变形卷积倾向于更广阔的响应,DK则倾向于集中在物体内部,两者结合效果最佳。
CONCLUSION
论文提出可变形卷积核(DK)来自适应有效感受域,每次进行卷积操作时都从原卷积中采样出新卷积,是一种新颖的可变形卷积的形式,从实验来看,是之前方法的一种有力的补充。
如果本文对你有帮助,麻烦点个赞或在看呗~
更多内容请关注 微信公众号【晓飞的算法工程笔记】
