Ncut
Ncut切法实际上与Ratiocut相似,但Ncut把Ratiocut的分母 |Ai| 换成 vol(Ai)(Vol(Ai)表示子集A中所有边的权重之和) ,这种改变与之而来的,是L的normalized,这种特殊称谓会在下文说明,而且这种normalized,使得Ncut对于spectral clustering来说,其实更好,下文会说明。
同样,Ncut的目标,也是极小化各子图连边的和,如下: min Ncut(A1,A2,A3,...,Ak)
同样,引入的指示向量hj={hj1,hj2,...,hjn},j=1,2...,k.其中i表示样本下标,j表示子集下标, 表示样本i对子集j的指示,具体为:
如果在原始数据中第i个样本被分割到子集 Aj 里,则 hj 的第i个元素为 1/根号(vol(Aj)) ,否则为0。
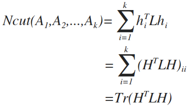
进一步,计算  ,可以得到:  , 推导过程与ratioCut几乎完全相同
此外,相比与Ratiocut,Ncut特有的一点性质是:  ,具体如下: 进一步,令 H={h1,h2,h3,...,hk} ,构成一个n*k矩阵,则 HTDH=I ,其中I为单位对角矩阵。
如此,便将极小化问题: minNcut(A1,A2,...,Ak) ,转化为:
除了H的限制条件,Ncut的极小化与Ratiocut的极小化基本无差异,但是就是这微小的条件,使得Ncut实质上是对L做了normalize(不得不叹数学真是十分奇妙)。
下面进一步说明,令  , D -1/2 意为对D对角线上元素开方再求逆。将 代入 
 可以修改为:
其中,  这一步操作,就是对L矩阵进行normalize,而normalize可以理解为标准化,具体为:  , 这么做的一个好处就是对L中的元素进行标准化处理使得不同元素的量纲得到归一,具体理解就是,同个子集里,不同样本点之间的连边可能大小比较相似,这点没问题,但是对于不同子集,如果两个子集中的weight差异过大,会使得结果偏向于量纲大的一方(就好像KNN之前要对特征进行归一化处理)。做 这一步normalize操作,可以将L中的元素归一化在[-1,1]之间,这样量纲一致,对算法迭代速度,结果的精度都是有很大提升。
最后,F矩阵的求解可通过求 
[url=] [/url] 可见不管是L、L’都与E联系特别大。如果将E看成一个高维向量空间,也能在一定程度上反映item之间的关系。将E直接kmeans聚类,得到的结果也能反映V的聚类特性,而谱聚类的引入L和L’是使得G的分割具有物理意义。 而且,如果E的item(即n)足够大,将难计算出它的kmeans,我们完全可以用PCA降维(仍为top的特征值与向量)。 上述对将E当成向量空间矩阵,直观地看符合我们的认知,但缺乏理论基础;而L(L’等)的引入,如第2节所述,使得计算具有理论基础,其前k个特征向量,也等价于对L(L’等)的降维。 因而聚类就是为图的划分找了理论基础,能达到降维的目的。 |
|