HashMap put操作都发生了什么,你真的知道吗?

3,281 阅读3分钟

大家都知道,HashMap 的底层在 JDK 1.7 的时候为数组+链表,在JDK 1.8的时候为数组+链表+红黑树。那么当我们在向HashMap中添加元素时,HashMap里面究竟发生了什么呢?让我们一起来一探究竟吧!

首先,我们一起来看看JDK 1.8中put的源码:

public V put(K key, V value) {
    //对传入的key做hash
    return putVal(hash(key), key, value, false, true);
    
}
final V putVal(int hash, K key, V value, boolean onlyIfAbsent,boolean evict) {
    Node<K,V>[] tab; Node<K,V> p; int n, i;
    
    // 步骤1:如果tab为空则调用resize()方法进行创建
    if ((tab = table) == null || (n = tab.length) == 0)

        n = (tab = resize()).length;
        
    // 步骤2:计算index下标,如果该位置为null,则创建节点
    if ((p = tab[i = (n - 1) & hash]) == null)

        tab[i] = newNode(hash, key, value, null);

    else {

        Node<K,V> e; K k;

        // 步骤3:如果key与该位置存在的节点key相同并且hashCode相同,则直接覆盖value
        if (p.hash == hash &&

            ((k = p.key) == key || (key != null && key.equals(k))))

            e = p;

      // 步骤4:判断该节点是否为红黑树,如果是红黑树,则直接在该树中插入键值对数据

        else if (p instanceof TreeNode)

            e = ((TreeNode<K,V>)p).putTreeVal(this, tab, hash, key, value);

        else {

            //步骤5:遍历该链表

            for (int binCount = 0; ; ++binCount) {

              //遍历至链表尾,创建一个新的节点并连接至链表尾部

                if ((e = p.next) == null) {

                    p.next = newNode(hash, key, value, null);

                  //判断链表长度是否大于8,如果大于8,则将链表转换为红黑树

                    if (binCount >= TREEIFY_THRESHOLD - 1) // -1 for 1st

                        treeifyBin(tab, hash);

                    break;

                }

              //如果已存在key且hashCode相同,则直接覆盖value

                if (e.hash == hash &&

                    ((k = e.key) == key || (key != null && key.equals(k))))

                    break;

                p = e;

            }

        }

        if (e != null) { // existing mapping for key

            V oldValue = e.value;

            if (!onlyIfAbsent || oldValue == null)

                e.value = value;

            afterNodeAccess(e);

            return oldValue;

        }

    }

    ++modCount;
    // 步骤6:超过阈值(当前容量*负载因子) 就扩容
    if (++size > threshold)

        resize();

    afterNodeInsertion(evict);

    return null;

}

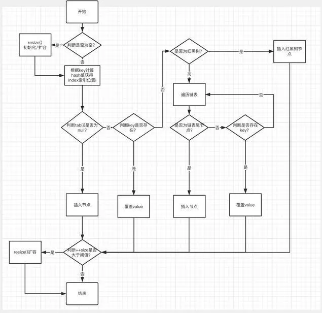
看完源码,再结合下面的流程图是不是对put方法的执行过程更清晰了呢?


HashMap put操作流程图

1.判断键值对数组tab是否为空或为null,如果为空则执行resize()进行扩容;

2.根据键值key计算hash值得到索引i,如果tab[i]==null,则直接新建节点添加,进入第6步,如果tab[i]不为空,进入第3步;

3.判断tab[i]的首个元素的key是否和传入key一样并且hashCode相同,如果相同直接覆盖value,否则转进入第4步;

4.判断tab[i] 是否为treeNode(红黑树),如果是红黑树,则直接在树中插入新节点,否则进入第5步;

5.遍历tab[i]判断是否遍历至链表尾部,如果到了尾部,则在尾部链入一个新节点,然后判断链表长度是否大于8,如果大于8的话把链表转换为红黑树,否则进入6;遍历过程中若发现key已经存在,直接覆盖value,进入第6步;

6.插入成功后,判断size是否超过了阈值(当前容量*负载因子),如果超过,进行扩容。

看到这里,相信大家对HashMap的put操作都有个全新的认识,下篇文章让我们再一起来探寻下HashMap resize()方法的秘密吧!