git和github

273 阅读6分钟

1. Git基础

1.1 版本管理

1.1.1 什么是版本管理

版本管理是一种记录文件变化的方式,以便将来查阅特定版本的文件内容。

1.1.2 人为维护文档版本的问题

  1. 文档数量多且命名不清晰导致文档版本混乱

  2. 每次编辑文档需要复制,不方便

  3. 多人同时编辑同一个文档,容易产生覆盖

1.2 Git 是什么

Git是一个版本管理控制系统(缩写VCS),它可以在任何时间点,将文档的状态作为更新记录保存起来,也可以在任何时间点,将更新记录恢复回来。

1.3 Git 安装

下载地址

在安装的过程中,所有选项使用默认值即可。

1.4 Git 基本工作流程

git仓库 暂存区 工作目录
用于存放提交记录 临时存放被修改文件 被Git管理的项目目录

1.5 Git 的使用

1.5.1 Git 使用前配置

在使用 git 前,需要告诉 git 你是谁,在向 git 仓库中提交时需要用到。

  1. 配置提交人姓名:git config --global user.name 提交人姓名
  2. 配置提交人姓名:git config --global user.email 提交人邮箱
  3. 查看git配置信息:git config --list

注意

  1. 如果要对配置信息进行修改,重复上述命令即可。

  2. 配置只需要执行一次。

1.5.2 提交步骤

  1. git init 初始化git仓库
  2. git status 查看文件状态
  3. git add 文件列表 追踪文件
  4. git commit -m 提交信息 向仓库中提交代码
  5. git log 查看提交记录

1.5.3 撤销

  • 用暂存区中的文件覆盖工作目录中的文件: git checkout 文件

  • 将文件从暂存区中删除: git rm --cached 文件

  • 将 git 仓库中指定的更新记录恢复出来,并且覆盖暂存区和工作目录:git reset --hard commitID

2. Git进阶

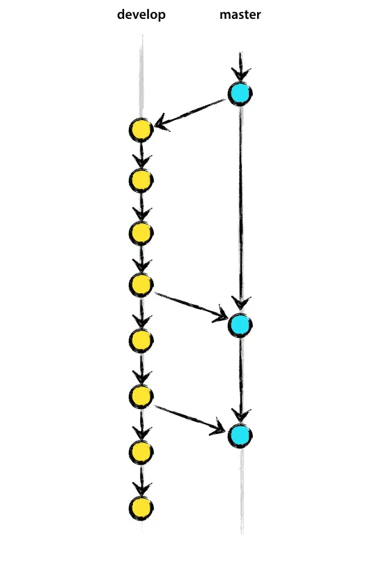
2.1 分支

为了便于理解,大家暂时可以认为分支就是当前工作目录中代码的一份副本。

使用分支,可以让我们从开发主线上分离出来,以免影响开发主线。

2.1.1 分支细分

  1. 主分支(master):第一次向 git 仓库中提交更新记录时自动产生的一个分支。

  1. 、开发分支(develop):作为开发的分支,基于 master 分支创建。

  1. 功能分支(feature):作为开发具体功能的分支,基于开发分支创建

功能分支 -> 开发分支 -> 主分支

2.1.2 分支命令

  • git branch 查看分支

  • git branch 分支名称 创建分支

  • git checkout 分支名称 切换分支 在切换分支前需要先提交当前分支

  • git merge 来源分支 合并分支 在主分支上合并,之后开发分支还是存在的

  • git branch -d 分支名称 删除分支(分支被合并后才允许删除)(-D 强制删除)

2.2 暂时保存更改

在git中,可以暂时提取分支上所有的改动并存储,让开发人员得到一个干净的工作副本,临时转向其他工作。

使用场景:分支临时切换,应用于还不想提交的时候,临时要到其他分支上工作

  • 存储临时改动:git stash
  • 恢复改动:git stash pop 恢复的时候要注意当前分支是不是之前你工作的分支

3. Github

在版本控制系统中,大约90%的操作都是在本地仓库中进行的:暂存,提交,查看状态或者历史记录等等。除此之外,如果仅仅只有你一个人在这个项目里工作,你永远没有机会需要设置一个远程仓库。

只有当你需要和你的开发团队共享数据时,设置一个远程仓库才有意义。你可以把它想象成一个 “文件管理服务器”,利用这个服务器可以与开发团队的其他成员进行数据交换。

3.1 注册

  1. 访问github首页,点击 Sign up 连接。(注册)

  1. 填写用户名、邮箱地址、GitHub登陆密码

  1. 选择计划

  1. 填写 GitHub 问题

  1. 验证邮箱

  1. GitHub 个人中心

3.2 多人协作开发流程

  • A在自己的计算机中创建本地仓库
  • A在github中创建远程仓库
  • A将本地仓库推送到远程仓库
  • B克隆远程仓库到本地进行开发
  • B将本地仓库中开发的内容推送到远程仓库
  • A将远程仓库中的最新内容拉去到本地

3.3 创建仓库

  1. 填写仓库基本信息

  1. 将本地仓库推送到远程仓库

  1. git push 远程仓库地址 分支名称

  2. git push 远程仓库地址别名 分支名称

  3. git push -u 远程仓库地址别名 分支名称

    -u 记住推送地址及分支,下次推送只需要输入git push即可

  4. git remote add 远程仓库地址别名 远程仓库地址 创建远程仓库别名

3.4 拉取操作

3.4.1 克隆仓库

克隆远端数据仓库到本地:git clone 仓库地址

3.4.2 拉取远程仓库中最新的版本

拉取远程仓库中最新的版本:git pull 远程仓库地址 分支名称 前提就是已经有本地仓库了,如果远程仓库的版本高于本地仓库的版本 那么本地仓库是不允许提交到远程仓库的,必须先拉取远程仓库的最新版本,然后再向远程仓库提交

3.5 解决冲突

在多人同时开发一个项目时,如果两个人修改了同一个文件的同一个地方,就会发生冲突。冲突需要人为解决。先提交到远程仓库的人可以提交成功 后提交的会报错,那么就需要后提交的人先拉去远程仓库更新的版,然后两个人修改的都会出现再第二个人的本地,后提交的人进入文件将不需要的删除 或者修改,然后将修改好的最终版本保存到本地仓库,之后就可以提交到远程仓库了。

3.6 跨团队协作

  1. 程序员 C fork仓库
  2. 程序员 C 将仓库克隆在本地进行修改
  3. 程序员 C 将仓库推送到远程
  4. 程序员 C 发起pull reqest
  5. 原仓库作者审核
  6. 原仓库作者合并代码

3.7 ssh免登陆

https协议仓库地址:github.com/itcast-fron…

生成秘钥:ssh-keygen

秘钥存储目录:C:\Users\用户\.ssh

公钥名称:id_rsa.pub

私钥名称:id_rsa

3.8 GIT忽略清单

将不需要被git管理的文件名字添加到此文件中,在执行git命令的时候,git就会忽略这些文件。

git忽略清单文件名称:.gitignore

将工作目录中的文件全部添加到暂存区:git add .