[TOC]
cost Function和regularization
监督学习的目的就是要最小化cost Function. 但这个过程中往往会产生些错误,如overfit,而正则化的存在是通过调整正则化参数而达到想要的目的
L1-norm和L2-norm均可以作为cost function 或 regularization

cost Function
log对数cost Function---logstic regression

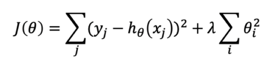
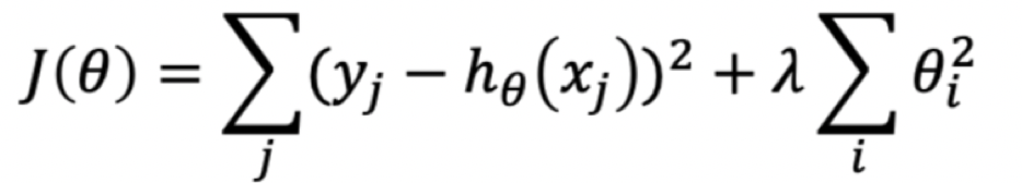
square loss ----- 最小二乘,OLS----L2-norm

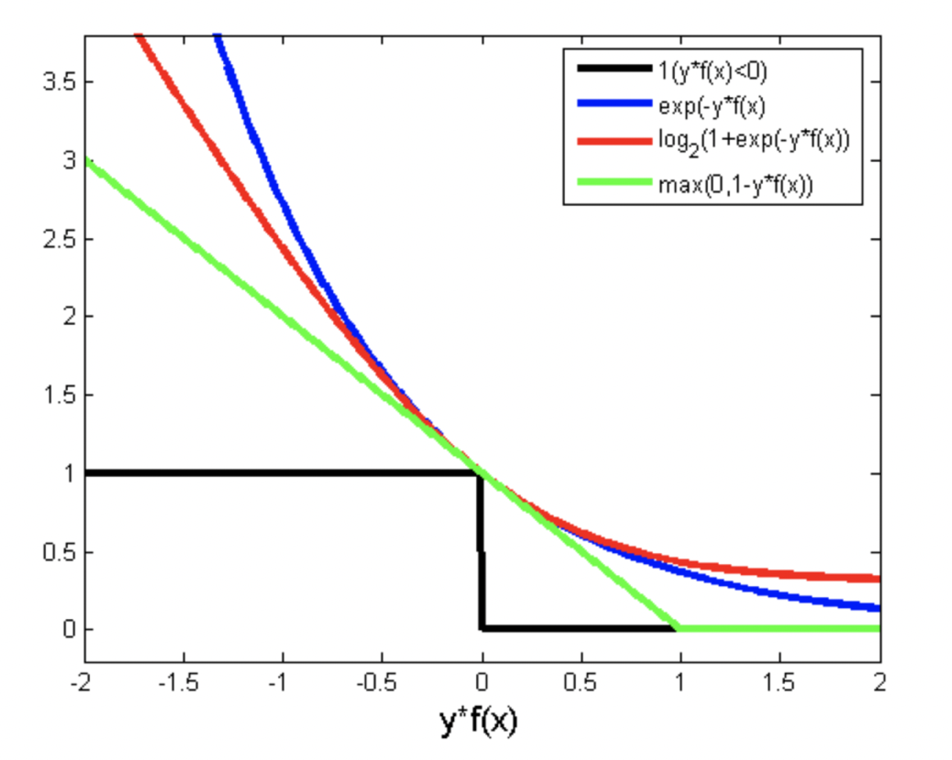
Hinge Loss ----- SVM

Exponential Loss ----- adaBoost

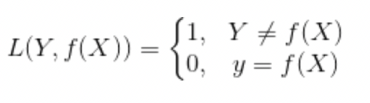
0-1 Loss

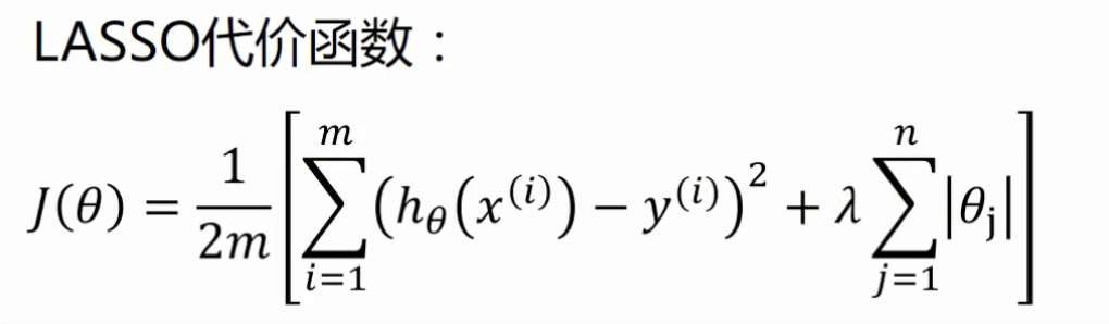
绝对值 Loss ---- L1-norm

对比图 ---- 机器学习基石中,林轩田老师讲过

regularization 函数
将任意向量x 的lp-范数定义为:

L0范数
根据上图有


L1范数
L1范数

L1-regularization作为正则项-----lasso回归


假设有w1,w2两个参数,圆圈代表着cost Function,圆点就是cost Function的最小值,往外增大,每一圈上的数值相等。而图中正方形则是我们的L1正规化式子|x|,那么,当圆形和正方形相交的地方就是我们要求的cost Function+regularization的最小值。 而着这一数值往往存在于坐标轴上,即(w1,0)或(0,w2),这时候就会产生稀疏。L1会倾向于产生少量特征,其他特征都为0,L1范数的最优解比L2少,但往往是最优解。L1会把不重要的参数直接置0
L2范数
L2-norm

L2-norm作为正则项的代价函数----岭回归(ridge)


参考资料
blog.csdn.net/sinat_26917…
zhuanlan.zhihu.com/p/58883095
www.csuldw.com/2016/03/26/…
www.zhihu.com/question/20…
zhuanlan.zhihu.com/p/26884695
www.jianshu.com/p/de05e6745…
www.youtube.com/watch?v=t2E…
www.zhihu.com/question/26…