==为了对信息(特征?)进行量化处理,然后再选定以什么作为标准,期望(纯度越来越高)信息增益越大==
[TOC]
决策树 特征选择
“信息熵”是度量样本集合不确定度(纯度)的最常用的指标
熵---->不确定性的量度
熵越高,不确定性越大
越随机,概率低,熵越大
熵越大,信息量越大
1. 信息熵
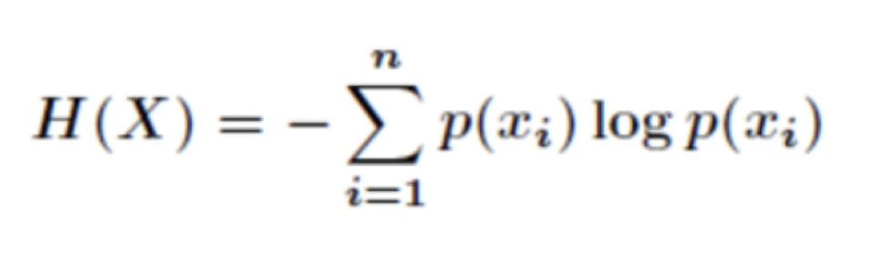
信息熵公式(information entropy):

信息熵代表两个东西:
- 信源的平均信息量
- 编码所有符号X所需的位数(如编码所有X要 3bit/字节)
信息量:(时间发生概率越大,信息量越小,如太阳从东边升起,信息量小)
对于两个独立事件x, y来说
信息量x, y同时发生时的信息量H(x,y) = H(x) + H(y)
而x, y同时发生概率等于P(x,y) = p(x) * p(y)
(当为对数关系时,才有log(xy) = log(x) + log(y))
所以有

为啥是以2为低? 传统。。。。(只要保证0-1之间能正确表达概率越小,信息量越大即可)
为啥是负的关系? 保证为>=0
信息熵指的是对可能出现的信息量的==期望==(也就是不确定性):


2. 条件熵
条件熵定义: X给定条件下,Y的条件概率分布的熵对X的数学期望
这个条件熵,是指在给定某个数(某个变量为某个值)的情况下,另一个变量的熵是多少,变量的不确定性是多少?
就是有条件的信息熵,在信息熵的基础上加上条件
P(y|x) = .....

先把条件分解,再求每个条件下的H(x),以及该条件的概率p(x),然后对应乘起来再相加即可。 具体例子看 zhuanlan.zhihu.com/p/26551798
3. 信息增益
在决策树算法的学习过程中,信息增益是特征选择的一个重要指标,它定义为一个特征能够为分类系统带来多少信息,带来的信息越多,说明该特征越重要,相应的信息增益也就越大。
信息增益 = 信息熵 - 条件熵
计算根节点的信息熵(也就是总体的分类),然后再根据条件求条件熵,相减得到信息增益. (==具体参考参考资料信息熵==)
得到的结果越大,说明信息增益越大
信息增益代表着在一个条件下,信息复杂度(不确定性)减少的程度。
那么对应到决策树结点上,怎么选择特征,就是选了这个特征后,信息增益最大(不确定性减少程度最大),就是分支里的每一个都是一类(err rate最小)
参考资料:
zhuanlan.zhihu.com/p/26486223 ID3
zhuanlan.zhihu.com/p/26760551 信息熵
zhuanlan.zhihu.com/p/26551798 条件熵
zhuanlan.zhihu.com/p/26596036 信息增益
zhuanlan.zhihu.com/p/26454072