鱼羊 发自 凹非寺
量子位 报道 | 公众号 QbitAI

看到这样的街角,是不是想问这是哪一部日本动画电影里的场景?
宫崎骏、新海诚的电影常常从现实场景中获取灵感,这张“日本动漫”截图同样有对应的真实空间。

但这一次,打破次元壁的却不是人类画师,而是一只名叫AnimeGAN的GAN。
繁华街道,车水马龙,几秒即可在二次元场景中复现:


即便是西方街景,在AnimeGAN的画笔下,也能毫无违和转化成日漫画风:


看完AnimeGAN的作品展示,我产生了一个大胆的想法。

看,我的二次元和三次元老婆完美统一了!
风格迁移+生成对抗网络(GAN)
这项来自武汉大学和湖北工业大学的研究,采用的是神经风格迁移 + 生成对抗网络(GAN)的组合。
除了解决生成图像动画风格纹理不明显、丢失原始图像内容这样的问题,AnimeGAN最大的特点是快。
比如上面的石原里美,在V100上跑了1.64s就完成了次元的跃迁。

那么,这个轻量级的GAN有什么样的特别之处呢?
AnimeGAN架构

作者介绍,AnimeGAN是基于CartoonGAN的改进,并提出了一个更加轻量级的生成器架构。
AnimeGAN的生成器可以视作一个对称的编码器-解码器网络,由标准卷积、深度可分离卷积、反向残差块、上采样和下采样模块组成。
为了有效减少生成器的参数数量,AnimeGAN的网络中使用了8个连续且相同的IRB(inverted residual blocks)。
在生成器中,具有1×1卷积核的最后一个卷积层不使用归一化层,跟随其后的是tanh非线性激活函数。

上图中,K为内核大小,C为特征图数量,S为每个卷积层的跨度,H是特征图的高度,W是特征图的宽度,Resize值用于设置特征图大小的插值方法,⊕表示逐元素加法。
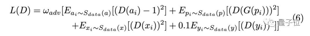
损失函数
论文还提出了三个新的损失函数,以提升风格化的动漫视觉效果。

灰度风格损失:

灰度对抗损失:

生成器网络的颜色重建损失(基于图像像元的损失):

实验结果
与CartoonGAN相比,可以明显看出AnimeGAN参数更少,模型更小,计算量更少,推理速度更快,是一个相对轻量级的GAN。

细节甚至还更胜一筹。

与此前的SOTA方法相比,可以看出,CartoonGAN生成的动漫图像中通常会存在颜色伪影区域(图中红框),ComixGAN生成的动漫图像中通常会存在过度风格化的区域(失去了原始照片的内容,目标纹理难以辨识),而AnimeGAN很好地解决了这些问题。
定性分析,AnimeGAN取得了比SOTA方法更高质量的视觉动漫效果。
目前,AnimeGAN已经开源,数据集和预训练模型均可下载。如果你也想把自己记录的风景用宫崎骏/新海诚/今敏的风格呈现,不妨一试~

One More Thing
或许你已经猜出来了,AnimeGAN的作者们本身也是二次元文化爱好者,出于兴趣开始了这样一个研究项目,真·「我的兴趣就是我的工作」。
论文作者,是湖北工业大学刘罡副教授,陈颉博士,和他们的学生Xin Chen。
此前,刘教授和Xin Chen还研究了一个动漫线稿自动上色模型,GitHub用户@pradeeplam根据他们的论文进行了复现,效果也很不错。

传送门
GitHub地址(含论文):https://github.com/TachibanaYoshino/AnimeGAN
作者知乎专栏:https://zhuanlan.zhihu.com/p/76574388
上色项目:https://github.com/pradeeplam/Anime-Sketch-Coloring-with-Swish-Gated-Residual-UNet
—完—
@量子位 · 追踪AI技术和产品新动态
深有感触的朋友,欢迎赞同、关注、分享三连վ'ᴗ' ի ❤