这两天,广州的天气又开始热了起来,又到了小动物交配的季节,啊呸,又到了一个收割 offer 的季节。年底将至,又到了面试的高峰期,JVM 作为Java 程序员面试绕不过的一道坎儿,它又来了,你准备好了吗?
说说引用
面试官 A:小伙几,上篇我们说到了 JVM 收集的两种算法 —— 引用记数法和可达性分析算法,你对这两种算法的理解很清晰,那么这两种算法有一个很重要的点,就是『引用』,其实无论是引用记数法和可达性分析算法都离不开引用,那么你来谈谈引用吧。
我: 这个啊,简单,引用(reference)就是一块内存存储着另一块内存地址(自信脸
面试官 A:说的倒也没错,但是过于片面,那么你能不能详细讲一下引用呢?
我:上白板,我直接上图吧(熟练的拿起马克笔
面试官 A:那么你能不能详细的说一下这四种引用是在什么情况下出现的呢,它们分别代表了什么意义?
我:先说说强引用吧,我们日常中最常见到的就是强引用(拿起桌上的白板,开始手写代码,就像这样的,就属于强引用,它有多强呢,就是只要强引用存在,GC 永远不会对它下手,嗯,你可以理解为就是范闲,皇上的私生子。
String s = "vi的技术博客";
s = "技不可失";
面试官 A:你也看庆余年啊,话说你看过原著没,结局是什么给我剧透剧透呗。
我:咳咳,老哥这样不太好吧,这是我的微信:cm_950825,有什么咱们私聊好吧,不要砸我 offer 收割机的招牌,别人还以为我是靠裙带关系来着(小声BB
面试官 A:那你来说一下软引用吧。
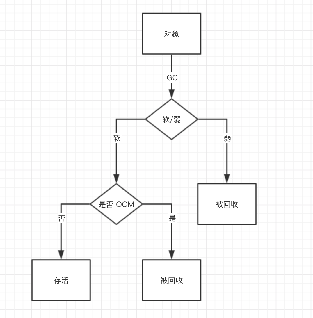
我:我们还是接着来聊庆余年吧,开个玩笑啦,我来一起把软引用和弱引用一起说吧,它们都是用来描述一些非必需的对象,但是弱引用比起软引用来说,更加的弱,怎么说呢,还是看图吧(挥斥方遒的感觉
软引用关联的对象,在系统发生 OOM之前,会把这些对象列入到回收范围之中进行二次回收,如果这次回收仍然没有足够的内存,才会发生 OOM,它是长这样儿式儿的。
Object o = new Object();
SoftReference<Object> soft = new SoftReference<Object>(o);
而弱引用就是个弟弟,只要有 GC,必被回收,这个弟弟是这样的
Object o = new Object();
WeakReference<Object> weak = new WeakReference<Object>(o);
而它们的有一个普遍的应用场景:软引用和弱引用的一个特点是它何时被回收是不可确定的, 因为这是由GC运行的不确定性所确定的. 所以, 一般用它们是有价值被缓存, 而且很容易被重新被构建, 且很消耗内存的对象.
更深的东西我没有再去研究了。。
面试官 A:整挺好,那你来说说最后的这个虚引用吧。
我:虚引用啊,这玩意儿你可以理解为没有这个东西,它的唯一作用就是能在这个对象被 GC 的时候收到一个系统通知。
面试官 A:是这样啊,那行吧,我手机没油了,咱们下次接着聊

面试官上集手机忽然没油了,不知道去哪加了一波油,又回来准备继续和我大战三百回合,尿遁用的如此熟练,一看就不是第一次干这个事情,不是个简单角色啊,我需要提高警惕了。
继续面试
面试官 A :刚刚我的手机没油了,去加了点油(挑眉
我:理解理解,那咱们继续吧?
面试官 A:刚刚我们说到关于引用的一些知识,那么现在有一个问题,我们最开始说到了『可达性分析法』是我们目前正在使用的一个判定方法,那么是否没有连接到 GC Root 的对象都是被要被 GC 回收的呢?
我:话其实也不能这么说(捏衣角),其实还是有挽回的余地的,大道五十,天衍四九。自然会有一丝生机,生机就在于 finalize() 这个神奇的方法中,如果虚拟机发现对象没有连接到 GC Root 上,这个对象就会被打上一个待回收的标签,如果对它不管不顾,它就会抛弃掉,但是如果对它进行一些操作,比如说重写finalize()方法,在里面对它重新进行引用,就可以对这个对象进行最后的救赎。
面试官 A:既然说到了finalize(),你来说说你对这个方法的理解吧~

我:finalize()是Object类中的protected方法,我们通常在子类中继承去完成资源清理的工作,GC 在进行回收的时候回去调用这个方法,但是我们通常不会用这个方法去进行GC,而是去释放一些连接资源或者 IO流。
面试官 A:那么我们为什么通常不会用这个方法去完成 GC 呢?
我:原因啊。。这个我得好好想想,是这样的,finalize()实际上并不能保证资源被回收,因为对象的finalize()方法中可以去做一些操作,使对象重新活过来,这个我刚刚也说过了,而且,由于finalize()方法只会被执行一次,会影响我们的判断,而且它的运行效率非常低,所以我们一般不会用finalize()方法去回收对象。

面试官 A:OK,虽然有些粗略,但是大概说了出来,最后一个问题,你来梳理一下判定一个对象是否为垃圾的流程图吧。
我:好嘞~
-
首先,新建一个对象,这个时候对象是处于存活状态的。
-
当对象变成 GC Roots 不可达的时候,GC 会去判断是否覆盖了
finalize()方法 -
如果没有覆盖,直接进行回收。
-
如果覆盖了,再去判断对象是否执行过
finalize()方法,如果已经执行过,那么也会进行回收。 -
如果覆盖且没有执行过
finalize()方法,会将这个对象放到一个叫做 F-Queue 的队列中去。 -
稍后由一个 JVM 自动建立的、低优先级的 Finalizer 线程去执行
-
这里需要注意:这里的执行并不意味着真的会执行完毕,只是告知虚拟机会触发这个方法,并不保证可以运行完毕。
-
执行完毕之后,如果对象仍然没有被重新引用(拯救),那么就会被回收。
-
如果被重新引用的话,就会被「复活」了。

面试官 A:可以,讲述的还算清楚,我这边考虑一下,你先回去等通知吧
我:好的,老哥再见~

公众号
