深度学习中的线性代数

1,506 阅读4分钟

​前言

本系列文章是 Deep Learning 的读书笔记,本书是深度学习极其优秀的学习参考书,有一定难度,因此本系列文章需要搭配原书一起阅读,效果更佳,如果不看原书,则假设你具有大学高等数学一般水平。

深度学习中的线性代数

易混基础概念

  • 标量:单独一个数
  • 向量:一行/列数
  • 矩阵:二维数组
  • 张量:一般指多维(0 维张量是标量,1 维张量是向量,2 维张量是矩阵)
  • 转置:沿主对角线折叠

在 Numpy 中定义矩阵的方法,以及进行转置的方法:

import numpy as np

a = np.array([[1, 2, 3], 
              [4, 5, 6]])
a = a.reshape(3, 2)
print(a)

[[1 2]
 [3 4]
 [5 6]]

基本算数关系

与高等数学中矩阵相乘内容一致:

a = np.array([[1, 2],
              [3, 4]])
b = np.array([[5, 6],
              [7, 8]])

print(a * b)
print(a.dot(b))
print(np.dot(a, b))
print(np.linalg.inv(a))

# 星(*)
[[ 5 12]
 [21 32]]

# 点乘
[[19 22]
 [43 50]]

# 点乘
[[19 22]
 [43 50]]

# 逆运算
[[-2.   1. ]
 [ 1.5 -0.5]]

范数

范数是一个函数,用于衡量长度大小的一个函数。数学上,范数包括向量范数和矩阵范数。

向量范数

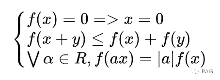
我们先讨论向量的范数。向量是有方向有大小的,这个大小就用范数来表示。

image

严格意义上来说,范数是满足下列性质的任意函数:

image

  • 当 p=2 时,范数(,可简化写成)称为欧几里得范数,可以计算距离。但是我们看到这里有一个开方运算,因此为了去掉这个开方,我们有可能求的是范数的平方,即范数,这就会减少一次开放运算,在后面提到的损失函数中,范数和平方范数都提供了相同的优化目标,因此平方范数更常用,计算起来也更简单,可以通过计算,这速度就很快了。
  • 当 p=1 时,范数()是向量各元素绝对值之和,在机器学习领域,对于区分 0 和非 0 来说,范数比范数更好用。
  • 当 p=0 时,范数实际上不是一个范数,大多数提到范数的地方都会强调说这不是一个真正意义上的范数,用来表示这个向量中有多少个非 0 元素,但是实际上它是非常有用的,在机器学习中的正则化和稀疏编码中有应用。在一个例子中是这么说的:判断用户名和密码是否正确,用户名和密码是两个向量,时,则登录成功,时,用户名和密码有一个错误,时,用户名和密码都错误。我们知道有这么回事,在日后看到相关内容时知道就好了。
  • 当 p 为无穷大时,范数也被称为无穷范数、最大范数。表示向量中元素绝对值中最大的。

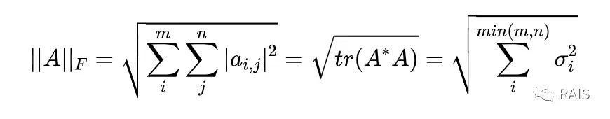
矩阵范数

对于矩阵范数,我们只聊一聊 Frobenius 范数,简单点说就是矩阵中所有元素的平方和再开方,还有其他的定义方法,如下,其中表示的共轭转置,tr为迹;表示的奇异值:

image

奇异值分解

我们熟悉特征分解矩阵中:,奇异分解与之类似:,其中矩阵的行和列的值为、正交矩阵、对角矩阵、正交矩阵,矩阵对角线上的元素称为的奇异值,其中非零奇异值是或的特征值的平方根;称为的左奇异向量,是的特征向量;称为的右奇异向量,是的特征向量。因为奇异矩阵无法求逆,而求逆又是研究矩阵的非常好的方法,因此考虑退而求其次的方法,求伪逆,这是最接近矩阵求逆的,把矩阵化为最舒服的形式去研究其他的性质,伪逆把矩阵化为主对角线上有秩那么多的非零元素,矩阵中其他的元素都是零,这也是统计学中常用的方法,在机器学习中耶非常好用。

定义

  • 对角矩阵:只有主对角线含有非零元素;
  • 单位向量:具有单位范数的向量,;
  • 向量正交:如果两个向量都非零,则夹角 90 度;
  • 标准正交:相互正交、范数为 1;
  • 正交矩阵:行向量和列向量分别标准正交;
  • 特征分解:将矩阵分解为特征向量和特征值;
  • 特征值和特征向量:中的和;
  • 正定、半正定、负定:特征值都正、非负、都负。

总结

线性代数的一大特点是“一大串”,统一的知识体系,相互之间紧密联系,非常漂亮,在深度学习中有重要的应用,还是应该要学好。

如果有必要,强烈建议听一遍课程,可以查看这里,希望你学的开心!

  • 本文首发自公众号:RAIS,期待你的关注。