作者:Benjamin Obi Tayo Ph.D.
翻译:老齐
与本文相关的图书:《数据准备和特征工程》


LASSO回归是对回归算法正则化的一个例子。正则化是一种方法,它通过增加额外参数来解决过拟合问题,从而减少模型的参数、限制复杂度。正则化线性回归最常用的三种方法是岭回归、最小绝对值收敛和选择算子(LASSO)以及弹性网络回归。
在本文中,我将重点介绍LASSO,并且对岭回归和弹性网络回归做简单的扩展。
假设我们想在一个数据集上建立一个正则化回归模型,这个数据集包含n个观察和m个特征。
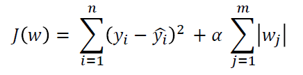
LASSO回归是一个L1惩罚模型,我们只需将L1范数添加到最小二乘的代价函数中:

看这里

通过增大超参数α的值,我们加强了模型的正则化强度,并降低了模型的权重。请注意,没有把截距项w0正则化,还要注意α=0对应于标准回归。
通过调整正则化的强度,某些权重可以变为零,这使得LASSO方法成为一种非常强大的降维技巧。
LASSO算法
- 对于给定的α,只需把代价函数最小化,即可找到权重或模型参数w。
- 然后使用下面的等式计算w(不包括w0)的范数:

案例研究:使用游轮数据集预测船员人数
我们将使用邮轮数据集cruise_ship_info.csv来演示LASSO技术
本案例已经发布在实验平台,请关注微信公众号:老齐教室。并回复:
#姓名+手机号+案例#获取。注意:#必须要有。
1.导入必要的库
import numpy as np
import pandas as pd
import matplotlib.pyplot as plt
2.读取数据集并显示列
df = pd.read_csv("cruise_ship_info.csv")
df.head()

3.选择重要的变量
从《数据准备和特征工程》中的有关阐述可知,协方差矩阵图可用于特征选择和降维。从前述数据集中发现,在6个预测特征( [‘age’, ‘tonnage’, ‘passengers’, ‘length’, ‘cabins’, ‘passenger_density’])中,如果我们假设重要特征与目标变量的相关系数为0.6或更大,那么目标变量“crew”与4个预测变量“tonnage”, “passengers”, “length, and “cabins”的相关性很强。因此,我们能够将特征空间的维数从6减少到4。
cols_selected = ['Tonnage', 'passengers', 'length', 'cabins','crew']
df[cols_selected].head()

X = df[cols_selected].iloc[:,0:4].values # features matrix
y = df[cols_selected]['crew'].values # target variable
4. 实现LASSO回归
a.将数据集分成训练集和测试集
from sklearn.model_selection import train_test_split
X_train, X_test, y_train, y_test = train_test_split( X, y,
test_size=0.4, random_state=0)
b.特征数据区间化
from sklearn.preprocessing import StandardScaler
sc_y = StandardScaler()
sc_x = StandardScaler()
y_std = sc_y.fit_transform(y_train[:, np.newaxis]).flatten()
X_train_std = sc_x.fit_transform(X_train)
X_test_std = sc_x.transform(X_test)
y_train_std = sc_y.fit_transform(y_train[:, np.newaxis]).flatten()
c.实现LASSO回归
from sklearn.linear_model import Lasso
from sklearn.metrics import r2_score
alpha = np.linspace(0.01,0.4,10)
r2_train =[]
r2_test =[]
norm = []
alpha = np.linspace(0.01,0.4,10)
for i in range(10):
lasso = Lasso(alpha = alpha[i])
lasso.fit(X_train_std,y_train_std)
y_train_std = lasso.predict(X_train_std)
y_test_std = lasso.predict(X_test_std)
r2_train = np.append(r2_train,
r2_score(y_train,sc_y.inverse_transform(y_train_std)))
r2_test = np.append(r2_test,
r2_score(y_test,sc_y.inverse_transform(y_test_std)))
norm = np.append(norm,np.linalg.norm(lasso.coef_))
d.可视化结果
plt.figure(figsize=(8,6))
plt.scatter(alpha,r2_train,label='r2_train')
plt.plot(alpha,r2_train)
plt.scatter(alpha,r2_test,label='r2_test')
plt.plot(alpha,r2_test)
plt.scatter(alpha,norm,label = 'norm')
plt.plot(alpha,norm)
plt.ylim(-0.1,1)
plt.xlim(0,.43)
plt.xlabel('alpha', size = 14)
plt.ylabel('R2_score',size = 14)
plt.legend()
plt.show()

我们观察到,随着正则化参数α的增加,回归系数的范数变得越来越小。这意味着更多的回归系数被强制为零,这会增加偏差(模型过度简化)。α保持较低值时,比如α=0.1或更低时,是偏差和方差的最佳平衡点。在决定使用哪种降维方法之前,应将该方法与主成分分析法(PCA)进行比较。
原文链接:towardsdatascience.com/lasso-regre…
搜索技术问答的公众号:老齐教室

在公众号中回复:老齐,可查看所有文章、书籍、课程。