一个交互式可视化Python库——Bokeh

1,315 阅读4分钟

本篇为《Python数据可视化实战》第十篇文章,我们一起学习一个交互式可视化Python库——Bokeh。

Bokeh基础

Bokeh是一个专门针对Web浏览器的呈现功能的交互式可视化Python库。这是Bokeh与其它可视化库最核心的区别。

Bokeh绘图步骤

①获取数据

②构建画布figure()

③添加图层,绘图line,circle,square,scatter,multi_line等;参数co lor,legend

④自定义视觉属性

⑤选择性展示折线数据,建立复选框激活显示,复选框(checkbox)

导入库和数据

import numpy as np
import bokeh
from bokeh.layouts import gridplot
from bokeh.plotting import figure, output_file, show

图表实例

1.散点图

import numpy as np
import bokeh
from bokeh.layouts import gridplot
from bokeh.plotting import figure, output_file, show
# output_file("patch.html")  #输出网页形式
p = figure(plot_width=100, plot_height=100)
#数据
N=9
x=np.linspace(-2,2,N)
y=x**2
sizes=np.linspace(10,20,N)
xpts=np.array([-0.09,-0.12,0.0,0.12,0.09])
ypts=np.array([-0.1,0.02,0.1,0.02,-0.1])

p=figure(title="annular_wedge")
p.annular_wedge(x,y,10,20,0.3,4.1,color="#8888ee",inner_radius_units="screen",outer_radius_units="screen")
# Set to output the plot in the notebook
output_notebook()
show(p)

2.多分类的散点图

from bokeh.sampledata.iris import flowers
from bokeh.plotting import figure
from bokeh.io import show, output_notebook
#配色
colormap={'setosa':'red','versicolor':'green','virginica':'blue'}
colors=[colormap[x] for x in flowers['species']]
#画布
p=figure(title='Tris Morphology')
#绘图
#flowers['petal_length']为x,flowers['petal_width']为y,fill_alpha=0.3为填充透明度
p.circle(flowers['petal_length'],flowers['petal_width'],color=colors,fill_alpha=0.3,size=10)   
#显示
output_notebook()
show(p)

3.数值大小以散点图大小来表示

import numpy as np
from bokeh.sampledata.iris import flowers
from bokeh.plotting import figure
from bokeh.io import show, output_notebook
x=[1,2,3,4]
y=[5,7,9,12]
sizes=np.array(y)+10  #气泡大小
p=figure(title='bubble chart')
p=figure(plot_width=300,plot_height=300)
p.scatter(x,y,marker="circle",size=sizes,color="navy")
output_notebook()
show(p)

4.折线图line

from bokeh.layouts import column, gridplot
from bokeh.models import BoxSelectTool, Div
from bokeh.plotting import figure
from bokeh.io import show, output_notebook
# 数据
x = [1, 2, 3, 4, 5, 6, 7]
y = [6, 7, 2, 4, 5, 10, 4]
# 画布:坐标轴标签,画布大小
p = figure(title="line example", x_axis_label='x', y_axis_label='y', width=400, height=400)
# 画图:数据、图例、线宽
p.line(x, y, legend="Temp.", line_width=2)  # 折线图
# 显示
output_notebook()
show(p)

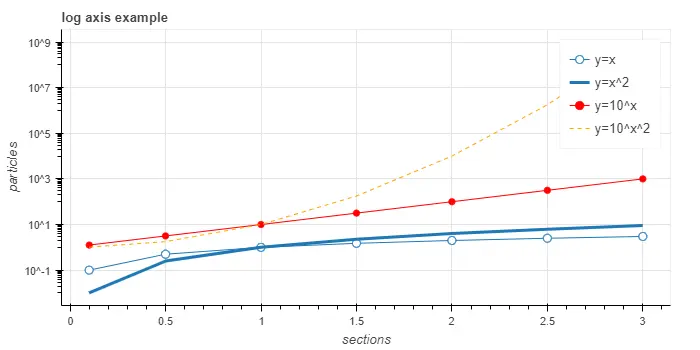
5.同时展示不同函数,以散点和折线方式

# 数据,同时展示不同函数,以散点和折线方式
x = [0.1, 0.5, 1.0, 1.5, 2.0, 2.5, 3.0]
y0 = [i**2 for i in x]
y1 = [10**i for i in x]
y2 = [10**(i**2) for i in x]
# 创建画布
p = figure(
    tools="pan,box_zoom,reset,save",
    y_axis_type="log", title="log axis example",
    x_axis_label='sections', y_axis_label='particles',
    width=700, height=350)  # y轴类型:log指数或linear线性
# 增加图层,绘图
p.line(x, x, legend="y=x")
p.circle(x, x, legend="y=x", fill_color="white", size=8)
p.line(x, y0, legend="y=x^2", line_width=3)
p.line(x, y1, legend="y=10^x", line_color="red")
p.circle(x, y1, legend="y=10^x", fill_color="red", line_color="red", size=6)
p.line(x, y2, legend="y=10^x^2", line_color="orange", line_dash="4 4")
# 显示
output_notebook()
show(p)

6.不同颜色不同形状表示不同类别的事物

# 数据,同时展示不同函数,以散点和折线方式
x = [0.1, 0.5, 1.0, 1.5, 2.0, 2.5, 3.0]
y0 = [i**2 for i in x]
y1 = [10**i for i in x]
y2 = [10**(i**2) for i in x]
# 创建画布
p = figure(
    tools="pan,box_zoom,reset,save",
    y_axis_type="log", title="log axis example",
    x_axis_label='sections', y_axis_label='particles',
    width=700, height=350)  # y轴类型:log指数或linear线性
# 增加图层,绘图
p.line(x, x, legend="y=x")
p.circle(x, x, legend="y=x", fill_color="white", size=8)
p.line(x, y0, legend="y=x^2", line_width=3)
p.line(x, y1, legend="y=10^x", line_color="red")
p.circle(x, y1, legend="y=10^x", fill_color="red", line_color="red", size=6)
p.line(x, y2, legend="y=10^x^2", line_color="orange", line_dash="4 4")
# 显示
output_notebook()
show(p)

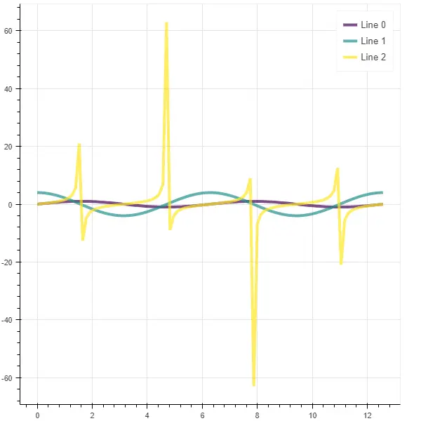
7.不同函数设置创建复选框库选择性显示

x = np.linspace(0, 4 * np.pi, 100)
# 画布
p = figure()
# 折线属性
props = dict(line_width=4, line_alpha=0.7)
# 绘图3条函数序列
l0 = p.line(x, np.sin(x), color=Viridis3[0], legend="Line 0", **props)
l1 = p.line(x, 4 * np.cos(x), color=Viridis3[1], legend="Line 1", **props)
l2 = p.line(x, np.tan(x), color=Viridis3[2], legend="Line 2", **props)
# 复选框激活显示,复选框(checkbox),三个函数序列可选择性展示出来
checkbox = CheckboxGroup(labels=["Line 0", "Line 1", "Line 2"],
                         active=[0, 1, 2], width=100)
#
checkbox.callback = CustomJS(args=dict(l0=l0, l1=l1, l2=l2, checkbox=checkbox), code="""
l0.visible = 0 in checkbox.active;
l1.visible = 1 in checkbox.active;
l2.visible = 2 in checkbox.active;
""")
# 添加图层
layout = row(checkbox, p)
output_notebook()
# 显示
show(layout)

8.收盘价的时序图走势和散点图

import numpy as np
from bokeh.plotting import figure
from bokeh.io import show, output_notebook
from bokeh.layouts import row  #row()的作用是将多个图像以行的方式放到同一张图中
from bokeh.palettes import Viridis3
from bokeh.models import CheckboxGroup, CustomJS  #CheckboxGroup 创建复选框库
# 数据
aapl = np.array(AAPL['adj_close'])
aapl_dates = np.array(AAPL['date'], dtype=np.datetime64)
window_size = 30
window = np.ones(window_size)/float(window_size)
aapl_avg = np.convolve(aapl, window, 'same')
# 画布
p = figure(width=800, height=350, x_axis_type="datetime")
# 图层
p.circle(aapl_dates, aapl, size=4, color='darkgrey', alpha=0.2, legend='close') #散点图
p.line(aapl_dates, aapl_avg, color='red', legend='avg') #折线时序图
# 自定义视觉属性
p.title.text = "AAPL One-Month Average"
p.legend.location = "top_left"
p.grid.grid_line_alpha=0
p.xaxis.axis_label = 'Date'
p.yaxis.axis_label = 'Price'
p.ygrid.band_fill_color="gray"
p.ygrid.band_fill_alpha = 0.1
p.legend.click_policy="hide" # 点击图例显示隐藏数据
# 显示结果
output_notebook()
show(p)