单变量
1、直方图 displot
seaborn.distplot(a, bins=None, hist=True, kde=True, rug=False, fit=None, hist_kws=None, kde_kws=None, rug_kws=None, fit_kws=None, color=None, vertical=False, norm_hist=False, axlabel=None, label=None, ax=None)
bins → 箱数
hist、ked、rug → bool,是否显示箱/密度曲线/数据分布
norm_hist → 直方图是否按照密度来显示,如果为False,显示计数
{hist,kde,rug,fit} _kws:字典,对应部分的各种参数。
vertical → 是否水平显示
fit → 可结合scipy库在图像上做拟合
label → 图例
axlabel → x轴标注




2、核密度估计图 kdeplot
核密度估计的步骤:
每一个观测附近用一个正态分布曲线近似
叠加所有观测的正态分布曲线
归一化
seaborn.kdeplot(data,data2 = None,shade = False,vertical = False,kernel ='gau',bw ='scott',gridsize = 100,cut = 3,clip = None,legend = True,cumulative = False,shade_lowest = True,cbar = False,cbar_ax =无,cbar_kws =无,ax =无, kwargs )
shade: 如果为True,则用颜色填充KDE曲线下方的区域(或者在数据为双变量时用颜色填充的轮廓)
kernel: {‘gau’|‘cos’|‘biw’|‘epa’|‘tri’|‘triw’} 用于拟合的核,双变量值能用高斯核(gau)
bw: {'scott'|'silverman'|标量|一对标量} 确定核的大小,近似理解为拟合程度,bw越大,曲线越平缓。
gridsize:int, 网格中的离散点数
cumulative :是否绘制累积分布
cbar:参数若为True,则会添加一个颜色条(颜色条在双变量kde图像中才有)




核密度分布图不但能绘制单个变量的,也能绘制双变量!


双变量
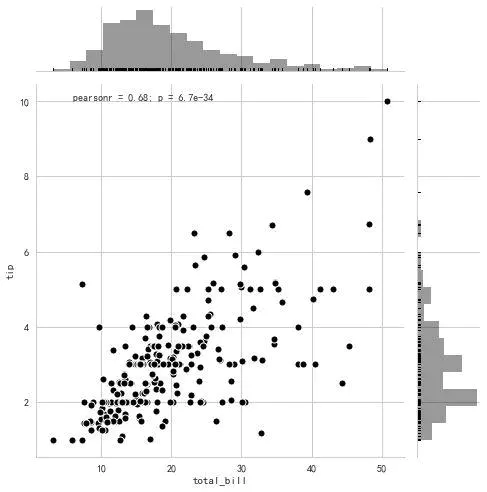
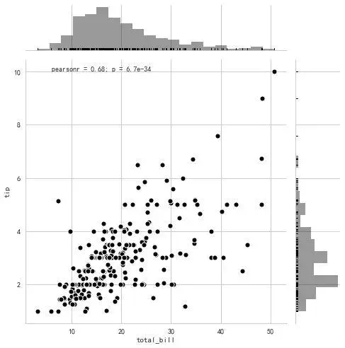
1、jointplot
seaborn.jointplot(x,y,data = None,kind ='scatter',color = None,size = 6,ratio = 5,space = 0.2,dropna = True,xlim = None,ylim = None,joint_kws = None,marginal_kws =None,annot_kws =None, kwargs )
该函数是JoinGrid类的一个轻量级界面,如果想更加灵活的绘制,可以使用JoinGrid函数。
kind: 设置类型:“scatter”、“reg”、“resid”、“kde”、“hex”
size: int, 图像大小(图像自动调整为正方形)
radio: int, 主图与边缘图的高度比
space: # 设置主图和边缘图的间距
{x,y} lim :在绘图之前设置轴限制
{joint,marginal,annot} _kws:dicts 绘图组件的其他关键字参数


seaborn会直接给出变量的皮尔逊相关系数和P值
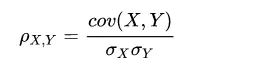
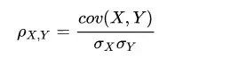
pearson相关系数计算:

p:样本间的差异由抽样误差所致的概率小于p.





2、JointGrid
前面讲过jointplot其实是JoinGrid的一个封装,要想有更灵活的设置,可以使用JoinGrid类。
init(x,y,data = None,size = 6,ratio = 5,space = 0.2,dropna = True,xlim = None,ylim = None)
方法:
plot(joint_func,marginal_func ,annot_func)→ 绘制完整的图形
plot_joint(func,** kwargs)→ 绘制双变量图形
plot_marginals(func,** kwargs)→ 绘制边缘单变量图形
savefig( args,* kwargs)→ 保存
set_axis_labels([xlabel,ylabel])→ 在双变量轴上设置轴标签。






探索两两变量之间的关系
通常我们的数据并不是只有一个或者两个变量,那么对于多个变量,我们常需要探索两两变量之间的分布及关系这是我们就需要使用pairplot函数 或者是PairGrid类。
3、pairplot
seaborn.pairplot(data,hue = None,hue_order = None,palette = None,vars = None,x_vars = None,y_vars = None,kind ='scatter',diag_kind ='auto',markers = None,s = 2.5,aspect = 1,dropna = True,plot_kws = None,diag_kws = None,grid_kws = None)
hue: string(变量名) :颜色将按照指定的变量分类
hue_order :list 设置调色板色调变量级别
palette :调色板
vars : list 变量名称列表,否则使用所有数值型变量的列
markers: 点样式

sepal_length sepal_width petal_length petal_width species
5.1 3.5 1.4 0.2 setosa
4.9 3.0 1.4 0.2 setosa
4.7 3.2 1.3 0.2 setosa
4.6 3.1 1.5 0.2 setosa
5.0 3.6 1.4 0.2 setosa



4、PairGrid
相当于jointplot 和 JointGrid的关系,PairGrid 对矩阵散点图有着更为灵活的控制
init(data,hue = None,hue_order = None,palette = None,hue_kws = None,vars = None,x_vars = None,y_vars = None,diag_sharey = True,size = 2.5,aspect = 1,despine = True,dropna = True)
方法:
add_legend([legend_data,title,label_order])绘制一个图例,可能将其放在轴外并调整图形大小。
map_diag(func,** kwargs):在每个对角线子图上绘制具有单变量函数的图。
map_lower(func,** kwargs):在下对角线子图上绘制具有双变量函数的图。
map_upper(func,** kwargs):在上对角线子图上绘制具有双变量函数的图
map_offdiag(func,** kwargs):在非对角线子图上绘制具有双变量函数的图。
set(** kwargs):在每个子图集Axes上设置属性。

