Gaussian YOLOv3 : 对bbox预测值进行高斯建模输出不确定性,效果拔群 | ICCV 2019

1,184 阅读5分钟

在自动驾驶中,检测模型的速度和准确率都很重要,出于这个原因,论文提出Gaussian YOLOv3。该算法在保持实时性的情况下,通过高斯建模、损失函数重建来学习bbox预测值的不确定性,从而提高准确率和TP,能够显著地降低FP,在KITTI和BDD数据集上分别提升了3.09mAP和3.5mAP。整体的思路类似于添加一个不确定性分支,没有带来过多的计算,设计十分巧妙,推荐大家阅读学习

来源:晓飞的算法工程笔记 公众号

论文: Gaussian YOLOv3: An Accurate and Fast Object Detector Using Localization Uncertainty for Autonomous Driving

Introduction


  在自动驾驶中实时性和准确率都十分重要,论文为了增加检测算法的准确率,以及减少误判(FP)的出现,论文提出了Gaussian YOLOv3。该算法基于实时性框架YOLOv3,对bbox的预测值进行高斯建模输出不确定性(localization uncertainty),并且修改了bbox的loss函数,能够有效地提高准确率且保持实时性
  这里可能会有个比较大的疑问,YOLOv3的objectness是否就可以表示bbox的不确定性。个人认为论文的观点是objectness能表示bbox的不确定性,但又跟论文提到的预测值不确定性不一样。因为objectness为Pr(object) * IoU,主要跟IoU相关,是整体的不确定性,而相同的IoU有不同的相交方法,不能准确地代表单个bbox预测值的不确定性,而文中直接使用高斯模型来表示单个预测值的不确定性,是另外一种更细的维度,可以认为是一种补充

Gaussian YOLOv3


Gaussian modeling

  使用单个高斯模型来分别预测t_xt_yt_wt_h的不确定性,高斯模型计算如公式1,\mu(x)为均值函数,{\sum}(x)为标准差函数,即在当前分布下y的值,越高越好

  为了构建bbox(t_x,t_y,t_w,t_h)每个值的高斯模型,将每个bbox的预测值改为均值\mu和标准差\sum,如图2所示,为\hat{\mu}_x,\hat{\sum}_{t_x},\hat{\mu}_y,\hat{\sum}_{t_y},\hat{\mu}_w,\hat{\sum}_{t_w},\hat{\mu}_h,\hat{\sum}_{t_h},使用这8个预测值构建4个分布,如图2。由于在构建的分布中,均值\hat{\mu}处的值是最大的,所以取均值\hat{\mu}为bbox 4个维度(x,y,w,h)的预测值,用法跟YOLOv3的值的意义一样。标准差则代表不确定性,因为标准差越大,概率分布中均值处的值会越低

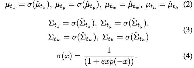
  论文没有直接使用上面提到的\hat{\mu}_x,\hat{\sum}_{t_x},\hat{\mu}_y,\hat{\sum}_{t_y},\hat{\mu}_w,\hat{\sum}_{t_w},\hat{\mu}_h,\hat{\sum}_{t_h},而是根据YOLOv3的bbox计算方法,对输出各预测值前进行sigmoid函数预处理,使其值在[0,1]。处理后,\mu_{t_x}\mu_{t_y}代表bbox的中心点在grid中的偏移坐标,由于YOLO中t_wt_h要过指数函数,值可以有正负,所以不进行sigmoid处理。标准差代表不确定性,直接进行sigmoid函数处理到[0,1]

Reconstruction of loss function

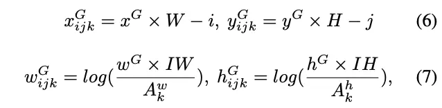
  由于输出是作为高斯模型的参数,bbox的损失函数将修改为负对数似然(negative log likelihood, NLL)损失,objectness和class的损失函数不变。公式5为t_x的NLL损失,WHK分别为特征图宽高的grid数以及anchor数,\mu_{t_x}(x_{ijk}){\sum}_{t_x}(x_{ijk})t_x的值和不确定性,由模型在(i,j)grid的k-th anchor输出。x_{ijk}^Gt_x的GT,公式5计算GT在当前分布下的值,均值越接近GT且标准差越小,则loss越小。为了数值计算不出差,加上\varepsilon=10^{-9}

  GT的计算如公式6和公式7,跟预测值的处理一样,x^Gy^Gw^Gh^G都为GT box的缩放比例,IWIH为输入图片的宽高,A_k^wA_k^hk-th anchor的预设宽高。在YOLOv3中,中心点在grid单元中计算,而bbox的尺寸则基于预设的anchor box,

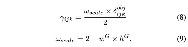
  此外,损失函数还要加上权重\gamma_{ijk},计算如公式8,GT越大,权重越小。其中,\omega_{scale}基于GT box的宽高在图中的比例由公式9计算,\delta_{ijk}^{obj}为指示函数,仅当GT对应的grid中IOU最大的anchor才为1
  另外,论文提到,YOLOv3的bbox使用交叉熵损失,不能够处理噪声数据,噪声会导致很大的loss干扰训练。而论文重新设计的loss则能够对抗噪声数据。邮件咨询作者后,作者回复可以对loss进行均值偏导和标准差偏导看看,还推荐了一篇论文,不过那篇论文直接将不确定性\frac{1}{\sigma}作为loss的系数,和本篇的实现还不太一样,具体大家可以去看看,文末的参考内容有该篇论文地址。强行解释的话,大概是因为一般噪声数据的预测值都会有很高的不确定性且GT远离预测值,即GT在高斯分布的两侧,当标准差越大,两侧的值会增大,使得loss会稍微减小。但是感觉在loss中加一个类似\frac{1}{\sigma}的系数和一个关于\sigma的正则项会更直接点,不知道这样理解是否正确,如果有问题麻烦大家评论或私信讨论一下

Utilization of localization uncertainty

  将objectness、class和Uncertainty结合作为最后的分数,计算如公式10,Uncertainty_{aver}为4个预测结果的平均不确定性。由于将box的不确定性考虑到最终的分数中,因此可以大量降低FP结果

Experimental Results


  在不同的数据集上每个detection layer的anchor设计如表1

Validation in utilizing localization uncertainty

Performance evaluation of Gaussian YOLOv3

Visual and numerical evaluation of FP and TP

  置信度为0.5

CONCLUSION


  在自动驾驶中,检测模型的速度和准确率都很重要,出于这个原因,论文提出Gaussian YOLOv3。该算法在保持实时性的情况下,通过高斯建模、损失函数重建来学习bbox预测值的不确定性,从而提高准确率和TP,能够显著地降低FP,在KITTI和BDD数据集上分别提升了3.09mAP和3.5mAP。整体的思路类似于添加一个不确定性分支,没有带来过多的计算,设计十分巧妙,推荐大家阅读学习

参考内容

如果本文对你有帮助,麻烦点个赞或在看呗~
更多内容请关注 微信公众号【晓飞的算法工程笔记】

work-life balance.