LeetCode 1382. Balance a Binary Search Tree将二叉搜索树变平衡【Medium】【Python】【二叉树】
Problem
Given a binary search tree, return a balanced binary search tree with the same node values.
A binary search tree is balanced if and only if the depth of the two subtrees of every node never differ by more than 1.
If there is more than one answer, return any of them.
Example 1:


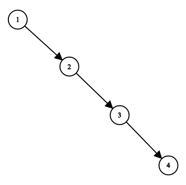
Input: root = [1,null,2,null,3,null,4,null,null]
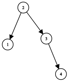
Output: [2,1,3,null,null,null,4]
Explanation: This is not the only correct answer, [3,1,4,null,2,null,null] is also correct.
Constraints:
- The number of nodes in the tree is between
1and10^4. - The tree nodes will have distinct values between
1and10^5.
问题
给你一棵二叉搜索树,请你返回一棵 平衡后 的二叉搜索树,新生成的树应该与原来的树有着相同的节点值。
如果一棵二叉搜索树中,每个节点的两棵子树高度差不超过 1 ,我们就称这棵二叉搜索树是 平衡的 。
如果有多种构造方法,请你返回任意一种。
示例:


输入:root = [1,null,2,null,3,null,4,null,null]
输出:[2,1,3,null,null,null,4]
解释:这不是唯一的正确答案,[3,1,4,null,2,null,null] 也是一个可行的构造方案。
提示:
- 树节点的数目在
1到10^4之间。 - 树节点的值互不相同,且在
1到10^5之间。
思路
二叉树
先把二叉搜索树转为数组,再二分建树。
Python3代码
# Definition for a binary tree node.
# class TreeNode:
# def __init__(self, x):
# self.val = x
# self.left = None
# self.right = None
from typing import List
class Solution:
def balanceBST(self, root: TreeNode) -> TreeNode:
if not root:
return
return self.build(self.dfs(root))
# 二叉搜索树转数组
def dfs(self, root):
if not root:
return []
return self.dfs(root.left) + [root.val] + self.dfs(root.right)
# 数组二分构建平衡二叉树
def build(self, nums: List[int]) -> TreeNode:
if not nums:
return None
mid = len(nums) // 2
node = TreeNode(nums[mid])
left = nums[:mid]
right = nums[mid+1:]
node.left = self.build(left)
node.right = self.build(right)
return node