【python】贝叶斯公式浅析

606 阅读2分钟

贝叶斯决策

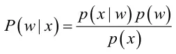
首先我们都知道的经典贝叶斯公式

其中:p(w) 为先验概率,表示每种类别分布的概率;

p(x|w)为类条件概率,表示在某种类别的前提下,某事发生的概率;

p(w|x)为后验概率,表示某事发生了,并且它属于某一类别的概率;

有了这个后验概率,我们就可以对样本进行分类。后验概率越大,说明某事物属于这个类别的可能性越大,我们越有利有把它归到这个类别下。

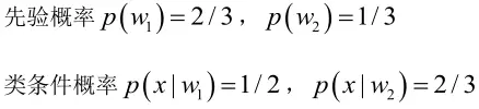
我们来看一个直观的例子:已知:在夏季,某公园男性穿凉鞋的概率为1/2,女性穿凉鞋的概率为2/3,并且该公园中男女比例通常为2:1,问题:若你在公园中随机遇到一个穿凉鞋的人,请问他的性别为男性或者女性的概率分别为多少?

从问题上看,就是上面将的,某件事发生了,它束语某一类别的概率是多少,即后验概率。

设:w1=男性,w2=女性,x=穿凉鞋

由已知可得:

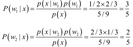
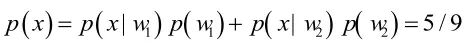
男性和女性穿凉鞋相互独立,所以

(若只考虑分类问题,只需要比较后验概率的大小,取值并不重要),由贝叶斯公式算出:

问题引出

但是实际问题中并不都是这样幸运的,我们能获得的数据可能只有有限数目的样本数据,而 先验概率p(wi)和类条件概率(各类的总体分布)p(x|wi)都是未知的。据仅有的样本数据进行分类时,一种可行的办法是我们需要先对先验概率和类条件概率进行估计,然后再套用贝叶斯分类器。

先验概率的估计较简单,1、每个样本所属的自然状态都是已知的(有监督学习);2、依靠经验;3、用训练样本中各类出现的频率估计。

类条件概率的估计(非常难),原因包括:概率密度函数包含了一个随机变量的全部信息;样本数据可能不多;特征向量x的维度可能很大等等。总之要直接估计类条件概率的密度函数很难。解决的办法就是,把估计完全未知的概率密度p(x|wi)转化为估计参数。

这里就将概率密度估计问题转化为参数估计问题,极大似然估计就是一种参数估计方法。

当然了,概率密度函数的选取很重要,模型正确,在样本区域无穷时,我们会得到较准确的估计值,如果模型都错了,那估计半天的参数,肯定也没啥意义了。