【LeetCode】543. 二叉树的直径

3,055 阅读1分钟

题目链接:

543. 二叉树的直径

题目描述:

给定一棵二叉树,你需要计算它的直径长度。一棵二叉树的直径长度是任意两个结点路径长度中的最大值。这条路径可能穿过根结点。

注意:两结点之间的路径长度是以它们之间边的数目表示。

示例:

给定二叉树:

         1
        / \
       2   3
      / \     
     4   5    

返回 3, 它的长度是路径 [4,2,1,3] 或者 [5,2,1,3]。

思路:

首先需要明确二叉树的直径是什么,不然就容易犯这样的错误:直径 = 左子树高度 + 右子树高度

题目中已经说明:二叉树的直径长度是任意两个结点路径长度中的最大值。也就是说,这条路径可能经过根结点,也可能不经过根节点。

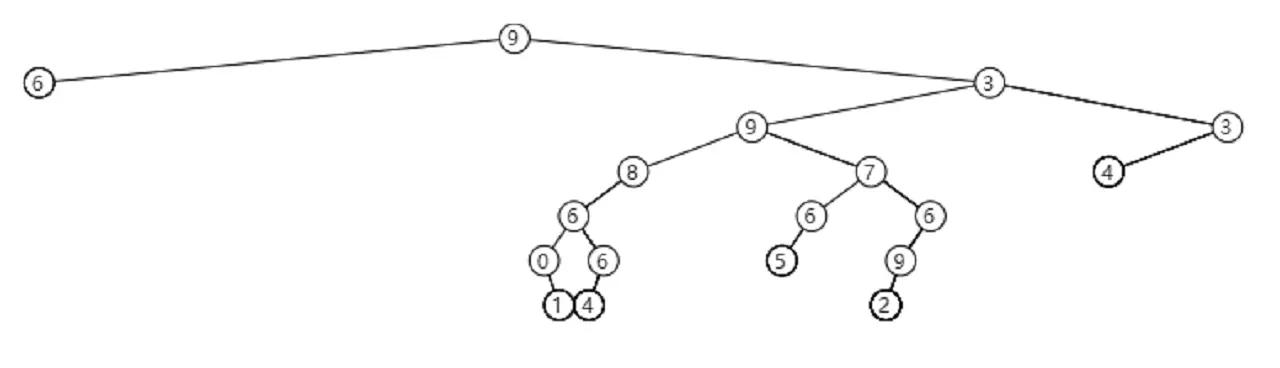
二叉树

如图所示,左子树高度 + 右子树高度 = 7,而正确答案应该是 8。直径最长路径之一:[1, 0, 6, 8, 9, 7, 6, 9, 2]

因此不能简单地将根节点的左右子树高度相加,而应该遍历所有节点,记录以此节点为根的子树的直径:左子树高度 + 右子树高度,取最大值。

root的直径 = root左子树高度 + root右子树高度

root的高度 = max {root左子树高度, root右子树高度} + 1

代码实现:

/**
 * Definition for a binary tree node.
 * public class TreeNode {
 *     int val;
 *     TreeNode left;
 *     TreeNode right;
 *     TreeNode(int x) { val = x; }
 * }
 */
class Solution {
    int result = 0;

    public int diameterOfBinaryTree(TreeNode root) {
        depth(root);
        return result;
    }
    
    private int depth(TreeNode node) {
        // 递归出口
        if (node == null) {
            return 0;
        }
        // 递归
        int leftDepth = depth(node.left);
        int rightDepth = depth(node.right);
        result = Math.max(result, leftDepth + rightDepth);
        // 返回以此节点为根的树的深度
        return Math.max(leftDepth, rightDepth) + 1;
    }
}