快速注册
luc 2014-04-01
19:33:29 Bloom filter主要用于判断一个元素是否存在于某个集合。得益于其简单的原理和极高的空间效率,被广泛用于海量数据处理,比如Web爬虫、垃圾邮件过滤、拼写检测等。
网络上关于Bloom filter的文章很多,文章尾部有列出一些。为了知其所以然,可以先读一下这些文章。其中比较有意思的是Bloom filter的误判概率计算、最优哈希函数个数、位数组大小选择问题,使用概率分布来判定哈希函数质量也是感兴趣的内容,日后再看。
Bloom filter误判指某个元素并不存在于集合中,却判定为存在于集合中。意即某元素经过k个哈希运算所得的索引都为1。本质是哈希碰撞。
假设:所选哈希函数生成的值是完全随机的,意即哈希函数输出的索引值落在m位数组上每一位的概率是相等的;kn < m(n为元素个数),则:
1、一个bit位被置为1的概率
2、一个bit位没有被置为1的概率
3、一个元素k次哈希后都没有把一个bit位置为1的概率
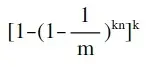
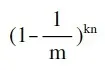
4、n个元素都经过k次哈希后没把一个bit位置为1的概率
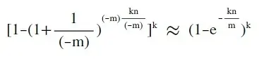
5、如果一个元素存在误报,意即这个元素经过k次哈希后得到的k个索引全部都是1,概率是
6、根据自然对数底数e的定义,可以近似表示为:
带入k、m、n即可计算出误判概率。
www.cnblogs.com/yuyijq/arch…
www.programlife.net/bloom-filte…
blog.csdn.net/v_july_v/ar…
blog.csdn.net/liuaigui/ar…
常数e很神奇,目前我觉得对其最粗暴有力的解释是“增长的极限”。有本 《e的故事》讲得很详细。 数学 概率 布隆过滤 阅读全文 赞 转发 微信扫码
luc (北京)
Bloom filter误判概率计算
网络上关于Bloom filter的文章很多,文章尾部有列出一些。为了知其所以然,可以先读一下这些文章。其中比较有意思的是Bloom filter的误判概率计算、最优哈希函数个数、位数组大小选择问题,使用概率分布来判定哈希函数质量也是感兴趣的内容,日后再看。
Bloom filter误判指某个元素并不存在于集合中,却判定为存在于集合中。意即某元素经过k个哈希运算所得的索引都为1。本质是哈希碰撞。
假设:所选哈希函数生成的值是完全随机的,意即哈希函数输出的索引值落在m位数组上每一位的概率是相等的;kn < m(n为元素个数),则:
1、一个bit位被置为1的概率
2、一个bit位没有被置为1的概率
3、一个元素k次哈希后都没有把一个bit位置为1的概率
4、n个元素都经过k次哈希后没把一个bit位置为1的概率
5、如果一个元素存在误报,意即这个元素经过k次哈希后得到的k个索引全部都是1,概率是
6、根据自然对数底数e的定义,可以近似表示为:
带入k、m、n即可计算出误判概率。
www.cnblogs.com/yuyijq/arch…
www.programlife.net/bloom-filte…
blog.csdn.net/v_july_v/ar…
blog.csdn.net/liuaigui/ar…
常数e很神奇,目前我觉得对其最粗暴有力的解释是“增长的极限”。有本 《e的故事》讲得很详细。 数学 概率 布隆过滤 阅读全文 赞 转发 微信扫码
- 新浪微博
- QQ好友
- QQ空间
Logic, Probability, Beauty. Firmness, Utility, Delight. B站:https:...
由谷歌提供的广告luc的最新日记 · · · · · · ( 全部 )
- 我在豆瓣发视频,100天,86万播放 (16人喜欢)
- 2018年我的游戏Top10 (10人喜欢)
- 2018,重新开始学画画 (581人喜欢)
- 拯救脱发,我的植发经历 (343人喜欢)
- 化妆品怎么了,不就认个化妆品么,咱虚过谁?哎...... (20人喜欢)
热门话题 · · · · · · ( 去话题广场 )
- 疫情时期复工见闻 75.6万次浏览
- 我和我的天才女友 33.0万次浏览
- 我读京派文学 5.6万次浏览
- 你有什么一直想写的故事 新话题 · 3.3万次浏览
- 文艺作品中打动你的女性形象 5387次浏览
- 你最想保存的互联网记忆 新话题 · 5120次浏览