深入了解Redis底层数据结构

565 阅读20分钟

说明

说到Redis的数据结构,我们大概会很快想到Redis的5种常见数据结构:字符串(String)、列表(List)、散列(Hash)、集合(Set)、有序集合(Sorted Set),以及他们的特点和运用场景。不过它们是Redis对外暴露的数据结构,用于API的操作,而组成它们的底层基础数据结构又是什么呢

  • 简单动态字符串(SDS)
  • 链表
  • 字典
  • 跳跃表
  • 整数集合
  • 压缩列表

Redis的GitHub地址github.com/antirez/red…

简单动态字符串(SDS)

Redis是用C语言写的,但是Redis并没有使用C的字符串表示(C是字符串是以\0空字符结尾的字符数组),而是自己构建了一种简单动态字符串(simple dynamic string,SDS)的抽象类型,并作为Redis的默认字符串表示

在Redis中,包含字符串值的键值对底层都是用SDS实现的

SDS的定义

SDS的结构定义在sds.h文件中,SDS的定义在Redis 3.2版本之后有一些改变,由一种数据结构变成了5种数据结构,会根据SDS存储的内容长度来选择不同的结构,以达到节省内存的效果,具体的结构定义,我们看以下代码

// 3.0
struct sdshdr {
    // 记录buf数组中已使用字节的数量,即SDS所保存字符串的长度
    unsigned int len;
    // 记录buf数据中未使用的字节数量
    unsigned int free;
    // 字节数组,用于保存字符串
    char buf[];
};

// 3.2
/* Note: sdshdr5 is never used, we just access the flags byte directly.
 * However is here to document the layout of type 5 SDS strings. */
struct __attribute__ ((__packed__)) sdshdr5 {
    unsigned char flags; /* 3 lsb of type, and 5 msb of string length */
    char buf[];
};
struct __attribute__ ((__packed__)) sdshdr8 {
    uint8_t len; /* used */
    uint8_t alloc; /* excluding the header and null terminator */
    unsigned char flags; /* 3 lsb of type, 5 unused bits */
    char buf[];
};
struct __attribute__ ((__packed__)) sdshdr16 {
    uint16_t len; /* used */
    uint16_t alloc; /* excluding the header and null terminator */
    unsigned char flags; /* 3 lsb of type, 5 unused bits */
    char buf[];
};
struct __attribute__ ((__packed__)) sdshdr32 {
    uint32_t len; /* used */
    uint32_t alloc; /* excluding the header and null terminator */
    unsigned char flags; /* 3 lsb of type, 5 unused bits */
    char buf[];
};
struct __attribute__ ((__packed__)) sdshdr64 {
    uint64_t len; /* used */
    uint64_t alloc; /* excluding the header and null terminator */
    unsigned char flags; /* 3 lsb of type, 5 unused bits */
    char buf[];
};
复制代码

3.2版本之后,会根据字符串的长度来选择对应的数据结构

static inline char sdsReqType(size_t string_size) {
    if (string_size < 1<<5)  // 32
        return SDS_TYPE_5;
    if (string_size < 1<<8)  // 256
        return SDS_TYPE_8;
    if (string_size < 1<<16)   // 65536 64k
        return SDS_TYPE_16;
    if (string_size < 1ll<<32)  // 4294967296 4G
        return SDS_TYPE_32;
    return SDS_TYPE_64;
}
复制代码

下面以3.2版本的sdshdr8看一个示例

  • len:记录当前已使用的字节数(不包括'\0'),获取SDS长度的复杂度为O(1)
  • alloc:记录当前字节数组总共分配的字节数量(不包括'\0'
  • flags:标记当前字节数组的属性,是sdshdr8还是sdshdr16等,flags值的定义可以看下面代码
  • buf:字节数组,用于保存字符串,包括结尾空白字符'\0'
// flags值定义
#define SDS_TYPE_5  0
#define SDS_TYPE_8  1
#define SDS_TYPE_16 2
#define SDS_TYPE_32 3
#define SDS_TYPE_64 4
复制代码

上面的字节数组的空白处表示未使用空间,是Redis优化的空间策略,给字符串的操作留有余地,保证安全提高效率

SDS与C字符串的区别

C语言使用长度为N+1的字符数组来表示长度为N的字符串,字符数组的最后一个元素为空字符'\0',但是这种简单的字符串表示方法并不能满足Redis对于字符串在安全性、效率以及功能方面的要求,那么使用SDS,会有哪些好处呢

参考于《Redis设计与实现》

常数复杂度获取字符串长度

C字符串不记录字符串长度,获取长度必须遍历整个字符串,复杂度为O(N);而SDS结构中本身就有记录字符串长度的len属性,所有复杂度为O(1)。Redis将获取字符串长度所需的复杂度从O(N)降到了O(1),确保获取字符串长度的工作不会成为Redis的性能瓶颈

杜绝缓冲区溢出,减少修改字符串时带来的内存重分配次数

C字符串不记录自身的长度,每次增长或缩短一个字符串,都要对底层的字符数组进行一次内存重分配操作。如果是拼接append操作之前没有通过内存重分配来扩展底层数据的空间大小,就会产生缓存区溢出;如果是截断trim操作之后没有通过内存重分配来释放不再使用的空间,就会产生内存泄漏

而SDS通过未使用空间解除了字符串长度和底层数据长度的关联,3.0版本是用free属性记录未使用空间,3.2版本则是alloc属性记录总的分配字节数量。通过未使用空间,SDS实现了空间预分配惰性空间释放两种优化的空间分配策略,解决了字符串拼接和截取的空间问题

二进制安全

C字符串中的字符必须符合某种编码,除了字符串的末尾,字符串里面是不能包含空字符的,否则会被认为是字符串结尾,这些限制了C字符串只能保存文本数据,而不能保存像图片这样的二进制数据

而SDS的API都会以处理二进制的方式来处理存放在buf数组里的数据,不会对里面的数据做任何的限制。SDS使用len属性的值来判断字符串是否结束,而不是空字符

兼容部分C字符串函数

虽然SDS的API是二进制安全的,但还是像C字符串一样以空字符结尾,目的是为了让保存文本数据的SDS可以重用一部分C字符串的函数

C字符串与SDS对比

C字符串SDS
获取字符串长度复杂度为O(N)获取字符串长度复杂度为O(1)
API是不安全的,可能会造成缓冲区溢出API是安全的,不会造成缓冲区溢出
修改字符串长度必然会需要执行内存重分配修改字符串长度N次最多会需要执行N次内存重分配
只能保存文本数据可以保存文本或二进制数据
可以使用所有<string.h>库中的函数可以使用一部分<string.h>库中的函数

链表

链表是一种比较常见的数据结构了,特点是易于插入和删除、内存利用率高、且可以灵活调整链表长度,但随机访问困难。许多高级编程语言都内置了链表的实现,但是C语言并没有实现链表,所以Redis实现了自己的链表数据结构

链表在Redis中应用的非常广,列表(List)的底层实现就是链表。此外,Redis的发布与订阅、慢查询、监视器等功能也用到了链表

链表节点和链表的定义

链表上的节点定义如下,adlist.h/listNode

typedef struct listNode {
    // 前置节点
    struct listNode *prev;
    // 后置节点
    struct listNode *next;
    // 节点值
    void *value;
} listNode;
复制代码

链表的定义如下,adlist.h/list

typedef struct list {
    // 链表头节点
    listNode *head;
    // 链表尾节点
    listNode *tail;
    // 节点值复制函数
    void *(*dup)(void *ptr);
    // 节点值释放函数
    void (*free)(void *ptr);
    // 节点值对比函数
    int (*match)(void *ptr, void *key);
    // 链表所包含的节点数量
    unsigned long len;
} list;
复制代码

每个节点listNode可以通过prevnext指针分布指向前一个节点和后一个节点组成双端链表,同时每个链表还会有一个list结构为链表提供表头指针head、表尾指针tail、以及链表长度计数器len,还有三个用于实现多态链表的类型特定函数

  • dup:用于复制链表节点所保存的值
  • free:用于释放链表节点所保存的值
  • match:用于对比链表节点所保存的值和另一个输入值是否相等

链表结构图

链表特性

  • 双端链表:带有指向前置节点和后置节点的指针,获取这两个节点的复杂度为O(1)
  • 无环:表头节点的prev和表尾节点的next都指向NULL,对链表的访问以NULL结束
  • 链表长度计数器:带有len属性,获取链表长度的复杂度为O(1)
  • 多态:链表节点使用 void*指针保存节点值,可以保存不同类型的值

字典

字典,又称为符号表(symbol table)、关联数组(associative array)或映射(map),是一种用于保存键值对(key-value pair)的抽象数据结构。字典中的每一个键都是唯一的,可以通过键查找与之关联的值,并对其修改或删除

Redis的键值对存储就是用字典实现的,散列(Hash)的底层实现之一也是字典

我们直接来看一下字典是如何定义和实现的吧

字典的定义实现

Redis的字典底层是使用哈希表实现的,一个哈希表里面可以有多个哈希表节点,每个哈希表节点中保存了字典中的一个键值对

哈希表结构定义,dict.h/dictht

typedef struct dictht {
    // 哈希表数组
    dictEntry **table;
    // 哈希表大小
    unsigned long size;
    // 哈希表大小掩码,用于计算索引值,等于size-1
    unsigned long sizemask;
    // 哈希表已有节点的数量
    unsigned long used;
} dictht;
复制代码

哈希表是由数组table组成,table中每个元素都是指向dict.h/dictEntry结构的指针,哈希表节点的定义如下

typedef struct dictEntry {
    // 键
    void *key;
    // 值
    union {
        void *val;
        uint64_t u64;
        int64_t s64;
        double d;
    } v;
    // 指向下一个哈希表节点,形成链表
    struct dictEntry *next;
} dictEntry;
复制代码

其中key是我们的键;v是键值,可以是一个指针,也可以是整数或浮点数;next属性是指向下一个哈希表节点的指针,可以让多个哈希值相同的键值对形成链表,解决键冲突问题

最后就是我们的字典结构,dict.h/dict

typedef struct dict {
    // 和类型相关的处理函数
    dictType *type;
    // 私有数据
    void *privdata;
    // 哈希表
    dictht ht[2];
    // rehash 索引,当rehash不再进行时,值为-1
    long rehashidx; /* rehashing not in progress if rehashidx == -1 */
    // 迭代器数量
    unsigned long iterators; /* number of iterators currently running */
} dict;
复制代码

type属性和privdata属性是针对不同类型的键值对,用于创建多类型的字典,type是指向dictType结构的指针,privdata则保存需要传给类型特定函数的可选参数,关于dictType结构和类型特定函数可以看下面代码

typedef struct dictType {
    // 计算哈希值的行数
    uint64_t (*hashFunction)(const void *key);
    // 复制键的函数
    void *(*keyDup)(void *privdata, const void *key);
    // 复制值的函数
    void *(*valDup)(void *privdata, const void *obj);
    // 对比键的函数
    int (*keyCompare)(void *privdata, const void *key1, const void *key2);
    // 销毁键的函数
    void (*keyDestructor)(void *privdata, void *key);
    // 销毁值的函数
    void (*valDestructor)(void *privdata, void *obj);
} dictType;
复制代码

dictht属性是两个元素的数组,包含两个dictht哈希表,一般字典只使用ht[0]哈希表,ht[1]哈希表会在对ht[0]哈希表进行rehash(重哈希)的时候使用,即当哈希表的键值对数量超过负载数量过多的时候,会将键值对迁移到ht[1]

rehashidx也是跟rehash相关的,rehash的操作不是瞬间完成的,rehashidx记录着rehash的进度,如果目前没有在进行rehash,它的值为-1

结合上面的几个结构,我们来看一下字典的结构图(没有在进行rehash)

在这里,哈希算法和rehash(重新散列)的操作不再详细说明,有机会以后单独介绍

当一个新的键值对要添加到字典中时,会根据键值对的键计算出哈希值和索引值,根据索引值放到对应的哈希表上,即如果索引值为0,则放到ht[0]哈希表上。当有两个或多个的键分配到了哈希表数组上的同一个索引时,就发生了键冲突的问题,哈希表使用链地址法来解决,即使用哈希表节点的next指针,将同一个索引上的多个节点连接起来。当哈希表的键值对太多或太少,就需要对哈希表进行扩展和收缩,通过rehash(重新散列)来执行

跳跃表

一个普通的单链表查询一个元素的时间复杂度为O(N),即便该单链表是有序的。使用跳跃表(SkipList)是来解决查找问题的,它是一种有序的数据结构,不属于平衡树结构,也不属于Hash结构,它通过在每个节点维持多个指向其他节点的指针,而达到快速访问节点的目的

跳跃表是有序集合(Sorted Set)的底层实现之一,如果有序集合包含的元素比较多,或者元素的成员是比较长的字符串时,Redis会使用跳跃表做有序集合的底层实现

跳跃表的定义

跳跃表其实可以把它理解为多层的链表,它有如下的性质

  • 多层的结构组成,每层是一个有序的链表
  • 最底层(level 1)的链表包含所有的元素
  • 跳跃表的查找次数近似于层数,时间复杂度为O(logn),插入、删除也为 O(logn)
  • 跳跃表是一种随机化的数据结构(通过抛硬币来决定层数)

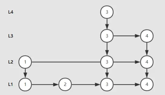
那么如何来理解跳跃表呢,我们从最底层的包含所有元素的链表开始,给定如下的链表

然后我们每隔一个元素,把它放到上一层的链表当中,这里我把它叫做上浮(注意,科学的办法是抛硬币的方式,来决定元素是否上浮到上一层链表,我这里先简单每隔一个元素上浮到上一层链表,便于理解),操作完成之后的结构如下

查找元素的方法是这样,从上层开始查找,大数向右找到头,小数向左找到头,例如我要查找17,查询的顺序是:13 -> 46 -> 22 -> 17;如果是查找35,则是 13 -> 46 -> 22 -> 46 -> 35;如果是54,则是 13 -> 46 -> 54

上面是查找元素,如果是添加元素,是通过抛硬币的方式来决定该元素会出现到多少层,也就是说它会有 1/2的概率出现第二层、1/4 的概率出现在第三层......

跳跃表节点的删除和添加都是不可预测的,很难保证跳表的索引是始终均匀的,抛硬币的方式可以让大体上是趋于均匀的

假设我们已经有了上述例子的一个跳跃表了,现在往里面添加一个元素18,通过抛硬币的方式来决定它会出现的层数,是正面就继续,反面就停止,假如我抛了2次硬币,第一次为正面,第二次为反面

跳跃表的删除很简单,只要先找到要删除的节点,然后顺藤摸瓜删除每一层相同的节点就好了

跳跃表维持结构平衡的成本是比较低的,完全是依靠随机,相比二叉查找树,在多次插入删除后,需要Rebalance来重新调整结构平衡

跳跃表的实现

Redis的跳跃表实现是由redis.h/zskiplistNoderedis.h/zskiplist(3.2版本之后redis.h改为了server.h)两个结构定义,zskiplistNode定义跳跃表的节点,zskiplist保存跳跃表节点的相关信息

/* ZSETs use a specialized version of Skiplists */
typedef struct zskiplistNode {
    // 成员对象 (robj *obj;)
    sds ele;
    // 分值
    double score;
    // 后退指针
    struct zskiplistNode *backward;
    // 层
    struct zskiplistLevel {
        // 前进指针
        struct zskiplistNode *forward;
        // 跨度
        // 跨度实际上是用来计算元素排名(rank)的,在查找某个节点的过程中,将沿途访过的所有层的跨度累积起来,得到的结果就是目标节点在跳跃表中的排位
        unsigned long span;
    } level[];
} zskiplistNode;

typedef struct zskiplist {
    // 表头节点和表尾节点
    struct zskiplistNode *header, *tail;
    // 表中节点的数量
    unsigned long length;
    // 表中层数最大的节点的层数
    int level;
} zskiplist;
复制代码

zskiplistNode结构

  • level数组(层):每次创建一个新的跳表节点都会根据幂次定律计算出level数组的大小,也就是次层的高度,每一层带有两个属性-前进指针跨度,前进指针用于访问表尾方向的其他指针;跨度用于记录当前节点与前进指针所指节点的距离(指向的为NULL,阔度为0)
  • backward(后退指针):指向当前节点的前一个节点
  • score(分值):用来排序,如果分值相同看成员变量在字典序大小排序
  • objele:成员对象是一个指针,指向一个字符串对象,里面保存着一个sds;在跳表中各个节点的成员对象必须唯一,分值可以相同

zskiplist结构

  • headertail表头节点和表尾节点
  • length表中节点的数量
  • level表中层数最大的节点的层数

假设我们现在展示一个跳跃表,有四个节点,节点的高度分别是2、1、4、3

zskiplist的头结点不是一个有效的节点,它有ZSKIPLIST_MAXLEVEL层(32层),每层的forward指向该层跳跃表的第一个节点,若没有则为NULL,在Redis中,上面的跳跃表结构如下

  • 每个跳跃表节点的层数在1-32之间
  • 一个跳跃表中,节点按照分值大小排序,多个节点的分值是可以相同的,相同时,节点按成员对象大小排序
  • 每个节点的成员变量必须是唯一的

整数集合

整数集合(intset)是Redis用于保存整数值的集合抽象数据结构,可以保存类型为int16_t、int32_t、int64_t的整数值,并且保证集合中不会出现重复元素

整数集合是集合(Set)的底层实现之一,如果一个集合只包含整数值元素,且元素数量不多时,会使用整数集合作为底层实现

整数集合的定义实现

整数集合的定义为inset.h/inset

typedef struct intset {
    // 编码方式
    uint32_t encoding;
    // 集合包含的元素数量
    uint32_t length;
    // 保存元素的数组
    int8_t contents[];
} intset;
复制代码
  • contents数组:整数集合的每个元素在数组中按值的大小从小到大排序,且不包含重复项
  • length记录整数集合的元素数量,即contents数组长度
  • encoding决定contents数组的真正类型,如INTSET_ENC_INT16、INTSET_ENC_INT32、INTSET_ENC_INT64

整数集合的升级

当想要添加一个新元素到整数集合中时,并且新元素的类型比整数集合现有的所有元素的类型都要长,整数集合需要先进行升级(upgrade),才能将新元素添加到整数集合里面。每次想整数集合中添加新元素都有可能会引起升级,每次升级都需要对底层数组已有的所有元素进行类型转换

升级添加新元素:

  • 根据新元素类型,扩展整数集合底层数组的空间大小,并为新元素分配空间
  • 把数组现有的元素都转换成新元素的类型,并将转换后的元素放到正确的位置,且要保持数组的有序性
  • 添加新元素到底层数组

整数集合的升级策略可以提升整数集合的灵活性,并尽可能的节约内存

另外,整数集合不支持降级,一旦升级,编码就会一直保持升级后的状态

压缩列表

压缩列表(ziplist)是为了节约内存而设计的,是由一系列特殊编码的连续内存块组成的顺序性(sequential)数据结构,一个压缩列表可以包含多个节点,每个节点可以保存一个字节数组或者一个整数值

压缩列表是列表(List)和散列(Hash)的底层实现之一,一个列表只包含少量列表项,并且每个列表项是小整数值或比较短的字符串,会使用压缩列表作为底层实现(在3.2版本之后是使用quicklist实现)

压缩列表的构成

一个压缩列表可以包含多个节点(entry),每个节点可以保存一个字节数组或者一个整数值

各部分组成说明如下

  • zlbytes:记录整个压缩列表占用的内存字节数,在压缩列表内存重分配,或者计算zlend的位置时使用
  • zltail:记录压缩列表表尾节点距离压缩列表的起始地址有多少字节,通过该偏移量,可以不用遍历整个压缩列表就可以确定表尾节点的地址
  • zllen:记录压缩列表包含的节点数量,但该属性值小于UINT16_MAX(65535)时,该值就是压缩列表的节点数量,否则需要遍历整个压缩列表才能计算出真实的节点数量
  • entryX:压缩列表的节点
  • zlend:特殊值0xFF(十进制255),用于标记压缩列表的末端

压缩列表节点的构成

每个压缩列表节点可以保存一个字节数字或者一个整数值,结构如下

  • previous_entry_ength:记录压缩列表前一个字节的长度
  • encoding:节点的encoding保存的是节点的content的内容类型
  • content:content区域用于保存节点的内容,节点内容类型和长度由encoding决定

对象

上面介绍了Redis的主要底层数据结构,包括简单动态字符串(SDS)、链表、字典、跳跃表、整数集合、压缩列表。但是Redis并没有直接使用这些数据结构来构建键值对数据库,而是基于这些数据结构创建了一个对象系统,也就是我们所熟知的可API操作的Redis那些数据类型,如字符串(String)、列表(List)、散列(Hash)、集合(Set)、有序集合(Sorted Set)

根据对象的类型可以判断一个对象是否可以执行给定的命令,也可针对不同的使用场景,对象设置有多种不同的数据结构实现,从而优化对象在不同场景下的使用效率

类型编码BOJECT ENCODING 命令输出对象
REDIS_STRINGREDIS_ENCODING_INT"int"使用整数值实现的字符串对象
REDIS_STRINGREDIS_ENCODING_EMBSTR"embstr"使用embstr编码的简单动态字符串实现的字符串对象
REDIS_STRINGREDIS_ENCODING_RAW"raw"使用简单动态字符串实现的字符串对象
REDIS_LISTREDIS_ENCODING_ZIPLIST"ziplist"使用压缩列表实现的列表对象
REDIS_LISTREDIS_ENCODING_LINKEDLIST'"linkedlist'使用双端链表实现的列表对象
REDIS_HASHREDIS_ENCODING_ZIPLIST"ziplist"使用压缩列表实现的哈希对象
REDIS_HASHREDIS_ENCODING_HT"hashtable"使用字典实现的哈希对象
REDIS_SETREDIS_ENCODING_INTSET"intset"使用整数集合实现的集合对象
REDIS_SETREDIS_ENCODING_HT"hashtable"使用字典实现的集合对象
REDIS_ZSETREDIS_ENCODING_ZIPLIST"ziplist"使用压缩列表实现的有序集合对象
REDIS_ZSETREDIS_ENCODING_SKIPLIST"skiplist"使用跳跃表表实现的有序集合对象

参考:《Redis设计与实现》

原文链接:https://juejin.cn/post/6844903936520880135


声明:该文完全转载,只为方便下次查找快速,如果侵权请联系本人