每天算法 leetcode404

274 阅读1分钟

/**
 * Definition for a binary tree node.
 * public class TreeNode {
 *     int val;
 *     TreeNode left;
 *     TreeNode right;
 *     TreeNode(int x) { val = x; }
 * }
 */
class Solution {
    private int count=0;
    public int sumOfLeftLeaves(TreeNode root) {
        if(root==null){
            return 0;
        }
        //递归 时空复杂度O(n)
        if(root.left!=null&&root.left.left==null&&root.left.right==null){
            count+=root.left.val;
            sumOfLeftLeaves(root.right);
        }else{
            sumOfLeftLeaves(root.left);
            sumOfLeftLeaves(root.right);
        }
        return count;
    }
}

思路

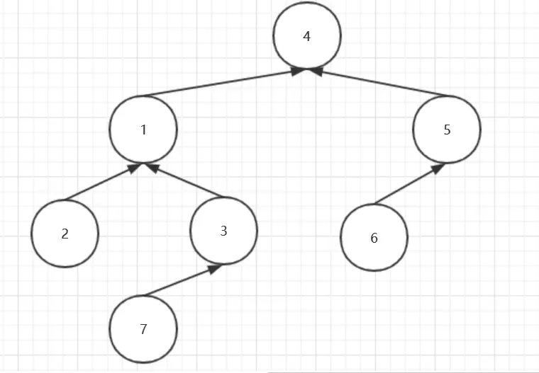
  • 想要遍历每棵树的左叶子节点。先利用一棵树来进行抽象

要添加的节点值为2和6,如何判断这个节点是左叶子节点,从1来看,只要当前节点左节点不为0,并且左节点是叶子节点就可以。ok这时候将这个值保存下来就可以。

为什么保存这个节点值之后需要递归右节点呢,看下面的这个图就知道了。

如果当前这个节点 不是左叶子节点的上面一个根节点,只需将将左右孩子节点分别作为根节点再次递归就可以。

文章每周持续更新,你的关注就是我的动力,本文 GitHub JavaStudy 欢迎Star和完善,里面放了学习的一些资料,希望我们一起学习冲进大厂。争取一个礼拜两篇博客,每日一道算法题!