模电基础知识(一)

1,690 阅读4分钟

一、常用半导体器件

1.1 本征半导体

  • 纯净的半导体,具有晶体结构的半导体

导电要靠自由电子,价电子是不导电的

1.2 载流子

承载导电作用的粒子

1.3 本征激发

  • 定义:价电子脱离共价键束缚,产生自由电子和空穴

  • 当外加电场以后,会造成空穴的相互移动
    所以此时的载流子是空穴与自由电子

1.4 复合

定义:自由电子重新回到空穴本征激发和复合的速度以及温度影响载流子的浓度本征激发与复合是一种相互对应的运动

  • 温度升高,载流子浓度升高,到达一个温度下,浓度趋向于不变
    此时应该是一种动态平衡。
    本征激发的速度与复合的速度一致
  • 本征激发与温度有关,复合与载流子的浓度相关
  • 杂质半导体
    在本征半导体里面掺杂少量的杂质元素

1.5 N型半导体

目标是提高载流子浓度掺入少量磷(5价元素),某些位置被磷取代掺入一个以后就会多出一个自由电子

这种半导体中含有两种载流子,但自由电子数目已经大大增多自由电子是多数载流子,简称多子空穴是少子此时主要依靠的是自由电子,而自由电子带负电负电英文表示为 negative空穴是带正电的磷原子贡献出了大量的自由电子,因此成为施主原子温度对N型半导体的自由电子浓度影响不大,温度会对少子的影响大

1.6 P型半导体

指的是positive,即正电,那其中的多数载流子应该是带正电的空穴所以此时掺入的是硼(3价)会产生更多的空穴

1.7 PN结

  • PN结的形成

    扩散运动造成了PN结的形成
    最后形成了中间的空间电荷区
    空间电荷区也叫耗尽层,也叫阻挡层,也叫PN结
    此时扩散运动还在进行
    少子此时也在运动,称为漂移运动
    在一定情况下,多子的扩散运动与少子的漂移运动达到动态平衡
    现在左右相等,叫做对称结
    当左右掺杂浓度不同的情况下,会形成不对称结

1.8 PN结单向导电性

  • PN结外加正向电压的时候

    外电场削弱内电场,使得扩散运动得以恢复,使电流迅速增大
    图中电阻的作用就是限定通过的最大电流,不然会烧掉PN结,所以以后在使用二极管正向导通作用的时候一定记得加限流电阻
  • PN结外加反向电压的时候

    那么PN结会越来越厚,阻挡作用越来越强,相当于是截止的状态
    实际上是存在一点电流的,因为漂移运动会加强,所以会有微安级的电流产生
    这个电流对温度会比较敏感,这个电流称为反向饱和电流
  • PN结的伏安特性曲线

    正向特性: 有一个死区
    反向特性: 锗管反向电流比硅管大,反向击穿电压
    反向击穿分为两种:
  • 雪崩击穿
    当掺杂浓度比较低,并且外加电场较强的时候,PN结会比较长,此时耗尽层相当于一个粒子加速器,会把自由电子加速,导致自由电子损坏共价键,形成击穿。
    温度越高,所需的击穿电压越高。(因为晶格振动会变大)
  • 齐纳击穿
    发生在掺杂浓度比较高的时候,PN结会比较窄,所以此时即使外加电场比较小,但场强也会比较大,此时价电子直接从共价键脱离束缚。
    温度越高,齐纳击穿所需的电压越低。(此时价电子更活跃)
  • PN结损坏是因为反向击穿引起的PN结温度升高
    但如果击穿以后,温度没有变高,达不到烧毁的状态,此时PN结工作在反向击穿状态,但要控制好不能发生二次热击穿
    此时PN结在很大的电流变化范围内,电压保持不变,具有稳定电压的作用,做成稳压二极管
  • 掺杂浓度与击穿电压的关系
    通过控制掺杂浓度,来控制击穿电压。越稀薄,击穿电压越高,因为是雪崩击穿。越浓,击穿电压越低。所以可以得到不同的稳压二极管
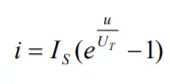
  • PN结的电流方程

    Is : 反向饱和电流,受到多个因素影响。
    UT : 温度当量,室温下为26mv
    U : PN结上所加电压

一般锗管为0.2~0.3v,硅管为0.6~0.7v

  • PN结的电容效应
    称为势垒电容,但并不是一个线性的变化过程
    所以,这里可以被用作为可变电容
    扩散电容: 是由非平衡少子组成的

    了解更多技术文章,欢迎关注我的个人公众号