拓扑结构是怎么形成的?
我们常见到的办公室大多是一排排的桌子,每个桌子都有网口,一排十几个座位就有十几个网口,一个楼层就会有几十个甚至上百个网口。如果算上所有楼层,这个场景自然比你宿舍里的复杂多了。具体哪里复杂呢?我来给你具体讲解。
首先,这个时候,一个交换机肯定不够用,需要多台交换机,交换机之间连接起来,就形成一个稍微复杂的拓扑结构。
我们先来看两台交换机的情形。两台交换机连接着三个局域网,每个局域网上都有多台机器。如果机器 1 只知道机器 4 的 IP 地址,当它想要访问机器 4,把包发出去的时候,它必须要知道机器 4 的 MAC 地址。

于是机器 1 发起广播,机器 2 收到这个广播,但是这不是找它的,所以没它什么事。交换机 A 一开始是不知道任何拓扑信息的,在它收到这个广播后,采取的策略是,除了广播包来的方向外,它还要转发给其他所有的网口。于是机器 3 也收到广播信息了,但是这和它也没什么关系。
当然,交换机 B 也是能够收到广播信息的,但是这时候它也是不知道任何拓扑信息的,因而也是进行广播的策略,将包转发到局域网三。这个时候,机器 4 和机器 5 都收到了广播信息。机器 4 主动响应说,这是找我的,这是我的 MAC 地址。于是一个 ARP 请求就成功完成了。
在上面的过程中,交换机 A 和交换机 B 都是能够学习到这样的信息:机器 1 是在左边这个网口的。当了解到这些拓扑信息之后,情况就好转起来。当机器 2 要访问机器 1 的时候,机器 2 并不知道机器 1 的 MAC 地址,所以机器 2 会发起一个 ARP 请求。这个广播消息会到达机器 1,也同时会到达交换机 A。这个时候交换机 A 已经知道机器 1 是不可能在右边的网口的,所以这个广播信息就不会广播到局域网二和局域网三。
当机器 3 要访问机器 1 的时候,也需要发起一个广播的 ARP 请求。这个时候交换机 A 和交换机 B 都能够收到这个广播请求。交换机 A 当然知道主机 A 是在左边这个网口的,所以会把广播消息转发到局域网一。同时,交换机 B 收到这个广播消息之后,由于它知道机器 1 是不在右边这个网口的,所以不会将消息广播到局域网三。
如何解决常见的环路问题?
这样看起来,两台交换机工作得非常好。随着办公室越来越大,交换机数目肯定越来越多。当整个拓扑结构复杂了,这么多网线,绕过来绕过去,不可避免地会出现一些意料不到的情况。其中常见的问题就是环路问题。
例如这个图,当两个交换机将两个局域网同时连接起来的时候。你可能会觉得,这样反而有了高可用性。但是却不幸地出现了环路。出现了环路会有什么结果呢?

我们来想象一下机器 1 访问机器 2 的过程。一开始,机器 1 并不知道机器 2 的 MAC 地址,所以它需要发起一个 ARP 的广播。广播到达机器 2,机器 2 会把 MAC 地址返回来,看起来没有这两个交换机什么事情。
但是问题来了,这两个交换机还是都能够收到广播包的。交换机 A 一开始是不知道机器 2 在哪个局域网的,所以它会把广播消息放到局域网二,在局域网二广播的时候,交换机 B 右边这个网口也是能够收到广播消息的。交换机 B 会将这个广播息信息发送到局域网一。局域网一的这个广播消息,又会到达交换机 A 左边的这个接口。交换机 A 这个时候还是不知道机器 2 在哪个局域网,于是将广播包又转发到局域网二。左转左转左转,好像是个圈哦。
可能有人会说,当两台交换机都能够逐渐学习到拓扑结构之后,是不是就可以了?
别想了,压根儿学不会的。机器 1 的广播包到达交换机 A 和交换机 B 的时候,本来两个交换机都学会了机器 1 是在局域网一的,但是当交换机 A 将包广播到局域网二之后,交换机 B 右边的网口收到了来自交换机 A 的广播包。根据学习机制,这彻底损坏了交换机 B 的三观,刚才机器 1 还在左边的网口呢,怎么又出现在右边的网口呢?哦,那肯定是机器 1 换位置了,于是就误会了,交换机 B 就学会了,机器 1 是从右边这个网口来的,把刚才学习的那一条清理掉。同理,交换机 A 右边的网口,也能收到交换机 B 转发过来的广播包,同样也误会了,于是也学会了,机器 1 从右边的网口来,不是从左边的网口来。
然而当广播包从左边的局域网一广播的时候,两个交换机再次刷新三观,原来机器 1 是在左边的,过一会儿,又发现不对,是在右边的,过一会,又发现不对,是在左边的。
这还是一个包转来转去,每台机器都会发广播包,交换机转发也会复制广播包,当广播包越来越多的时候,按照上一节讲过一个共享道路的算法,也就是路会越来越堵,最后谁也别想走。所以,必须有一个方法解决环路的问题,怎么破除环路呢?
STP 协议中那些难以理解的概念
在数据结构中,有一个方法叫作最小生成树。有环的我们常称为图。将图中的环破了,就生成了树。在计算机网络中,生成树的算法叫作STP,全称Spanning Tree Protocol。
STP 协议比较复杂,一开始很难看懂,但是其实这是一场血雨腥风的武林比武或者华山论剑,最终决出五岳盟主的方式。

在 STP 协议里面有很多概念,译名就非常拗口,但是我一作比喻,你很容易就明白了。
-
Root Bridge,也就是根交换机。这个比较容易理解,可以比喻为“掌门”交换机,是某棵树的老大,是掌门,最大的大哥。
-
Designated Bridges,有的翻译为指定交换机。这个比较难理解,可以想像成一个“小弟”,对于树来说,就是一棵树的树枝。所谓“指定”的意思是,我拜谁做大哥,其他交换机通过这个交换机到达根交换机,也就相当于拜他做了大哥。这里注意是树枝,不是叶子,因为叶子往往是主机。
-
Bridge Protocol Data Units (BPDU) ,网桥协议数据单元。可以比喻为“相互比较实力”的协议。行走江湖,比的就是武功,拼的就是实力。当两个交换机碰见的时候,也就是相连的时候,就需要互相比一比内力了。BPDU 只有掌门能发,已经隶属于某个掌门的交换机只能传达掌门的指示。
-
Priority Vector,优先级向量。可以比喻为实力 (值越小越牛)。实力是啥?就是一组 ID 数目,[Root Bridge ID, Root Path Cost, Bridge ID, and Port ID]。为什么这样设计呢?这是因为要看怎么来比实力。先看 Root Bridge ID。拿出老大的 ID 看看,发现掌门一样,那就是师兄弟;再比 Root Path Cost,也即我距离我的老大的距离,也就是拿和掌门关系比,看同一个门派内谁和老大关系铁;最后比 Bridge ID,比我自己的 ID,拿自己的本事比。
STP 的工作过程是怎样的?
接下来,我们来看 STP 的工作过程。
一开始,江湖纷争,异常混乱。大家都觉得自己是掌门,谁也不服谁。于是,所有的交换机都认为自己是掌门,每个网桥都被分配了一个 ID。这个 ID 里有管理员分配的优先级,当然网络管理员知道哪些交换机贵,哪些交换机好,就会给它们分配高的优先级。这种交换机生下来武功就很高,起步就是乔峰。

既然都是掌门,互相都连着网线,就互相发送 BPDU 来比功夫呗。这一比就发现,有人是岳不群,有人是封不平,赢的接着当掌门,输的就只好做小弟了。当掌门的还会继续发 BPDU,而输的人就没有机会了。它们只有在收到掌门发的 BPDU 的时候,转发一下,表示服从命令。

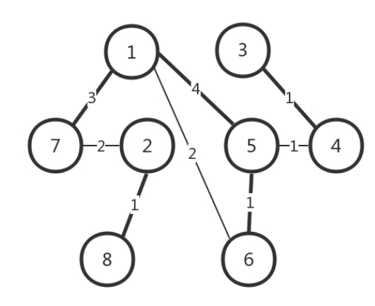
数字表示优先级。就像这个图,5 和 6 碰见了,6 的优先级低,所以乖乖做小弟。于是一个小门派形成,5 是掌门,6 是小弟。其他诸如 1-7、2-8、3-4 这样的小门派,也诞生了。于是江湖出现了很多小的门派,小的门派,接着合并。
合并的过程会出现以下四种情形,我分别来介绍。
情形一:掌门遇到掌门
当 5 碰到了 1,掌门碰见掌门,1 觉得自己是掌门,5 也刚刚跟别人 PK 完成为掌门。这俩掌门比较功夫,最终 1 胜出。于是输掉的掌门 5 就会率领所有的小弟归顺。结果就是 1 成为大掌门。

情形二:同门相遇
同门相遇可以是掌门与自己的小弟相遇,这说明存在“环”了。这个小弟已经通过其他门路拜在你门下,结果你还不认识,就 PK 了一把。结果掌门发现这个小弟功夫不错,不应该级别这么低,就把它招到门下亲自带,那这个小弟就相当于升职了。
我们再来看,假如 1 和 6 相遇。6 原来就拜在 1 的门下,只不过 6 的上司是 5,5 的上司是 1。1 发现,6 距离我才只有 2,比从 5 这里过来的 5(=4+1)近多了,那 6 就直接汇报给我吧。于是,5 和 6 分别汇报给 1。

同门相遇还可以是小弟相遇。这个时候就要比较谁和掌门的关系近,当然近的当大哥。刚才 5 和 6 同时汇报给 1 了,后来 5 和 6 再比较功夫的时候发现,5 你直接汇报给 1 距离是 4,如果 5 汇报给 6 再汇报给 1,距离只有 2+1=3,所以 5 干脆拜 6 为上司。
情形三:掌门与其他帮派小弟相遇
小弟拿本帮掌门和这个掌门比较,赢了,这个掌门拜入门来。输了,会拜入新掌门,并且逐渐拉拢和自己连接的兄弟,一起弃暗投明。

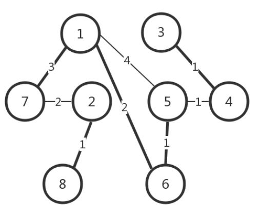
例如,2 和 7 相遇,虽然 7 是小弟,2 是掌门。就个人武功而言,2 比 7 强,但是 7 的掌门是 1,比 2 牛,所以没办法,2 要拜入 7 的门派,并且连同自己的小弟都一起拜入。
情形四:不同门小弟相遇
各自拿掌门比较,输了的拜入赢的门派,并且逐渐将与自己连接的兄弟弃暗投明。

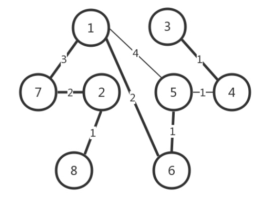
例如,5 和 4 相遇。虽然 4 的武功好于 5,但是 5 的掌门是 1,比 4 牛,于是 4 拜入 5 的门派。后来当 3 和 4 相遇的时候,3 发现 4 已经叛变了,4 说我现在老大是 1,比你牛,要不你也来吧,于是 3 也拜入 1。
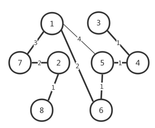
最终,生成一棵树,武林一统,天下太平。但是天下大势,分久必合,合久必分,天下统一久了,也会有相应的问题。
如何解决广播问题和安全问题?
毕竟机器多了,交换机也多了,就算交换机比 Hub 智能一些,但是还是难免有广播的问题,一大波机器,相关的部门、不相关的部门,广播一大堆,性能就下来了。就像一家公司,创业的时候,一二十个人,坐在一个会议室,有事情大家讨论一下,非常方便。但是如果变成了 50 个人,全在一个会议室里面吵吵,就会乱的不得了。
你们公司有不同的部门,有的部门需要保密的,比如人事部门,肯定要讨论升职加薪的事儿。由于在同一个广播域里面,很多包都会在一个局域网里面飘啊飘,碰到了一个会抓包的程序员,就能抓到这些包,如果没有加密,就能看到这些敏感信息了。还是上面的例子,50 个人在一个会议室里面七嘴八舌的讨论,其中有两个 HR,那他们讨论的问题,肯定被其他人偷偷听走了。
那咋办,分部门,分会议室呗。那我们就来看看怎么分。
有两种分的方法,一个是物理隔离。每个部门设一个单独的会议室,对应到网络方面,就是每个部门有单独的交换机,配置单独的子网,这样部门之间的沟通就需要路由器了。路由器咱们还没讲到,以后再说。这样的问题在于,有的部门人多,有的部门人少。人少的部门慢慢人会变多,人多的部门也可能人越变越少。如果每个部门有单独的交换机,口多了浪费,少了又不够用。
另外一种方式是虚拟隔离,就是用我们常说的VLAN,或者叫虚拟局域网。使用 VLAN,一个交换机上会连属于多个局域网的机器,那交换机怎么区分哪个机器属于哪个局域网呢?

我们只需要在原来的二层的头上加一个 TAG,里面有一个 VLAN ID,一共 12 位。为什么是 12 位呢?因为 12 位可以划分 4096 个 VLAN。这样是不是还不够啊。现在的情况证明,目前云计算厂商里面绝对不止 4096 个用户。当然每个用户需要一个 VLAN 了啊,怎么办呢,这个我们在后面的章节再说。
如果我们买的交换机是支持 VLAN 的,当这个交换机把二层的头取下来的时候,就能够识别这个 VLAN ID。这样只有相同 VLAN 的包,才会互相转发,不同 VLAN 的包,是看不到的。这样广播问题和安全问题就都能够解决了。

我们可以设置交换机每个口所属的 VLAN。如果某个口坐的是程序员,他们属于 VLAN 10;如果某个口坐的是人事,他们属于 VLAN 20;如果某个口坐的是财务,他们属于 VLAN 30。这样,财务发的包,交换机只会转发到 VLAN 30 的口上。程序员啊,你就监听 VLAN 10 吧,里面除了代码,啥都没有。
而且对于交换机来讲,每个 VLAN 的口都是可以重新设置的。一个财务走了,把他所在的作为的口从 VLAN 30 移除掉,来了一个程序员,坐在财务的位置上,就把这个口设置为 VLAN 10,十分灵活。
有人会问交换机之间怎么连接呢?将两个交换机连接起来的口应该设置成什么 VLAN 呢?对于支持 VLAN 的交换机,有一种口叫作Trunk 口。它可以转发属于任何 VLAN 的口。交换机之间可以通过这种口相互连接。
好了,解决这么多交换机连接在一起的问题,办公室的问题似乎搞定了。然而这只是一般复杂的场景,因为你能接触到的网络,到目前为止,不管是你的台式机,还是笔记本所连接的网络,对于带宽、高可用等都要求不高。就算出了问题,一会儿上不了网,也不会有什么大事。
我们在宿舍、学校或者办公室,经常会访问一些网站,这些网站似乎永远不会“挂掉”。那是因为这些网站都生活在一个叫做数据中心的地方,那里的网络世界更加复杂。在后面的章节,我会为你详细讲解。
小结
好了,这节就到这里,我们这里来总结一下:
- 当交换机的数目越来越多的时候,会遭遇环路问题,让网络包迷路,这就需要使用 STP 协议,通过华山论剑比武的方式,将有环路的图变成没有环路的树,从而解决环路问题。
- 交换机数目多会面临隔离问题,可以通过 VLAN 形成虚拟局域网,从而解决广播问题和安全问题。
最后,留两个思考题。
- STP 协议能够很好的解决环路问题,但是也有它的缺点,你能举几个例子吗?
- 在一个比较大的网络中,如果两台机器不通,你知道应该用什么方式调试吗?