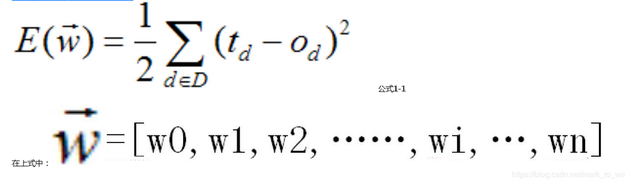
梯度下降法就是沿梯度下降的方向求解函数(误差)极小值。delta法则是使用梯度下降法来找到最佳权向量。拿数字识别这个案例为例,训练模型的过程通常是这样的。输入为1万张图片,也就是1万个样本,我们定义为D,是训练样例集合,输出为相对应的1万个数字。这就是1万个目标输出(Target),每一个目标输出我们定义为:td ,是训练样例d的目标输出。我们的模型训练的目的是想找出,此人工神经网络模型的参数,比如权向量w等。要注意,目标输出td是已知的(非变量,比如5这张图,目标输出就是5这个数字),样本也是已知的。参数是未知的。还有什么是未知的?这就需要从训练的过程入手了。训练过程,通常开始时,所有的权向量w都从一个很小的值开始,比如零,这时有一个实际输出(od是对训练样例d的实际输出)。目标输出和实际输出的差距叫做误差。因为一共有1万个样本,为了消除正负误差相抵,所以我们定义所有目标输出和实际输出的误差平方和的一半为E。(因为平方的求导会出现2,所以这就是取一半的原因,这样2×(1/2)会使系数消失。)

拿我们这章第一个例子,单个神经元的房子预测神经网络模型为例,不难理解:Od=x0*w0+x1*w1+…xn*wn+b,结合前面的分析可知,x0,x1,。。。。。xn都是一个个的样本值, 是已知的。td也是已知的。这样看E是w0,w1,....wn和b的函数。我们的目标就是找到一组权向量(w0,w1,....wn和b)能使E最小化。拿wi来说,我们可以画一条函数曲线:。。。。。。。。。。。。。。。。。。。
更多技术资讯可关注:itheimaGZ获取(公冢号)