前言
此系列是本人对于学习计算机图形学过程中的记录及总结,所看教材是《Fundamentals of Computer Graphics (FOURTH EDITION)》。本文的图片也主要来源此书。以博客作为学习记录,理解之中若有不足还请大佬们指教。
在变换矩阵章节中,学到了如何使用矩阵在三维空间或二维空间中变换几何对象。本章将讲述变换矩阵的第二个重要作用:将三维空间中物体位置转移至二维平面上的位置。这个三维至二维的匹配转换称为观察变换(viewing transformation)。在object-order rendering中,观察变换非常重要,我们需要很快地找到三维位置在二维平面的映射。
在学习第四章光线追踪时(光线追踪是image-order rendering),介绍了透视视图、正交视图及根据不同视图产生viewing rays。本章的介绍顺序和以上相反(。。说实话我个人不喜欢这种倒序),将会阐述如何使用矩阵变换去表示平行视图和透视视图。
对于视图变换本身来说,其将三维空间的点投射到图像平面的能力仅仅在线框(wireframe)渲染上表现较好。线框渲染仅显示物体对象的线框,同时距离人眼视角较近的表面不会遮盖住较远的表面。如下图:左图为正交视图的线框渲染,中间图为透视视图的线框渲染,右图为遮挡了线条的透视视图。

当然,object-order rendering中,也要像ray tracer一样找到距离最近的表面,这会在后面的章节中讲到。本章将讲述仅使用线段绘制三维模型。
书中本章讲述顺序为了更加顺畅,一些需要的点都会暂时忽略(比如z坐标),而会在后续章节在讲述其作用。
7.1观察变换(Viewing Transformations)
观察变换的主要工作是匹配三维位置到二维图像平面像素点位置。这个过程需要考虑许多不同的东西,比如相机位置与朝向、投影类型、视野、图像分辨率等等。因此所有的复杂变换会被拆分为几个稍简单点的变换,多数的图形系统使用以下变换队列:
- camera transformation(相机变换?)或者eye transformation:此变换将相机置于合适朝向的原点。矩阵取决于相机的位置、朝向、pose
- projection transformation(投影变换?):此变换会投影相机空间(camera space)中的点,使得所有可见点落入x和y,范围在-1至1之间。矩阵取决于投影类型
- viewport transformation(视口变换?)或者windowing transformation:此矩阵maps this unit image rectangle to the desired rectangle in pixel coordinates(。。这里不知道怎么用中文表诉,匹配图像矩阵至所需矩阵的像素坐标系?)。矩阵取决于输出图像的尺寸和位置。
下图展示了各个变化所起的作用:

camera transformation将canonical coordinates(或称为world space)中的点转移至相机坐标系(camera coordinates),也可以说是将点置入相机空间(camera space);projection transformation将相机空间中的点移至规范视域体(canonical view volume,之后用CVV简称);最后,viewport transformation匹配cvv至屏幕空间(screen space)。
CVV是一个基于笛卡尔坐标系,各点坐标范围在-1至1的方体,如图:

以上每一个变换都是不同的,接下来会以正交视图先作为例子,然后再到透视视图。书中讲述例子时顺序也跟以上队列相反,是从viewport transformation到projection transformation,再到camera transformation。
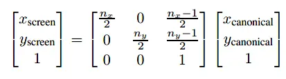
7.1.1视口变换(The Viewport Transformation)
先讲视口变换,因为视口变换在各种条件下都是通用的。
假设我们想要观察的几何体是在CVV之中,同时使用正交视图,沿着-z方向查看。我们把x=-1投影至屏幕左侧,x=1投影至屏幕右侧,y=1投影至屏幕顶部,y=-1投影至屏幕底部。因此这个方形范围是[-1, 1]*[-1, 1]。
现在回忆下第三章中涉及到的像素坐标系,像素坐标值为整型类型,图像边缘会有半个像素超过边界外。

如果我们要把内容绘制到nx * ny大小的图像上,就需要把[-1, 1]*[-1, 1] 映射至[-0.5, nx-0.5]*[-0.5, ny-0.5]。
再次强调现在先假设所有的线段绘制在CVV之中,在后续学习到*裁剪(clipping)*时再不撤销此假设。
因为viewport transformation做的是变换轴对齐矩形(axis-aligned rectangle)至另一个轴对齐矩形,其做的变换就是矩阵变换中windowing transformations的一个具体情况:
windowing transformations:

代入viewport transformation运用就有:

以上还不是完全的viewport matrix,我们可以注意到公式中忽略了z坐标,其仍然能成立是因为由CVV到图像平面,z坐标的值并不会影响点映射到哪个位置。
但是在viewport matrix中会考虑z坐标,但其并不会改变z值。z值的主要作用是隐藏被遮盖的表面,这会在书中第八章提到,第七章暂时不需要它。
viewport matrix如下:

7.1.2正交投影变换(The Orthographic Projection Transformation)
正交投影中,view volume也是一个轴对齐盒子(axis-aligned box),其坐标系为[l, r] * [b, t] * [f, n],这个view volume被称为orthographic view volume:

各字母对应解释如下:

远近的含义如图示:

将orthographic view volume转移至canonical view volume的transformation是三维的一种windowing transformation,代入公式后就有了这个转移矩阵:

在把三维线段绘制到二维平面上时可以忽略z坐标。结合正交投影变换矩阵与视口变换矩阵,可以对orthographic view volume中的坐标进行如下转换至像素坐标系上(或者说屏幕坐标系。。别名太多了。。)

由于z坐标是在CVV中的值,其范围为[1, -1],现在在暂时不管他,他会在后面章节的z-buffer算法中使用到。
绘制三维线段的算法如下:

ai,bj表示线段的端点。
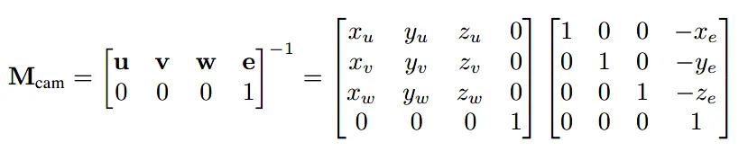
7.1.3相机变换(The Camera Transformation)
在三维场景中,我们需要改变视点,同时使用任意方向观察场景。有许多的规范可用于表示相机的位置及朝向。本章中我们使用以下规范:
- the eye position e,
- the gaze direction g,
- the view-up vector t.
如图

根据g与t,我们可以创建一个原点为e、uvw为基向量的坐标系

物体对象点的位置是用世界坐标系原点o与xyz为基向量表示的,接下来我们把所有点的位置从xyz坐标系转移至uvw坐标系,就完成了到camera space的转换。在本书第六章中也学习到了坐标系的转换,代入公式即可,因此相机变换的矩阵为:

综上内容,整个过程伪代码如下表示:

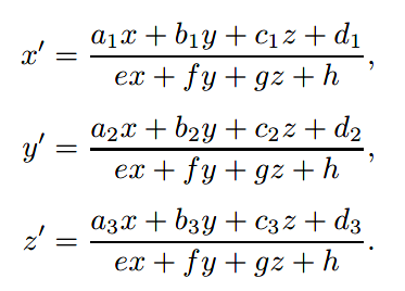
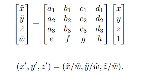
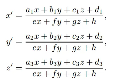
7.2透视变换(Projective Transformations)
本小节先介绍透视变换作为铺垫,下一小节再讲解透视投影。
透视的关键是屏幕上物体对象的尺寸与1/z是成比例的,用公式与图片说明如下:

由于上式中存在z作为分母,所以单纯的仿射变换无法做到。
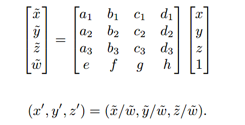
我们可以做一个分离,利用齐次坐标,使用[x y z w]代表(x/w, y/w, z/w)。
回顾之前,线性变换使得可以做如下变换:

仿射变换进一步扩展:

将w作为分母,便有:

此表达被称为线性有理函数(linear rational function)
用矩阵则表示为:

同时,对于此矩阵有如下特性:

任意系数a(除了0)不会改变矩阵效果。
拿上文中的公式进行举例,应用此变换。

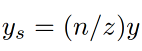
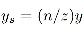
图中仅仅有二维,y与z
根据上文,利用如下变换

即可将二维的齐次坐标[y;z;1]转换为一维的齐次坐标[dy z]。此一维齐次坐标代表点(dy / z)。
7.3透视投影(Perspective Projection)
在透视投影中,把距离近的平面作为投影的平面,所以相机到图像的平面即为-n。
用n表示距离,上一小节中图像平面映射的公式即为:

x同理。
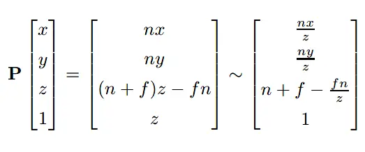
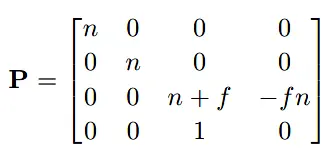
根据7.2小节中的线性有理函数,得到透视矩阵(perspective matrix)(注意,还不是透视投影矩阵!!):

第一、二、四行用于实现上文的透视公式,第三行的目的与正交矩阵和视口矩阵一样,保留z值,后续用于隐藏远处表面。此矩阵无法保持z值不变,但能使得点在近平面和远平面上时,z值不变。
应用P矩阵后的xyz即有如下变换:

可以看到在近平面(z = n)上和远平面(z = f)上时,z值并不会发生改变。x值与y值也是被z所除。
另外,变换保持了z=n与z=f之间z值的相关顺序,允许了深度排序(depth ordering),这对后续用于隐藏表面非常重要。
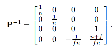
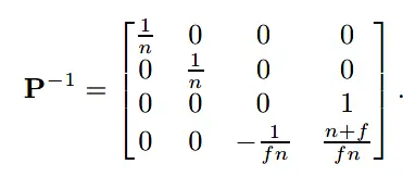
有时候也会用到P的逆矩阵,使变换后的z值还原。

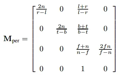
接下来是透视矩阵(perspective matrix)最优雅的地方了,我们可以直接乘上正交变换以获得CVV,因此正交视图的机制也应用其中,而我们仅仅做的只是添加P矩阵及坐标值被w所除。
如下公式,我们即能获得透视投影矩阵(perspective projection matrix):

现在还有一个问题是如何决定透视中的l, r, b, t。由于在z=n的平面上,l, r, b, t并未发生改变,可以以在z=n平面上指定l, r, b, t的值。
结合上文的视口变换、相机变换,我们可以得到透视视图的变换矩阵:

整体算法如下:


与上文正交视图算法相比,除了矩阵的变换外,仅仅的改变是有被齐次坐标w所除。
最后,看下透视投影矩阵M的样子:

许多文档都会出现相似的矩阵,当我们了解其来源是两个矩阵相乘后,也不会感到多么神秘了。
比如OpenGL:

7.4透视变换的一些性质(Some Properties of the Perspective Transform)
透视转换的一个重要性质是转换后线对应线,平面对应平面,view volume中的线段对应view volume中的线段。
本小节主要讲的是一点数学证明,在此不做赘述了
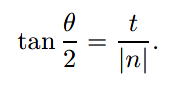
7.5视野(Field of view)
之前一直使用(l, r, b, t)和n来定义窗口,但是我们可以进一步获得一个更加简单的系统,这个系统中相机朝向窗口的中心,这意味着增加了l=-r,b=-t的约束。
进一步增加像素为正方形的约束(没错,确实有不是正方形1:1的像素,详见文末参考资料),便有r与t的比值等于垂直像素数与水平像素数的比值相等:

一旦nx与ny被指定了,就仅仅有一个自由度。对应的角度也被称为视野(field of view)

为了区分于水平夹角与对角夹角,此视野也被称为垂直视野(vertical field of view),根据这个特点,我们也可以得到:

如果知道θ和n值,就可以得到t值,然后使用代码去得到更多的常规viewing system。在一些系统中,n值会因为某些原因是硬编码的,因此会使得有更少的自由度。
总结
本章主要了解了在光栅化过程中,如何使用矩阵变换来表示点在不同坐标系的位置,以此完成三维到二维的变换。
参考资料
正则坐标(Canonical coordinates)- Wikipedia
投影矩阵推导(翻译)
Axis-aligned object - Wikipedia
有理函数(Rational function)- Wikipedia
视野(Field of View)- Wikipedia
为什么有的屏幕象素点不是正方形的?出现不同像素长宽比的原因是什么? - 知乎
自由度 (统计学) - Wikipedia
