如何利用傅里叶级数制作完美动图

3,790 阅读5分钟

我很喜欢的科普数学知识的博主3Blue1Brown有一期非常是有趣的视频介绍傅里叶级数


里面除了简单易懂的语言介绍了什么是傅里叶级数外,还介绍了如何将svg图转换成有趣的图形路线绘制动画。


先来看看这个蜜汁舒适的动画。一笔到底,寻着笔触的模仿人类素描的样子



svg原图长这样



那么如何将SVG图可以转成动画?


听起来就非常有趣,不使用视频剪辑软件,仅仅使用纯粹的数学知识,就能实现如何酷炫的效果。听起来还是非常唬人的傅里叶级数。一起来看看他是如何做到的。


至于博主3Blue1Brown是如何推导傅里叶级数的,视频里面已经非常详细严谨的分析,很久没接触高数或者傅里叶变换的可能会有一点蒙,我这里使用一些平白概括的语言介绍下他是如何做的。


如何做一个路径动图


做一个的路径动图,最简单的方法:

  1. 绘制的路径(路径点),

  2. 将路径分成间隔相同的位置点(线性采样),

  3. 生成多张动画帧,每次递进一个位置点,进而生成动画。


线性采样到间隔相同的位置点,所有的问题迎刃而解。


主要的难点就在于如何得到间隔相同的点。SVG图形中圆弧的绘制是使用贝赛尔曲线原理的钢笔工具绘制的,想要得到每个圆弧其中的点不难求。

SVG中的钢笔工具-贝塞尔曲线


但多个弧线相连时,很难确保计算后的点,在整个路径中都是间隔相等?



我们拥有数量众多的位置点,那是否有一种方法能够利用这些离散的点,进而求导得到整个绘制路线的方程呢?


傅里叶级数能解决这个问题


傅里叶提出,任何周期性的函数,可用多个余弦/正弦函数的和来表示



看起来好像很复杂的样子。详细说下。k指的是项数,k可以从正无穷到无穷。


ak为 第k项的系数

e-jnwt 简单理解为正弦/余弦的复平面表示。


我们只要把系数ak求出来,问题就能得到解决。

ak求法也有公式



听起来似乎有点懵逼。用一个简单的例子来举例。


以一个简单周期波动的函数y = f(t)为例。这个函数周期性的在两个值之间波动。


假设我们事前并不清楚这个周期性函数的具体表达式,我们期望能通过傅里叶变换,能尽可能的得到这个函数的表达式。


傅里叶级数的说法,任意的周期性函数,都可以表示为多个余弦函数相加。而且项数越多,与原函数的拟合就越好。


我们可以通过比如下图右边。

当函数2项时,组成的函数可以近似的拟合原震荡函数。



我们将项数取多一点,当4个项时,可以看到拟合的图已经比较好了。



继续加大项数,当79项时



可以看到,当项数越来越多的时候,与原函数的拟合度越高。


等下,图中的用了三角函数cos,但为何与公式中却又是指数函数?有些许区别?

其实这是通用的写法,让函数的输出值为二维平面的上复数,也就是将三角函数写成复数的表示方式.

例如下:


如此一来,输入空间为实数,输出空间为复数,用复数的实部与虚部来看作图形的x,y坐标,便可以把这种函数想想成绘画


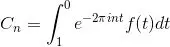
整理一下式子



那么只要通过求出积分,算出系数Cn就可以了,具体的项数多少并无特别要求,项目越多,与原图的拟合越好

总结而言,具体做法如下

  1. 计算出原图片尽量多的坐标点

  2. 将坐标点带入Cn公式,求得项数系数。

  3. 得到傅里叶级数后,便可就得每一个间隔相同的点


不想理解那么多?我只想得到动图?


说那么多,如果自己写一个这样的程序还是会非常不易的。还好已经有人做好了,就是文中开头的3Blue1Brown,他将自己的制作动画的一个python库manim开源出来给大家分享,但里面内容坑非常多,如果在本机安装也是非常痛苦,即使安装完了,也会发现除了Demo外,他之前写的一些测试代码也大部分无法运行起来。


github库地址:

https://github.com/3b1b/manim


下面我给大家分享这个svg转MP4的方法。

mainm安装

如果选择安装在本地,是个痛苦活儿,需要安装好几种开源软件ffmpeg, Cario等,这里不使用本地安装方法。
这里使用Docker的安装方法,里面已经包含了所有的依赖的开源软件了。

1.1 安装docker
1.2 安装mainm镜像

docker pull mainm

2.1.2 创建svg文件夹

svg需要放置到容器的mainm/assets/svg_images文件夹中


docker run -it eulertour/mainmcd mainmmkdir assetsmkdir assets/svg_images

2.1.3 将svg文件拷贝到容器

打开另外的命令行窗口

2.1.3.1 查询容器名称

docker ps

找到NAMES一栏,便是容器名称,比如我的名称为 zealous_tu

将svg拷贝到容器

docker cp /xx/xxx/BatmanLogo.svg  zealous_tu:/manim/assets/svg_images

注意,svg名称必须为BatmanLog.svg

3. 生成MP4

回到步骤2.1.2的命令行窗口

python -m manim active_projects/diffyq/part2/fourier_series.py FourierBatman  -lp


生成的视频文件会放置到manim/videos里面

回到2.1.3的命令行窗口拷贝出来


docker cp zealous_tu:/manim/videos/ /Users/xx/Documents/Trash

最终的mp4,便是svg转换的结果



傅里叶变换思想可以运用许多计算机的场景中。用已知离散的数据,去推测以及拟合真正的方程/函数。比如计算机图形学中的球谐光照,比如常用的美颜功能,利用傅里叶变换提取图片高频、低频信息以达到磨皮的功能。




拒绝无趣!更多新鲜有趣的编程知识欢迎关注 乐Code乐Code