LeetCode 0141. Linked List Cycle环形链表【Easy】【Python】【双指针】
题目
Given a linked list, determine if it has a cycle in it.
To represent a cycle in the given linked list, we use an integer pos which represents the position (0-indexed) in the linked list where tail connects to. If pos is -1, then there is no cycle in the linked list.
Example 1:
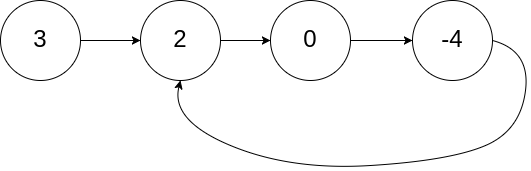
Input: head = [3,2,0,-4], pos = 1
Output: true
Explanation: There is a cycle in the linked list, where tail connects to the second node.

Example 2:
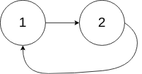
Input: head = [1,2], pos = 0
Output: true
Explanation: There is a cycle in the linked list, where tail connects to the first node.

Example 3:
Input: head = [1], pos = -1
Output: false
Explanation: There is no cycle in the linked list.

Follow up:
Can you solve it using O(1) (i.e. constant) memory?
翻译
给定一个链表,判断链表中是否有环。
为了表示给定链表中的环,我们使用整数 pos 来表示链表尾连接到链表中的位置(索引从 0 开始)。 如果 pos 是 -1,则在该链表中没有环。
示例 1:
输入:head = [3,2,0,-4], pos = 1
输出:true
解释:链表中有一个环,其尾部连接到第二个节点。

示例 2:
输入:head = [1,2], pos = 0
输出:true
解释:链表中有一个环,其尾部连接到第一个节点。

示例 3:
输入:head = [1], pos = -1
输出:false
解释:链表中没有环。

进阶:
你能用 O(1)(即,常量)内存解决此问题吗?
思路
双指针
用 fast 和 slow 快慢双指针,fast 指针速度设为 slow 速度的两倍,如果链表有环,则快慢双指针必会相遇,证明请看这里。
空间复杂度: O(1)
Python代码
# Definition for singly-linked list.
# class ListNode(object):
# def __init__(self, x):
# self.val = x
# self.next = None
class Solution(object):
def hasCycle(self, head):
"""
:type head: ListNode
:rtype: bool
"""
if head == None:
return False
slow, fast = head, head # 快慢双指针
while fast.next != None and fast.next.next != None: # 一定是 fast.next 和 fast.next.next
slow = slow.next
fast = fast.next.next # fast快指针速度是slow慢指针的两倍
if slow == fast: # 如果链表有环, fast 和 slow 必会相遇
return True
return False